发电技术, 2024, 45(6): 1016-1022 DOI: 10.12096/j.2096-4528.pgt.24173

可控核聚变及其发电技术

氘氘聚变中子源大口径强磁场磁压缩磁体的设计与优化

周渝深1,2, 潘垣1,2, 李传1,2, 饶波1,2, 杨勇1,2

1.强电磁技术全国重点实验室(华中科技大学电气与电子工程学院),湖北省 武汉市 430074

2.磁约束聚变与等离子体国际合作联合实验室(华中科技大学电气与电子工程学院),湖北省 ;武汉市 430074

Design and Optimization of Deuterium-Deuterium Fusion Neutron Source Large-Size and High Magnetic Field Magnetic Compression Magnet

ZHOU Yushen1,2, PAN Yuan1,2, LI Chuan1,2, RAO Bo1,2, YANG Yong1,2

1.State Key Laboratory of Advanced Electromagnetic Engineering and Technology (School of Electrical and Electronic Engineering, Huazhong University of Science and Technology), Wuhan 430074, Hubei Province, China

2.International Joint Research Laboratory of Magnetic Confinement Fusion and Plasma Physics (School of Electrical and Electronic Engineering, Huazhong University of Science and Technology), Wuhan 430074, Hubei Province, China

收稿日期: 2024-08-01   修回日期: 2024-10-25  

基金资助: 国家重点研发计划项目.  2022YFE03150102
国家自然科学基金项目.  52207158
华中科技大学“交叉研究支持计划”.  2024JCYJ017

Received: 2024-08-01   Revised: 2024-10-25  

作者简介 About authors

周渝深(2000),男,硕士研究生,研究方向为大口径强磁场磁体的多物理场耦合的有限元分析与建造测试,870039748@qq.com

潘垣(1933),男,教授,中国工程院院士,研究方向为超导电力、脉冲功率技术、等离子体物理与核聚变技术;

李传(1989),男,博士,副教授,研究方向为带电粒子诱导水汽成核及生长机理研究、气体放电数值模拟、静电集雾/消雾技术研究、磁体线圈和高功率大电流电抗器的研制与优化,本文通信作者,lichuan@hust.edu.cn

饶波(1986),男,博士,副教授,研究方向为磁约束聚变应用中的电磁装置设计及相关等离子体控制,聚变新途径、新方法;

杨勇(1989),男,博士,讲师,研究方向为聚变磁体电源、电磁分析与设计。

摘要

目的 为了真实反映聚变中子辐照特性损伤,有必要开展高通量聚变中子源的研究。磁约束氘氘聚变中子源预研装置是国际首台可实现场反等离子体大压缩比级联磁压缩的实验装置,作为该装置核心部件之一的磁压缩磁体,设计要求中心磁场的磁感应强度在500 μs内从0 T上升至7 T,为此,提出了针对磁压缩磁体导体部分的设计思路。 方法 围绕磁体的导体设计,从导体材料选取、导体匝间距离与导体径向厚度3方面入手,通过有限元仿真软件分析导体应力情况,得到了导体材料电导率、导体匝间距离以及导体径向厚度对导体应力的影响。 结果 确定了下一步磁体的设计思路,即在欧姆损耗允许的范围内适当选择电导率偏低的导体材料,在轴向空间允许的范围内通过增加绝缘层厚度的方式适当增加导体匝间距,在材料许用应力的范围内适当减小导体径向厚度以降低建设成本。 结论 随着中子源预研装置项目的进一步推进,所提出的设计思路可为磁压缩磁体装置的设计提供优化方向。

