发电技术, 2024, 45(1): 180-188 DOI: 10.12096/j.2096-4528.pgt.22008

能源互联网

常温空气下外露电极结构的电气体发电实验研究

柯明辉, 赖林

中山大学航空航天学院,广东省 深圳市 518107

Experimental Research of Electrogasdynamic Power Generation With Exposed Electrode Structure Based on Normal Temperature Air

KE Minghui, LAI Lin

School of Aeronautics and Astronautics, Sun Yat-sen University, Shenzhen 518107, Guangdong Province, China

收稿日期: 2023-03-19  

基金资助: 国家重点研发计划项目.  2020YFA07U601

Received: 2023-03-19  

作者简介 About authors

柯明辉(1997),男,硕士研究生,研究方向为电气体发电,1240497557@qq.com

赖林(1979),男,博士,副教授,研究方向为电流体动力学和新型发电技术,本文通信作者,lailin3@sysu.edu.cn

摘要

为了探究电气体发电基本过程的影响因素和规律,基于电气体发电的基本理论设计了一套简易外露电极结构的电气体高压发电试验装置。基于该装置,以高压空气为工作介质,通过音速喷嘴产生高速气流,利用外露的针尖电极电晕放电产生荷电粒子,研究了气体总压、转换段长度、负载阻值、电晕电压以及电路接法等结构和电气参数对电气体发电电压和功率的影响规律。通过合理配置发电装置参数,获得了相较于电晕电压4.41倍的收集电压或者相较于电晕功率3.53倍的收集功率。研究表明:电势沿着转换段呈抛物线分布;负载阻值越大,收集电压越高;随电晕电压增高,收集功率越大,收集功率和电晕功率之比越小。

关键词: 电气体发电 ; 常温空气 ; 电晕放电 ; 高电压 ; 外露电极

Abstract

In order to explore the influencing factors and laws of the basic process of electrogasdynamic power generation, a simple electrogasdaynamic high-voltage power generation test device with exposed electrode structure was designed based on the basic theory of electrogasdaynamic power generation. Based on this device, high-pressure air was used as the working medium, high-speed airflow was generated through sonic nozzles, and charged particles were generated by corona discharge at the exposed needle electrode. The influences of structural and electrical parameters such as total gas pressure, conversion section length, load resistance, applied voltage, and circuit connection on the voltage and power of electrogasdynamic power generation were studied. By reasonably configuring the parameters of the power generation device, a collection voltage of 4.41 times the corona voltage or a collection power of 3.53 times the corona power was obtained. The research shows that the electric potential is parabolically distributed along the conversion section. The greater the load resistance, the higher the collection voltage. As the applied voltage increases, the larger the collection power, the smaller the ratio of the collection power to the corona power.

Keywords: electrogasdynamic power generation ; normal temperature air ; corona discharge ; high voltage ; exposed electrode structure

PDF (5555KB) 元数据 多维度评价 相关文章 导出 EndNote| Ris| Bibtex  收藏本文

本文引用格式

柯明辉, 赖林. 常温空气下外露电极结构的电气体发电实验研究. 发电技术[J], 2024, 45(1): 180-188 DOI:10.12096/j.2096-4528.pgt.22008

KE Minghui, LAI Lin. Experimental Research of Electrogasdynamic Power Generation With Exposed Electrode Structure Based on Normal Temperature Air. Power Generation Technology[J], 2024, 45(1): 180-188 DOI:10.12096/j.2096-4528.pgt.22008

0 引言

电气体发电是一种直接将气体动能转化成电能的发电方式,它的基本原理是在针尖发射极和吸引极间加上高电压,发射极附近发生电晕放电,产生大量单极性荷电粒子,在高速气流作用下,这些荷电粒子被气体输运到了集电极附近。在这一过程中荷电粒子克服电场力运动,动能被直接转换成了电能[1]

电气体发电不含有任何转动部件, 理想Ericsson循环效率可以达到67%[2],与磁流体发电相比,电气体发电对工作介质的温度要求大大降低,且有利于高电压输送。相较于传统发电技术,电气体发电具有结构简单易维护、理论效率高、清洁、可靠性高等优点,具有良好发展前景[3]

