发电技术, 2023, 44(1): 63-77 DOI: 10.12096/j.2096-4528.pgt.22072

新能源

基于SnO2电子传输层的n-i-p型钙钛矿太阳能电池关键技术研究

岳晓鹏1,2, 赵兴1, 闫慧琳1, 樊冰冰1, 黄浩1, 闫路遥1, 崔鹏1, 马峻峰1, 李美成1

1.华北电力大学新能源学院, 北京市 昌平区 102206

2.河北工程大学能源与环境工程学院, 河北省 邯郸市 056038

Research of Key Technologies for n-i-p Perovskite Solar Cells With SnO2 Electron Transport Layer

YUE Xiaopeng1,2, ZHAO Xing1, YAN Huilin1, FAN Bingbing1, HUANG Hao1, YAN Luyao1, CUI Peng1, MA Junfeng1, LI Meicheng1

1.School of New Energy, North China Electric Power University, Changping District, Beijing 102206, China

2.School of Energy and Environmental Engineering, Hebei University of Engineering, Handan 056038, Hebei Province, China

收稿日期: 2022-04-07  

基金资助: 国家自然科学基金项目.  51972110.  52102245.  52072121
北京市自然科学基金项目.  2222076.  2222077
新能源电力系统国家重点实验室自主课题.  LAPS202114
华能集团科技项目.  HNKJ20-H88
中央高校基本科研业务费项目.  2020MS023.  2020MS028
华北电力大学双一流建设项目

Received: 2022-04-07  

作者简介 About authors

岳晓鹏(1981),女,硕士,讲师,研究方向为钙钛矿太阳能电池,yue28109@163.com

赵兴(1989),女,博士,讲师,研究方向为新能源材料与器件,zhaoxing8921@163.com

闫慧琳(2000),女,研究方向为钙钛矿太阳电池,120181100326@ncepu.edu.cn

樊冰冰(1992),女,博士,实验员,研究方向为新能源材料与器件,bbfan@ncepu.edu.cn

黄浩(1994),男,博士研究生,研究方向为钙钛矿太阳能电池,120192111173@ncepu.edu.cn

闫路遥(1996),女,博士研究生,研究方向为钙钛矿太阳能电池,luyaoyan@ncepu.edu.cn

崔鹏(1991),男,博士,讲师,研究方向为新型太阳电池材料特性与器件设计,cuipeng@ncepu.edu.cn

马峻峰(1962),男,博士,教授,研究方向为新能源材料与光电技术,清洁能源与高效光催化材料,majunfeng01@sina.com

李美成(1973),男,博士,教授,研究方向为新能源与可再生能源,本文通信作者,mcli@ncepu.edu.cn

摘要

钙钛矿太阳能电池(perovskite solar cells,PSCs)由于光电转换效率高、制备工艺简单、成本低等优势受到广泛关注,电池效率已从3.8%提升到25.7%。目前,对基于SnO2电子传输层的n-i-p型平板结构电池的研究越来越多,但存在着工艺可重复性差、效率低等问题。针对n-i-p型平板结构PSCs的制备进行了系统的研究,包括导电基底的选择、钙钛矿制备工艺参数的优化以及电池存储环境。结果证明,上述参数对于电池均具有重要影响,并结合扫描电子显微镜、X射线衍射、吸收光谱分析了原因。在最优工艺条件下(掺锡氧化铟基底,PbI2 退火温度70 ℃(1 min),胺盐溶液滴加后静置时间不超过5 s,存储湿度4.5%),器件平均效率达到21.85%,最高效率达到23.47%,迟滞可忽略,具有良好的可重复性。研究结果可为制备重复性好、光电转换效率高的PSCs提供科学支撑。

关键词: 钙钛矿太阳能电池(PSCs) ; n-i-p ; SnO2 ; 高效率 ; 可重复性

Abstract

Perovskite solar cells (PSCs) have attracted extensive attentions due to their high-efficiency, simple preparation process and low-cost. The efficiency of the PSCs has increased from 3.8% to 25.7%. So far, more and more studies focus on n-i-p structured PSCs using SnO2 as electron transport layer. However, its process reproducibility is relatively poor, and efficiency is still low. This report conducted a systematic study of planar n-i-p PSCs, mainly including the selection of transparent conductive oxide (TCO) glass, optimization of preparation parameters and the influence of storage conditions on device performance. Experimental results show that these parameters have an important impact on the device performance. At the same time, it was analyzed by scanning electron microscope, X-ray diffraction, absorption spectrum. The devices achieved an average efficiency of 21.85% and a highest efficiency of 23.47% with good reproducibility under the optimal conditions (Indium Tin oxide substrate, PbI2 annealed at 70 ℃ for 1 min, standing time after dropping amine salt solution is less than 5 s, and stored in 4.5% humidity environment). This work provides scientific support for the preparation of high-efficiency and repeatable PSCs.