关键词: 可控核聚变 ; 磁压缩磁体 ; 聚变中子源 ; 大口径脉冲强磁体 ; 有限元分析 ; 氘氘聚变 ; 磁场

Abstract

Objectives In order to truly reflect the damage characteristic of fusion neutron irradiation, it is necessary to carry out research on high-flux fusion neutron sources. As the first experimental device in the world that can realize cascaded magnetic compression with high compression ratio of field-reversed configuration plasma, the preliminary research device of magnetic confinement deuterium-deuterium fusion neutron source has important scientific significance. As one of the core components of the device, the magnetic compression magnet was designed to increase the magnetic induction intensity of the central magnetic field from 0 T to 7 T within 500 μs. Therefore, a design idea for the conductor part of the magnetic compression magnet was proposed. Methods Based on the conductor design of magnet, the conductor stress was analyzed by finite element simulation software from the three aspects of conductor material selection, conductor turn distance and conductor radial thickness. The influence of conductor material conductivity, conductor turn distance and conductor radial thickness on conductor stress was obtained. Results The design idea of the next magnet is determined. That is, the conductor material with low conductivity is appropriately selected within the allowable range of ohmic loss, the conductor turn spacing is appropriately increased by increasing the thickness of the insulation layer within the allowable range of axial space, and the radial thickness of the conductor is appropriately reduced within the allowable range of material stress to reduce the construction cost. Conclusions With the further development of the preliminary research device of neutron source project, the design ideas proposed in this paper can provide optimization direction for the design of magnetic compression magnet device.

Keywords: controllable nuclear fusion ; magnetic compression magnet ; fusion neutron source ; large-size pulsed high-field magnet ; finite element analysis ; deuterium-deuterium fusion ; magnetic field

PDF (3053KB) 元数据 多维度评价 相关文章 导出 EndNote| Ris| Bibtex  收藏本文

本文引用格式

周渝深, 潘垣, 李传, 饶波, 杨勇. 氘氘聚变中子源大口径强磁场磁压缩磁体的设计与优化. 发电技术[J], 2024, 45(6): 1016-1022 DOI:10.12096/j.2096-4528.pgt.24173

ZHOU Yushen, PAN Yuan, LI Chuan, RAO Bo, YANG Yong. Design and Optimization of Deuterium-Deuterium Fusion Neutron Source Large-Size and High Magnetic Field Magnetic Compression Magnet. Power Generation Technology[J], 2024, 45(6): 1016-1022 DOI:10.12096/j.2096-4528.pgt.24173

0 引言

当前人类社会面临的能源危机日益严峻,可控核聚变具有储量大、安全性高、对环境友好的特点,是未来最有可能从根本上解决能源危机的能量获取方式[1]

氘氚聚变反应会产生14.1 MeV聚变中子,这不仅会造成原子离位损伤,还可能使聚变反应堆内部材料的结构元素发生核反应,并且聚变中子将会与聚变堆内产生的高强热负荷、粒子流等产生协同效应,这会严重影响聚变堆材料的可靠性[2-3]。为了真实反映聚变中子辐照特性损伤,有必要开展高通量聚变中子源的研究。

为此,潘垣等[4]提出了场反位形级联磁压缩新型方案,当前正在进行预研装置的设计与研制。作为国际首台可实现场反等离子体大压缩比级联磁压缩的实验装置,该装置不仅可为场反等离子体级联磁压缩的理论分析与实验定标率验证提供实验平台,而且还将成为瞬态等离子体建设、传输、压缩全链条全视角的研究平台,可极大推动等离子物理学科的发展,具有重要的科学意义[5]

