常温空气下外露电极结构的电气体发电实验研究 |
| 柯明辉, 赖林 |
|
Experimental Research of Electrogasdynamic Power Generation With Exposed Electrode Structure Based on Normal Temperature Air |
| Minghui KE, Lin LAI |
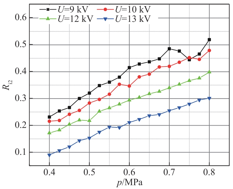
| 图16 不同电晕电压下的p-Ri2曲线 |
| Fig. 16 p-Ri2 curves at different corona voltages |
|