常温空气下外露电极结构的电气体发电实验研究 |
| 柯明辉, 赖林 |
|
Experimental Research of Electrogasdynamic Power Generation With Exposed Electrode Structure Based on Normal Temperature Air |
| Minghui KE, Lin LAI |
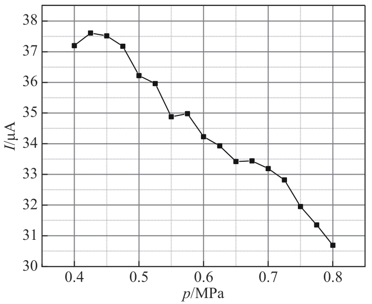
| 图 8 不同气压下的发射极电流变化 |
| Fig. 8 Emitter current changes with different air pressures |
|