作为该预研装置核心部件之一的磁压缩磁体,具有直径超800 mm、磁感应强度超7 T、磁场上升时间小于500 μs的特点。目前该类型磁体部分应用于直线型聚变装置,如美国洛斯阿拉莫斯国家实验室建造的Field-Reversed Experiment-C(FRX-C)装置[6],其压缩区长3 m,半径0.23 m,压缩线圈可在55 μs内将压缩区的磁感应强度从0.4 T提升至1.8 T[7];日本大阪大学建造的FRC Injection Experiment(FIX)装置[8],其压缩区长5 m,半径0.4 m,压缩线圈可在35 μs内将压缩区磁感应强度从0.04 T提升至1.5 T[9];华中科技大学建造的磁压缩场反等离子体HUST-FRC(HFRC)装置[10],其压缩区长3 m,半径0.4 m,压缩线圈可在50 μs内将压缩区磁感应强度从0.1 T提升至1.2 T[11]。由此可见,以上装置的磁场较小,磁体结构设计无法直接作为本磁体的设计参考。应用于托卡马克装置的中心螺线管线圈(central solenoid,CS),如:中国聚变工程实验堆(China fusion engineering test reactor,CFETR)的CS线圈[12],其磁场区域长12.8 m,半径为1.75 m,最大稳态磁感应强度为12 T[13];国际热核聚变实验堆(international thermonuclear experiment reactor,ITER)的CS线圈,其磁场区域长度13 m,半径2 m,最大稳态磁感应强度达13 T[14]。由于CS线圈在设计阶段进行结构仿真分析时,该装置的激励设置通常为直流稳态[15],且本磁体装置的磁场在达到峰值时没有稳态持续时间,因此本磁体在设计阶段不能忽视磁场变化率对磁体受力产生的影响。本磁体装置需要结合以上各类磁体的设计优点,达成直径超800 mm、磁感应强度超7 T、磁场上升时间小于500 μs的设计目标。

本文以磁压缩磁体对磁场的设计要求为目标,利用有限元分析软件建立磁压缩磁体初步设计方案的二维电磁-结构仿真模型,探究导体材料选取、线圈组导体匝间间距以及导体径向厚度对导体最大等效应力的影响,在满足设计要求的前提下,兼顾建造成本,构建一套针对磁压缩磁体导体部分的设计思路,为后续对完整的磁压缩磁体结构设计做好铺垫。

1 磁体初步设计方案

磁压缩磁体位于磁约束氘-氘聚变中子源预研装置的中心区域,该区域允许的磁压缩磁体轴向最大长度不能超过5 m,如图1所示。该磁体暂定由轴向线性排列的10组线圈构成,如图2所示。

图1

图1   磁约束氘-氘聚变中子源预研装置示意图

Fig. 1   Schematic diagram of the preliminary research device of magnetic confinement deuterium-deuterium fusion neutron source


图2

图2   磁压缩磁体示意图

Fig. 2   Schematic diagram of compression magnet


图3为线圈组结构示意图,如图3(a)、(b)所示,2个线圈通过真空环氧浇筑为一组线圈,单个线圈由轴向2匝导体组成。如图3(c)、(d)所示,2匝导体通过过渡凸台焊接在一起,以此构成单线圈的闭合回路。过渡凸台的厚度取决于导体的匝间距离。

图3

图3   线圈组结构示意图

Fig. 3   Structure diagram of coil group


由于磁压缩磁体是轴向上左右对称的轴对称结构,因此在有限元仿真软件的电磁分析模块中建造如图4所示的二维仿真模型,图中:L1为轴向半模型的长度;L2为各线圈组之间的间距;L3为单组线圈的轴向长度;L4为单组线圈的径向长度。在后续对不同导体匝间距与不同导体径向厚度的仿真中,以上各项长度具体取值见表1

图4

图4   仿真模型示意图

Fig. 4   Schematic diagram of simulation model


表1   长度的具体参数

Tab. 1  Specific parameters oflength

参数长度/mm
L1L2L3L4
匝间距/mm62 000189230212
102 000167250220
142 000145270228
径向厚度/mm1502 000145270178
1752 000145270203
2002 000145270228

新窗口打开| 下载CSV


2 仿真研究

2.1 仿真参数设置

磁压缩磁体在磁场方面的设计目标为:中轴线磁感应强度在250 μs时达到5 T,在500 μs时达到7 T,随后单次电源激励结束进入续流衰减阶段。磁场的上升阶段近似于500 Hz的交流激励,为了减少计算时间,电磁分析类型选用500 Hz的涡流场[16],电流峰值600 kA。在电磁分析中不加入绝缘层,由于磁体所处环境为25 ℃左右的室温,且单次放电时间极短,估算磁体温升仅有20 ℃,因此在仿真的初步阶段未考虑温度对磁体电气参数的影响,未来会进行温度方面的核算分析。导体材料备选方案有纯铜与B30白铜,具体电气参数见表2