关于电气体发电的研究主要兴起于20世纪60年代后,Marks[4-7]在电气体发电领域做了大量工作,设计了一系列电气体发电装置,研究了不同介质参数下的电气体发电性能,并做了大量理论分析。Brown[8]提出2种简化的电气体发电装置,并描述了发电过程,利用串联的平行电容板实现电压的可控输出。Bumagin[9-10]提出一种全新的电气体发电装置构型,使用并-串联多级方式以到达更高的电压输出,研究了气流参数、带电粒子速度和气流截面半径在喷嘴和扩压器长度上的变化规律。Soltani、Nagornyi和Varga等人[11-15]对电流体发电过程和装置开展了大量的理论分析和数值模拟研究。

相较而言,国内关于电气体发电装置的研究较少。在20世纪70年代,上海锅炉厂[3]对电气体发电原理和遇到的主要问题进行了总结性的阐述。赵俊才[16]对当时电气体发电所遇到的关键技术问题提出了解决方法,并对自主设计的电气体发电结构展开了实验研究。陈听宽等[17]对电气体发电的工作原理,单极电荷的产生、输送、收集方法和电气体发电的热力循环做了详细的阐述和总结。陈子云、刘娟芳、孙万敏等[1,18-21]基于CFD商业软件对具有热添加的电气体发电模型进行了仿真,模拟了不同的气体参数、结构尺寸和加热方式对热力循环效率的影响并进行了优化,对不同的循环系统性能进行了详细的分析。

目前电气体发电仍然处于基础理论研究和模拟试验阶段,对于发电过程中产生的现象和规律认识还不够透彻,同时高浓度荷电粒子流产生方式和高效率电荷收集方式仍然不够理想,电气体发电的高电压特性也会带来许多设计和制造上的困难,因此当前实际的电气体发电效率仍然很低。而相关的电气体发电基本特性的实验研究鲜有报道。

本文设计了一套电气体发电实验装置,利用常温高压空气作为气源,研究了在气体总压、转换段长度、负载阻值、电晕电压及电路接法等不同参数影响下装置的电气特性,分析了参数变化的原因,总结了变化规律,为后续电气体发电装置的设计和优化提供参考。

1 实验装置与测量方法

1.1 实验装置

本文的电气体发电实验系统由供气设备、测量设备、高压电源、自主设计的电气体高压发电装置等部分组成,如图1所示。其中供气设备为容量300 L、压力1.6 MPa的通用空气压缩机(型号为VF-1.05/16)。高压电源选用了上海晟皋电气科技的直流高压发生器(型号为ZJF-60 kV/5 mA),用以提供吸引极和发射极之间的电晕电压。

图1

图1   实验系统图

Fig. 1   Experimental system diagram


传统的电气体发电装置的发射极都是布置在一个封闭流道里面的。为了更方便地安装维护以及对实验进行观察和参数调整,设计了图2所示外露电极结构的电气体高压发电装置,该装置的发射极和吸引极都直接暴露在周围环境中,装置中的压力腔、喷嘴、进气管则用于产生高速气流。发射极由6根安装在喷嘴附近的细针组成,吸引极由圆环状铜膜组成,集电极则由1 mm的方孔不锈钢纱网组成,转换段由胶木构成,外部的结构框架由尼龙螺丝构成。装置的主要尺寸和实物图分别如图34所示。

图2

图2   电气体高压发电装置

Fig. 2   Electrogasdaynamic high-voltage power generation device


图3

图3   电气体高压发电装置主要尺寸

Fig. 3   Main dimensions of electrogasdaynamic high-voltage power generation device


图4

图4   电气体高压发电装置实物图

Fig. 4   Physical map of electrogasdaynamic high-voltage power generation device


1.2 测量方法

装置从压力腔引出测压管,利用meacon压力变送器(型号为MIK-P300,最大量程为2.5 MPa,精度等级为0.25级)测量气体总压。由于本装置的单极性荷电粒子来源为空气电离,所以总体的电流非常微弱,为了更为准确地测量集电极与地线之间的真实电势差(即收集电压),本文选用内阻为100 GΩ的高阻高压表(型号为华测EST105,量程为±1 V~±100 kV,测量准确度为1%+2字)测量集电极的电压,并选用2 GΩ以上高阻值的电阻作为负载用于测量发电功率。电流的测量则采用了keithley数字万用表(型号为DM6500,100 μA直流挡位的分辨率为100 pA,精度为0.02%)和胜利万用表(型号为VC86E,220 μA直流挡位的分辨率为10 nA,精度为0.5%+10)。图5为整个实验系统的电路连接示意图。空气压缩机通过气管将高压空气通入电气体高压发电装置压力腔。高压气体由进气管进入压力腔流经喷管喷出产生高速气体。吸引极与高压电源高压输出端相连,发射极与地线相连,集电极在经过高阻高压表和负载后与地线相连。

