氘氘聚变中子源大口径强磁场磁压缩磁体的设计与优化 |
| 周渝深, 潘垣, 李传, 饶波, 杨勇 |
|
Design and Optimization of Deuterium-Deuterium Fusion Neutron Source Large-Size and High Magnetic Field Magnetic Compression Magnet |
| Yushen ZHOU, Yuan PAN, Chuan LI, Bo RAO, Yong YANG |
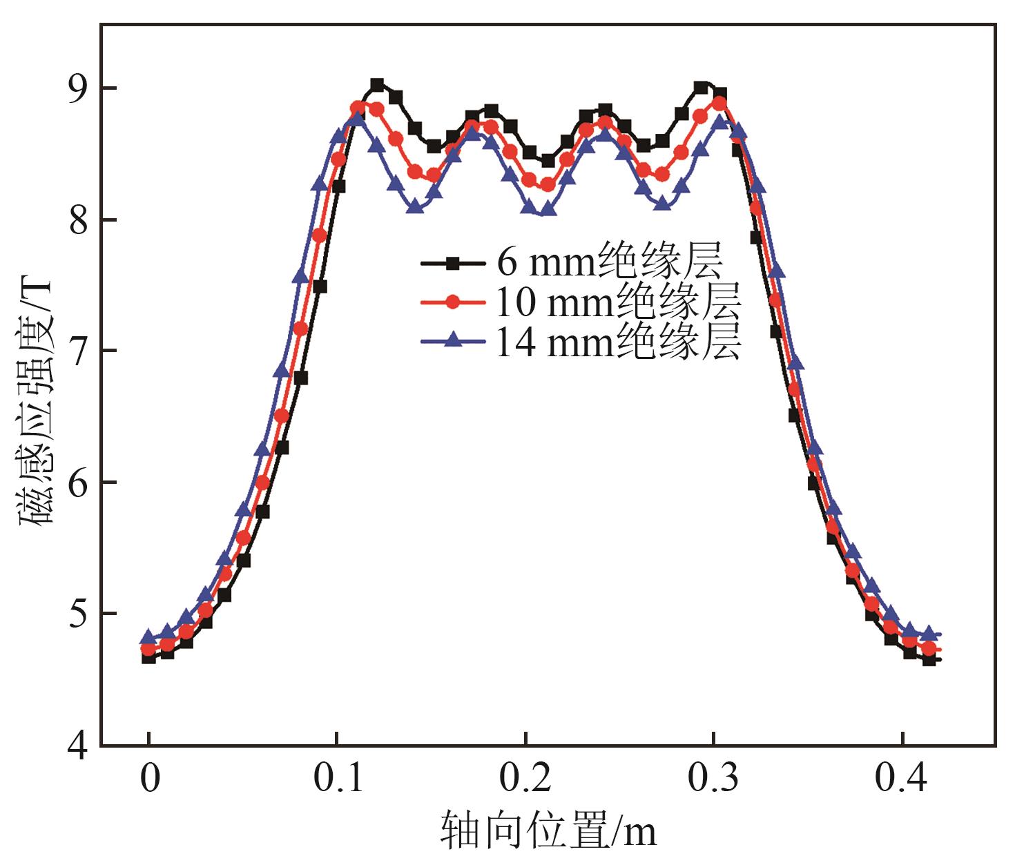
| 图9 不同绝缘层厚度下磁感应强度曲线图 |
| Fig. 9 Curve of magnetic induction intensity under different insulating thicknesses |
|