表2   导体材料电气参数

Tab. 2  Electrical parameters of conductor material

材料相对介电常数εr相对磁导率μr体积电导率σ/(MS/m)
纯铜10.999 99158
B30白铜11.034.7

新窗口打开| 下载CSV


结构仿真中各材料的结构参数见表3。导体与绝缘层之间的接触面类型设置为绑定接触,线圈组轴向两边的约束条件设置为仅压缩支撑,径向边界不予约束。设置好网格划分以后,将电磁分析中计算得到的最大力密度电磁载荷导入结构仿真模块中进行线圈组应力的计算。

表3   线圈组材料结构参数

Tab. 3  Coil group material structure parameters

材料杨氏模量/GPa泊松比许用应力/MPa
纯铜1200.34370
B30白铜1500.32200
环氧树脂240.13250

新窗口打开| 下载CSV


2.2 导体材料对应力的影响

因磁场在达到峰值之前的变化率与500 Hz频率的前1/4正弦波的变化率相似,如此快速变化的电流会导致电流集中在各匝线圈的内表面,这种现象称为趋肤效应,趋肤深度δ表达式为

δ=1πfσμ

式中:f为工作频率;μ为导体的磁导率。由表2数据计算可知,导体材料设置为B30白铜时,其趋肤深度约为纯铜导体趋肤深度的3.5倍。

导体材料分别设置为纯铜与B30白铜,取导体匝间距6 mm,径向厚度200 mm,进行电磁仿真分析,径向位置R=0,0.38 m的磁感应强度曲线图如图5所示。可以看出,不同导体材料几乎对中轴线的磁感应强度没有影响,但随着径向位置不断靠近线圈组内表面,磁感应强度的波动幅度逐渐增大。造成该现象的原因是,不同材料对应的趋肤深度不同,趋肤深度越小,导体内表面的局域电流密度越大,从而使得磁场在该区域的波动变大。图6中2种材料下中部线圈组的峰值电流密度云图可以证明以上判断。

图5

图5   不同导体材料各径向位置的磁感应强度曲线图

Fig. 5   Curves of magnetic induction intensity at each radial position of different conductor materials


图6

图6   不同导体材料峰值电流密度云图

Fig. 6   Peak current density cloud map of different conductor materials


图5可知,中部线圈组所处位置的磁感应强度大于端部线圈组,由此可以判断出后续设计应该主要围绕中部线圈组进行。通过仿真也验证了这一判断,以纯铜为导体材料,计算出中部线圈组最大等效应力为200 MPa,端部线圈组最大等效应力为145 MPa。

纯铜与B30白铜中部线圈组等效应力云图如图7所示。由图7可以看出,导体材料使用趋肤深度更大的B30白铜材料时,线圈组导体的截面电流面密度均匀性更好,同时导体上的应力也更小。为进一步探究电流均匀性对应力的影响,仿真得到直流状态时纯铜导体中部线圈组的最大等效应力为130 MPa。

图7

图7   不同导体材料线圈组等效应力云图

Fig. 7   Equivalent stress nephogram of coil groups with different conductor materials


综上,无论是从电流均匀性还是许用应力的角度来看,纯铜无法作为本磁体装置的导体材料,B30白铜有望成为备选材料,且导体最大应力会随电流均匀性提高而降低。但过低的电导率材料会造成更大的欧姆损耗与发热情况,因此在最终确定导体材料之前还应对相关情况进行论证。

2.3 导体匝间距对应力的影响

根据电磁仿真结果可知,单电源供电的线圈电压在40 kV以内,由于真空环氧浇注的绝缘层耐压性能约为10 kV/mm,考虑设计裕量得出导体匝间距最小为6 mm,同时为保证两组线圈之间的间距不小于140 mm,导体匝间距最大为14 mm,在此范围内分别选取匝间距6、10、14 mm进行仿真分析,导体材料设置为B30白铜,导体径向厚度取200 mm,其他部位的具体参数见表2。不同匝间距线圈组等效应力云图如图8所示。