图5

图5   电路连接方式1

Fig. 5   Circuit connection mode 1


2 实验结果与分析

2.1 不同气体总压下发电装置的电气特性

固定负载阻值R=2 GΩ,电晕电压V=8 kV,吸引极内孔径d=15 mm,吸引极和发射极垂直距离h=6 mm,转换段长度L=220 mm,空压机内部气压随着气体喷出不断降低,得到不同气体总压p下电气体高压发电装置的电气特性,如图67所示。

图6

图6   不同气压下的收集电压变化

Fig. 6   Collected voltage changes with different air pressures


图 7

图 7   不同气压下的收集功率变化

Fig. 7   Collected power changes with different air pressures


图6图7显示,随着总压由0.4 MPa升到0.8 MPa,收集电压Us和收集功率Ps逐步增大,但增长速度逐步减慢,UsPs在相同负载电阻下的变化趋势相同。当总压从0.7 MPa升到0.8 MPa时,p-Usp-Ps曲线逐渐趋于水平。电气体发电的能量转换是动能向电能的转换,气体总压的增大会加强从喷嘴喷出的气体动能,而更大的动能有利于产生更大的收集电压和功率。在电气体发电中,被输运的荷电粒子数越多,气流速度越快,发出的电能将越大。而PsUs增长速度减慢的原因主要有2方面:一是因为在总压增大的过程中,发射极处电离出去的荷电粒子变少了。图8为发射极电流I随着气体总压的增大而发生的变化,可以看到随着总压p的增大,电流I在持续减小;二是因为喷嘴的尺寸是固定的,出口气流的速度并不与总压成正比,总压越大,提升总压带来的气流速度提升将越小。

图 8

图 8   不同气压下的发射极电流变化

Fig. 8   Emitter current changes with different air pressures


为了更直观说明该实验装置的性能,以p=0.6 MPa时的数据为例,按照理想气体等熵流简单估算喷嘴出口动能转化成电能的转换效率n。按照压力腔内气体总温为300 K,比热比为1.4,喷嘴流量系数为1进行估算,可得质量流量mg=12.7 g/s,喷嘴出口速度v=435 m/s,收集功率Ps=0.282 W。转换效率公式为

n=2Ps/(mgv2)

按照式(1)计算,得到转换效率n=0.023%。可以看出,喷嘴出口的动能只有极少部分转换成了电能,这主要是以空气作为工作介质产生的荷电粒子具有较大迁移率导致的。

电气体高压发电装置产生的电流可分成4部分:1)流经发射极的电流I,也即整个发电装置的总电流;2)流经吸引极的电流I1,在图5的接线条件下,也就是电源电流;3)流经集电极的电流I2;4)泄漏到环境各处去的电流I3。数值上它们满足以下关系[16]

I=I1+I2+I3

发电装置在电晕放电过程中,需要消耗一部分的电能。图9显示,随着总压P的降低,所需要的电晕功率Pr也随之增大,一是由于总电流I的增大,带来了整体电流的增加;二是由于总压降低,喷嘴出口动能下降,使得I1/I增大,也即更多的电荷被吸引极吸收。

图9

图9   不同气压下的电晕功率变化

Fig. 9   Corona power changes with different air pressures


将收集功率Ps减去电晕功率Pr,得到净功率Pe图10表明,随着总压增大,净功率Pe也随之增大。而当总压降到0.475 MPa时,净功率Pe已经降到了负值,表示此时电晕功率Pr已经大于收集功率Ps,这说明此时整个装置是一个消耗电能的状态。因此要通过电气体发电技术产生电能,气体动能需要足够大。

图10

图10   不同气压下的净功率变化

Fig. 10   Net power changes with different air pressures


2.2 不同转换段长度下发电装置的收集电压变化

为了探究电气体高压发电装置的内部电势沿着转换段的变化过程,调整不同转换段长度进行试验。试验过程中,去掉负载,只使用高阻高压表进行电压的测量,以获取更接近于无测量状态下的电势值。以地势为零电势位,收集网处的电势与收集电压的值相同,所以后续仍针对收集电压进行分析。图11为在V=12 kV、d=15 mm、h=6 mm、p=0.8 MPa工况下,不同转换段长度电气体高压发电装置的收集电压变化曲线。可以看出,当转换段长度L从50 mm增加到220 mm时,收集电压随着转换段长度增加而增加;当转换段长度由220 mm增加到320 mm时,收集电压开始逐步下降。整体上收集电压随转换段长度的变化呈一条抛物线。

图11

图11   不同转换段长度下的收集电压变化

Fig. 11   Collecting voltage changes under different conversion section lengths


静电场泊松方程为

2φ=-q/ε0

式中:φ为电势;q为空间电荷密度;ε0为真空介电常量。

假设在一维条件下,转换段的空间电荷密度为常数,则式(3)的简单理论解为

φ=a(x+b)2+c

式中a, b, c均为常数。

电势的分布呈一条二次抛物线,与试验结果吻合。因此当转换段长度足够长时,在转换段的内部将出现电势φ的极值点,也是获取最大收集电压的最佳位点。另外,由于气流沿着转换段逐渐衰弱,实际发电过程中,转换段内部的电荷密度也会沿着转换段逐步降低,使得离吸引极足够远处的转换段内部电势进一步降低。因此为了提高发电效率,需要找到最优的位点安置集电极,而不应一味加长转换段长度。

2.3 不同负载阻值下发电装置的电气特性

在本文试验中,是将集电极和地线之间的高电压直接作用于一固定电阻上来模拟实际用电器,并基于此测量收集到的功率。通过更换不同阻值的负载,得到不同负载阻值下电气体高压发电装置的电气特性。图 12为不同负载阻值下收集电压的变化,R=100 GΩ的曲线是去掉负载后单独使用高阻高压表测得的数据,可以看出,随着负载阻值增大,测得的收集电压Us也在不断增大,同时随着阻值增大,收集电压的增加速率在不断减缓。而随着负载的不断增大,收集电压将会趋近于一个最大值,而这个值为集电极不连接任何测量电路的情况下,集电极和地线之间的电势差。

图12

图12   不同负载阻值下的p-Us曲线

Fig. 12   p-Us curves at different load resistances


图 13为不同负载阻值下的p-Ps曲线,可见,R=5 GΩ时收集功率最大,而R=20 GΩ时收集功率相较于R=2 GΩ和R=5 GΩ时有明显下降。由于整个装置的电流十分微弱,集电极附近的荷电粒子总数较少,当负载阻值较小时,可流经负载的电流受限,无法提高。当流经集电极的电流维持在固定值时,收集电压大小与阻值成正相关。而当阻值足够大时,到达集电极的电荷将不再充分吸收,电流不再受限,而随着阻值继续增大,收集电压增速渐趋缓慢。因此当R从2 GΩ增加到5 GΩ时,结合功率计算公式Ps=Us2/R,收集功率增加,而R从5 GΩ到20 GΩ时,收集功率减小。

图13

图13   不同负载阻值下的p-Ps曲线

Fig. 13   p-Ps curves at different load resistances


2.4 不同电晕电压下发电装置的电气特性

电气体发电的过程是带有一定速度的气体对荷电粒子的运输,从而克服电场力做功。在本文中,荷电粒子的产生是通过针尖发射极和吸引极间的电晕放电产生的,影响电晕放电的最直接因素就是两者间的电场,而改变电场最直接的手段就是调整间距和两极间的电压。图14为不同电晕电压下的p-I曲线,可见,随着电压升高,电晕产生的电流I也在逐步升高,并在V=12~13 kV时迎来较大的提升。