图8

图8   不同匝间距线圈组等效应力云图

Fig. 8   Equivalent stress nephogram of coil group with different turn spacing


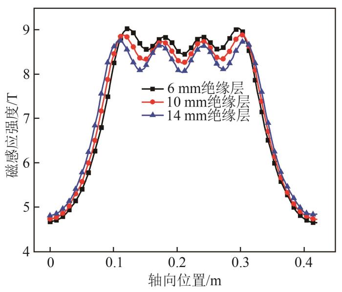
图8可以看出,随着导体匝间距从6 mm增加至14 mm,导体的最大等效应力从171 MPa下降至160 MPa。查看各绝缘层厚度下径向位置R=0.38 m处中部线圈组附近的磁感应强度,其曲线如图9所示。

图9

图9   不同绝缘层厚度下磁感应强度曲线图

Fig. 9   Curve of magnetic induction intensity under different insulating thicknesses


图9可以看出,随着匝间距的增加,导体附近各轴向位置下的磁感应强度均有明显下降,由此使得导体的最大等效应力降低。因此在后续磁体设计中,导体的匝间距可以考虑在允许的范围内适当增加。

2.4 导体径向厚度对应力的影响

分别选取导体径向厚度150、175、200 mm,导体材料设置为B30白铜,导体匝间距14 mm,其他部位的具体参数见表2。通过计算得到不同径向厚度线圈组等效应力云图如图10所示。

图10

图10   不同径向厚度的线圈组等效应力云图

Fig. 10   Equivalent stress nephogram of coil groups with different radial thicknesses


图10可知,在导体材料选用B30白铜,匝间距14 mm时,径向厚度若取为150 mm,导体的最大应力已经接近B30白铜的许用应力200 MPa。

为进一步探究造成线圈组最大等效应力发生变化的原因,分别对各径向厚度线圈组的各法向应力进行分析,各法向应力最大值见表4

表4   不同径向厚度的线圈组各法向应力最大值

Tab. 4  Maximum normal stress of coil group with different radial thicknesses

径向厚度/mm等效应力/MPa径向应力/MPa轴向应力/MPa环向应力/MPa
150191.47-57.80-49.58173.41
175172.21-58.89-49.99154.31
200159.44-59.61-50.23140.12

新窗口打开| 下载CSV


表4可见,不同径向厚度下中部线圈组导体之间的最大径向应力与轴向应力相差无几,随着径向厚度由200 mm减少至150 mm,环向应力由140.12 MPa增加至173.41 MPa,这是由于中部线圈组呈现出两端向中间挤压、整体向外膨胀的趋势,而减少导体径向厚度对电磁力的影响不大,但线圈组向外膨胀的趋势愈发明显,这会导致导体在环向上的应变增加,进而环向应力增加。

3 结论

利用有限元仿真软件进行电磁-结构相耦合的有限元仿真,从导体材料、导体匝间距以及导体径向厚度3方面入手,得出以下结论:

1)低电导率的材料会对导体趋肤效应有所改善,可以使导体截面电流密度的均匀性得到提升,当导体材料电导率从58 MS/m降至7.4 MS/m时,导体最大等效应力从200 MPa降至171 MPa,降幅14.3%。

2)适当增加导体匝间距可以降低导体内表面附近的磁感应强度,当匝间距离由6 mm增加至14 mm时,导体最大等效应力从171 MPa降至160 MPa,降幅6.4%。

3)减小导体径向厚度对导体环向应力的增加最为显著,为降低建设成本,可在导体材料的许用应力的范围内适当减小导体的径向厚度。

参考文献

张一鸣

ITER计划和核聚变研究的未来

[J].真空与低温,200612(4):231-237doi:10.3969/j.issn.1006-7086.2006.04.011

[本文引用: 1]

ZHANG Y M

Iter program and the future of nuclear fusion research

[J].Vacuum and Cryogenics,200612(4):231-237doi:10.3969/j.issn.1006-7086.2006.04.011

[本文引用: 1]

HUANG JLIU H CGAO Zet al

Helium-hydrogen synergistic effects in structural materials under fusion neutron irradiation

[J].Frontiers in Materials,2022949doi:10.3389/fmats.2022.849115

[本文引用: 1]