图14

图14   不同电晕电压下的p-I曲线

Fig. 14   p-I curves at different corona voltages


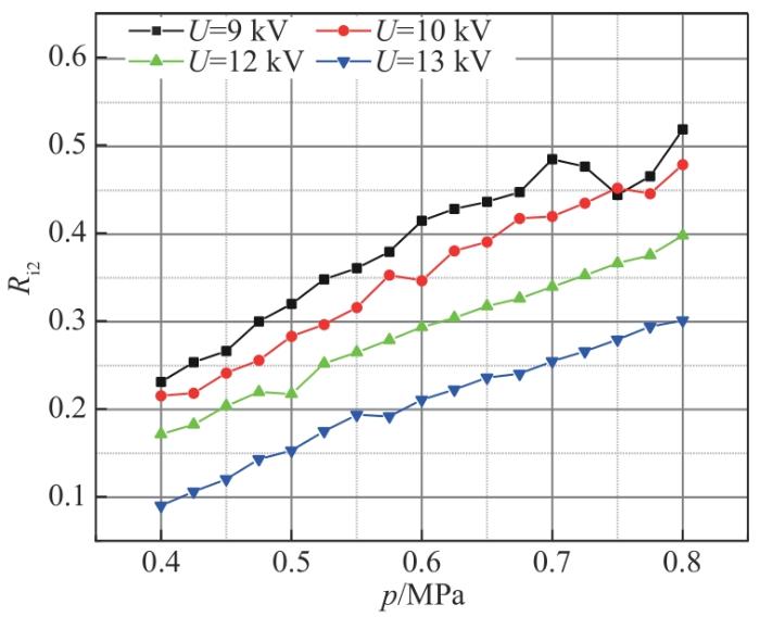
此外,改变电压引起的电场改变也会影响同一气压下流经吸引极的电流占比。荷电粒子在电气体发电装置中的运动主要受到2个因素影响,一是强电场下的电场力,二是曳力。电场力会使荷电粒子从发射极向吸引极运动,曳力则会使荷电粒子被输运到集电极。图15为不同电晕电压下的p-Ri1曲线,由图15可见,在同一气体总压下,流经吸引极的电流与发射极的电流之间的比值Ri1随着电压的增大而增大,这意味着荷电粒子更多地运动到吸引极。而随着总压从0.4 MPa增大到0.8 MPa,出口气体动能增大,曳力在荷电粒子所受力中的占比增大。图16表明,随着流经收集极的电流与发射极的电流之间的比值Ri2值增大,更多的荷电粒子被输运到集电极。

图15

图15   不同电晕电压下的p-Ri1曲线

Fig. 15   p-Ri1 curves at different corona voltages


图16

图16   不同电晕电压下的p-Ri2曲线

Fig. 16   p-Ri2 curves at different corona voltages


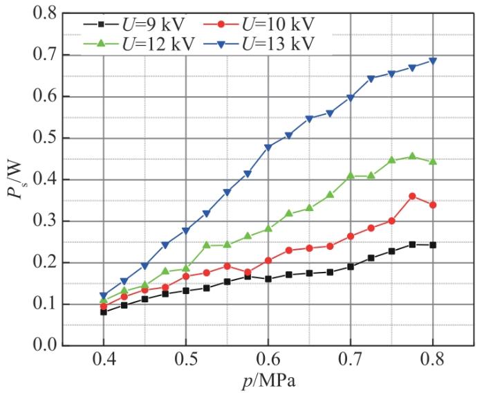
图17为不同电晕电压下,收集功率随总压的变化曲线。可以看出,随着电晕电压增大,收集功率有明显的增幅,且当电晕电压增大,收集功率随总压的增幅越大。

图17

图17   不同电晕电压下的p-Ps曲线

Fig. 17   p-Ps curves at different corona voltages


虽然电晕电压的提升会带来收集功率的提升,但同时也带来了电晕功率的提升。图18为不同总压下,收集功率和电晕功率之间的比值Rp随着电晕电压的变化,可以看出,随着电晕电压的增大,Rp在不断减小。这意味着在其余工况不变的情况下,电晕电压越高,电气体高压发电装置产生单位电能所需要的输入电能也越高;总压越高,出口动能越大,Rp也越高。

图18

图18   不同气压下的U-Rp曲线

Fig. 18   U-Rp curves at different air pressures


图19为不同气压下的U-Pe曲线,可见当总压p=0.8 MPa时,尽管Rp值减小,但净功率Pe仍然随着电晕电压的增大有微小的增大。而当p分别为0.6 MPa和0.4 MPa时,随着电晕电压增大,Pe在不断减小。对比p=0.6 MPa和p=0.4 MPa的U-Pe曲线可以发现,p=0.4 MPa时,Pe的减小随电晕电压的减小幅度明显要大于p=0.6 MPa时的结果。这是因为,在p=0.4 MPa时,电场力在荷电粒子的受力中占比较大。在改变电晕电压时,电场力的变化会更大程度地影响到Pe值。

图19

图19   不同气压下的U-Pe曲线

Fig. 19   U-Pe curves at different air pressures


2.5 不同电路接法下发电装置的电气特性

前面的实验都是基于图5中所示的电路接法来开展的,称其为接法1(M1)。在此基础上,保持负极电晕放电不变,将原来的正高压电源换成负高压电源。以地势作为零电势,2种电源的差别在于正高压电源的高(绝对值)电势端电势为正,而负高压电源的高电势端电势为负。将负高压电源的负极接在发射极上,吸引极则接地,就得到了图20的接法2(M2)。

图20

图20   电路连接方式2

Fig. 20   Circuit connection mode 2


在同一电压下对2种接法展开实验,得到图2122。由图21可知,即使是在相同的电压下,接法2所消耗的电晕功率要明显大于接法1。造成这种现象的原因是在接法1中,电源电流等于流经吸引极的电流I1,而在接法2中,电源电流等于流经发射极的电流I,且由式(2)可知,电流I要大于电流I1,所以造成了两者在电晕功率上的明显区别。

图21

图21   2种接法下的p-Pr曲线

Fig. 21   p-Pr curves under two connection methods


图22

图22   2种接法下的p-Us曲线

Fig. 22   p-Us curves under two connection methods


图22表明,接法2的收集电压要明显大于接法1。需要注意的是,在更换电源后,吸引极和发射极的电势已经发生改变,以地势为零电势位,接法1中吸引极的电势为11 kV,接法2中发射极的电势为-11 kV,而收集电压Us是集电极和地线之间的电势差,因此要想达到相同的收集电压,接法1中吸引极和集电极之间的电势差就需要更大。从结果上看,接法2电晕功率上付出的代价要大于在收集电压上带来的收益。

3 结论

以常温空气为工作介质,设计一套简易的电气体发电实验系统,调整气体总压、转换段长度、负载电阻、电晕电压、电路接法进行试验,对不同参数下发电装置的电气特性进行研究。得出以下结论:

1)压力腔气体总压的提升可以增加喷嘴出口气体动能,从而提升收集电压和收集功率,但针对当前装置针尖电晕放电产生荷电粒子的方式,气压提升的同时容易引起发射极电流减小,导致发电效果变差,应采取更为稳定的荷电粒子生成方式或结构。

2)在转换段足够长的情况下,沿着转换段轴向,电势在转换段内的分布呈抛物线分布。在进行电能收集时,找到极值点进行收集可在不提高动能输入的前提下提高收集电压和收集功率。

3)电气体发电对于不同的负载电阻会表现出不同特性,阻值越高,相应的收集电压越高,且增长速度随阻值增大而变缓。此外,收集功率随着阻值的变化存在极值点。

4)电晕电压的变化会明显改变极间电场从而改变发射极电流。电晕电压越大,收集功率越大,但相应的电晕功率也增大,收集功率和电晕功率之比越小。

5)不同电路接法下电气体发电装置的电气特性不同。将负高压电源的负极接发射极,吸引极接地,相较于将正高压电源的正极端接吸引极,发射极接地会使电晕功率增加,同时收集电压增加。

参考文献

陈子云

具有热添加的电气体发电过程流动特性及热动力循环分析

[D].重庆重庆大学2017

[本文引用: 2]

CHEN Z Y

Flow characteristics and thermodynamic cycle analysis of electric gas power generation process with heat addition

[D].ChongqingChongqing University2017

[本文引用: 2]

MUSGROVE P J

Energy from electrogasdynamics

[J].IEEE Review,197319(14):327-330doi:10.1049/ep.1973.0384

[本文引用: 1]

上海锅炉厂研究所

电气体发电

[J].锅炉技术,1970(6):49-51

[本文引用: 2]