GILBERT M RSUBLET J C

Scoping of material response under DEMO neutron irradiation:comparison with fission and influence of nuclear library selection

[J].Fusion Engineering and Design,2017125299-306doi:10.1016/J.FUSENGDES.2017.06.016

[本文引用: 1]

潘垣王之江武松涛

基于场反位形的磁约束氘氘脉冲聚变中子源方案设计

[J].中国工程科学,202224(3):205-213doi:10.15302/J-SSCAE-2022.03.021

[本文引用: 1]

PAN YWANG Z JWU S Tet al

Project design of a pulsed D-D fusion neutron source based on field reversed configuration

[J].Strategic Study of CAE,202224(3):205-213doi:10.15302/J-SSCAE-2022.03.021

[本文引用: 1]

PAN YWU SWANG Zet al

A new device concept of magnetic confinement deuterium-deuterium fusion

[J].Chinese Physics Letters,202340(10):102801doi:10.1088/0256-307x/40/10/102801

[本文引用: 1]

REJ D JTAGGART D PBARON M Het al

High-power magnetic-compression heating of field-reversed configurations

[J].Physics of Fluids B,19924(7):1909-1919doi:10.1063/1.860043

[本文引用: 1]

SIMON R EARMSTRONG W TBARNES Det al

Review of the Los-Alamos FRX-C experiment

[J].Fusion Technology,19869(1):13-37doi:10.13182/fst86-a24698

[本文引用: 1]

TUSZEWSKI M

Field reversed configurations

[J].Nuclear Fusion,1988282033doi:10.1088/0029-5515/28/11/008

[本文引用: 1]

KITANO KMATSUMOTO HYAMANAKA Ket al

Advanced experiments on field-reversed configuration at Osaka

[J].Physics of Plasmas,1995191(2):32-35

[本文引用: 1]

张义雄

HFRC磁压缩场反等离子体装置的压缩区设计

[D].武汉华中科技大学2020doi:10.1109/tps.2020.2987038

[本文引用: 1]

ZHANG Y X

Compression region design of HFRC magnetic compression field anti-plasma device

[D].WuhanHuazhong University of Science and Technology2020doi:10.1109/tps.2020.2987038

[本文引用: 1]

ZHANG QRAO BYANG Yet al

Structural optimization design and numerical analysis of in-vessel magnetic compression coils

[J].Fusion Engineering and Design,2023192113780doi:10.1016/j.fusengdes.2023.113780

[本文引用: 1]

汪献伟王兆亮刘小刚

CFETR模型线圈引线的力学分析

[J].核聚变与等离子体物理,201636(1):60-64doi:10.16568/j.0254-6086.201601011

[本文引用: 1]

WANG X WWANG Z LLIU X Get al

Mechanical analysis of feeder for CFETR CS model coil

[J].Nuclear Fusion and Plasma Physics,201636(1):60-64doi:10.16568/j.0254-6086.201601011

[本文引用: 1]

赵善焕

CFETR中心螺线管线圈结构设计和电磁分析

[D].合肥中国科学技术大学2014

[本文引用: 1]

ZHAO S H

Structural design and electromagnetic analysis of CFETR central solenoid coil

[D].HefeiUniversity of Science and Technology of China2014

[本文引用: 1]

BRUN CNGUYEN CDECOOL Pet al

ITER central solenoid precompression test mock-up-validation phase to prepare the assembly on-site

[J].Fusion Engineering and Design,2023194113705doi:10.1016/j.fusengdes.2023.113705

[本文引用: 1]

陈光

CFETR中心螺线管模型线圈结构

[D].合肥合肥工业大学2018

[本文引用: 1]

CHEN G

CFETR center solenoid model coil structure

[D].HefeiUniversity of Science and Technology of China2018

[本文引用: 1]

Y LZHANG Q LWU Tet al

Optimization of the pulsed high-field coil in a magnetic trap type plasma compression device

[J].IEEE Transactions on Applied Superconductivity,202030(4):1-5doi:10.1109/tasc.2020.2968261

[本文引用: 1]

/