Shanghai Boiler Plant Research Institute

Electric gas power generation

[J].Boiler Technology,1970(6):49-51

[本文引用: 2]

MARKS A M

Electrostatic generator with charging and collecting arrays

3792293[P].U S,1974-02-12

[本文引用: 1]

MARKS A M

Electrothermodynamic(ETD) power converter

US19810237290[P].U S,1983-07-26doi:10.1016/0141-9382(83)90200-7

MARKS A M

Electrothermodynamic (ETD) power converter with conical jet

4523112[P].U S,1985-06-11

MARKS A M

Electrothermodynamic power converter with converging flows

4677326[P].U S,1987-06-30

[本文引用: 1]

BROWN T T

Electrokinetic generator

3022430[P].U S,1962-02-20

[本文引用: 1]

BUMAGIN G IBORODIN D VLAPKOVA A Get al

Operation and design of electrogasdynamic generator-expander on natural gas

[J].Chemical and Petroleum Engineering,200945(1/2):72-76doi:10.1007/s10556-009-9146-7

[本文引用: 1]

BUMAGIN G IBURYAN Y ALAPKOVA A Get al

Physics of processes in the expansion stages of an electrogasdynamic generator with a new electrode system with a pulsed voltage

[J].Chemical & Petroleum Engineering,200945(7/8):413-421doi:10.1007/s10556-009-9203-2

[本文引用: 1]

SOLTANI MAHMADI GOUNIS Het al

Direct simulation of charged particle deposition in turbulent flow

[J].International Journal of Multiphase Flow,199824(1):77-92doi:10.1016/s0301-9322(97)00042-6

[本文引用: 1]

NAGORNYI V SGRISHIN A S

Electrogasdynamic converters with turbulization of gas jet by controlled unipolar ion current

[C]//International Symposium on Electrical Insulating MaterialsKitakyushu,JapanIEEE2005193551doi:10.1109/iseim.2005.193551

SZABOLCS VOLIVEIRA A C

Simulation study of an electrogasdynamic power converter using CFD

[J].International Journal of Low Carbon Technologies,20061(3):245-261doi:10.1093/ijlct/1.3.245

OLIVEIRA RStudy of electrogasdynamic power conversion[M].New YorkNova Science Publishers2007171-200

MACHADO J MYANG S Y

Electrofluid dynamic (EFD) energy conversion in gas flows with suspended nanoparticles

[J].International Journal of Applied Electromagnetics and Mechanics,201033(1/2):119-125doi:10.3233/jae-2010-1104

[本文引用: 1]

赵俊才

电流体发电实验与结构探讨

[J].高电压技术,19818(2):59-67

[本文引用: 2]

ZHAO J C

Discussion on the experiment and structure of electrohydrodynamic power generation

[J].High Voltage Engineering,19818(2):59-67

[本文引用: 2]

陈听宽张燕谋温龙新能源发电[M].西安西安交通大学出版社2007126-128

[本文引用: 1]

CHEN T KZHANG Y MWEN Let alNew energy power generation[M].Xi’anXi’an Jiaotong University Press2007126-128

[本文引用: 1]

LIU JXU ZZHANG X

Thermodynamics investigation on one novel combined cycle based on the electrogasdynamic generator

[J].Energy,2020198117277doi:10.1016/j.energy.2020.117277

[本文引用: 1]

孙万敏刘娟芳陈清华

基于电气体发电ORC系统热力学分析

[J].热能动力工程,201429(4):374-379

SUN W MLIU J FCHEN Q Het al

Thermodynamic analysis of ORC system based on electric gas power generation

[J].Journal of Engineering for Thermal Energy and Power,201429(4):374-379

朱桂同

电气体发电中有热添加的喷管流动及热力循环分析

[D].重庆重庆大学2014doi:10.7652/xjtuxb201409012

ZHU G T

Analysis of nozzle flow and thermal cycle with heat addition in electric gas power generation

[D].ChongqingChongqing University2014doi:10.7652/xjtuxb201409012

孙万敏

电气体发电循环系统的性能研究

[D].重庆重庆大学2015

[本文引用: 1]

SUN W M

Study on the performance of electric gas power generation cycle system

[D].ChongqingChongqing University2015

[本文引用: 1]

/