Keywords: perovskite solar cells (PSCs) ; n-i-p ; SnO2 ; high-efficiency ; reproducibility

PDF (6865KB) 元数据 多维度评价 相关文章 导出 EndNote| Ris| Bibtex  收藏本文

本文引用格式

岳晓鹏, 赵兴, 闫慧琳, 樊冰冰, 黄浩, 闫路遥, 崔鹏, 马峻峰, 李美成. 基于SnO2电子传输层的n-i-p型钙钛矿太阳能电池关键技术研究. 发电技术[J], 2023, 44(1): 63-77 DOI:10.12096/j.2096-4528.pgt.22072

YUE Xiaopeng, ZHAO Xing, YAN Huilin, FAN Bingbing, HUANG Hao, YAN Luyao, CUI Peng, MA Junfeng, LI Meicheng. Research of Key Technologies for n-i-p Perovskite Solar Cells With SnO2 Electron Transport Layer. Power Generation Technology[J], 2023, 44(1): 63-77 DOI:10.12096/j.2096-4528.pgt.22072

0 引言

随着人类社会的不断发展,人们面临的能源危机和环境问题逐渐加剧,开发清洁无污染的可再生能源迫在眉睫[1]。目前,我国能源消耗主要以化石燃料为主,包括煤、石油、天然气等,而传统能源使用过程中往往会带来环境问题,影响人们的生存和健康[2-4]。2020年,我国明确提出了双碳目标,即逐步实现2030年“碳达峰”与2060年“碳中和”。该政策的提出对于推进我国能源结构转型、发展新能源具有重要意义[5-6]

太阳能作为可再生能源的一种,具有取之不尽、用之不竭的优势,是理想的清洁能源之一。太阳能电池是利用光伏效应将光能转换为电能的器件[7],依据材料不同可分为晶硅太阳能电池、钙钛矿太阳能电池(perovskite solar cells,PSCs)、有机薄膜太阳能电池、染料敏化太阳能电池、砷化镓太阳能电池、铜铟镓硒太阳能电池和碲化镉薄膜太阳能电池等。目前,商业化应用最多的是晶硅太阳能电池,其中单晶硅太阳能电池的最高认证效率为26.1%[8]。然而,单晶硅材料在生产过程中存在着高能耗、高污染以及高成本等一系列问题,严重阻碍了其商业化发展。与晶硅太阳能电池相比,钙钛矿太阳能电池由于具有光电转换效率高、成本低、制备工艺简单等优势,有望取代传统晶硅电池成为新一代光伏器件[9-13]。目前,钙钛矿太阳能电池已取得25.7%的最高认证效率,这一数值可与单晶硅电池相媲美[8]

钙钛矿太阳能电池主要结构包括透明导电玻璃、电子和空穴传输层、钙钛矿吸光层和金属电极。钙钛矿吸收光子产生光生载流子,在内建电场的驱动下,电子和空穴发生分离,由两侧电极传输至外电路[14]。近年来,基于SnO2电子传输层的平板n-i-p结构钙钛矿太阳能电池效率不断得到突破,这主要得益于SnO2良好的透光率、较高的载流子迁移率、适合的能级匹配和低温制备工艺[15-22]。2017年,Jiang等人[23]采用商业化的SnO2胶体溶液作为电子传输层,结合两步法旋涂工艺制备钙钛矿太阳能电池,电池取得了21.6%的效率。2019年,该课题组采用苯乙胺氢碘酸盐钝化钙钛矿表面的缺陷态,获得了高达23.3%的认证效率[24]。该工艺制备温度低(≤150 ℃),制备过程简单,非常适合大面积生产以及柔性电池的制备[9,22]。在此基础上,越来越多的调控策略被用于提升电池效率和改善稳定性[24-28]。2022年,Xiong等人[25]采用双胍盐酸盐修饰SnO2,它可以很好地与PbI2发生配位,不仅可以改善能级匹配和抑制界面缺陷态,还可以促进钙钛矿薄膜的结晶,最终获得了24.4%的最高效率。然而,在实际制备中,该电池体系对基底类型、钙钛矿薄膜制备工艺和存储环境等因素控制要求较为苛刻,导致电池效率普遍较低、工艺重复性差等问题。因此,研究基底类型、钙钛矿制备工艺和存储环境对电池光电性能的影响,有助于进一步提升电池效率和工艺重复性。

本文以基于SnO2电子传输层的n-i-p结构钙钛矿太阳能电池为研究对象,结合两步旋涂工艺制备钙钛矿,系统地研究了影响电池效率和工艺重复性的重要因素。通过研究不同透明导电基底、两步旋涂工艺参数以及存放环境湿度等因素对电池光电性能的影响,获得制备该体系电池的最优工艺条件。

1 实验部分

1.1 实验原料

透明导电氧化物(transparent conductive oxide,TCO)基底、掺氟氧化锡(F-doped Tin oxide,FTO)和掺锡氧化铟(Indium Tin oxide,ITO)购买于苏州尚阳科技有限公司,其中FTO型号为A22-85,ITO型号为X07-10A,电阻均为8 Ω;质量分数15%的 SnO2胶体溶液购买于阿法埃莎(中国)化学有限公司;碘化铅(PbI2,99.99%)购于梯希爱(上海)化成工业发展有限公司;碘化甲胺(CH3NH3I,MAI)、碘化甲脒(CH(NH2)2I,FAI)、氯化甲胺(CH3NH3Cl,MACl)、4-叔丁基吡啶(t-BP)、双三氟甲磺酰亚胺锂(Li-TFSI)、2,2',7,7'-四[N,N-二(4-甲氧基苯基)氨基]-9,9'-螺二芴(Spiro-MeOTAD)购于西安宝莱特光电科技有限公司;有机试剂二甲基亚砜(DMSO)、N-N-二甲基甲酰胺(DMF)、氯苯(CB)、异丙醇(IPA)、乙腈(ACN)购于西格玛奥德里奇(上海)贸易有限公司。

1.2 电池制备

FTO或ITO分别用玻璃清洁剂、乙醇、去离子水超声清洗10 min,然后用氮气吹干并用臭氧处理15 min。将质量分数15% 的SnO2胶体溶液用去离子水按1∶4的体积比稀释,并采用0.45 μm的水系滤头过滤。将稀释后SnO2胶体溶液用4 000 rad/min的转速旋涂在预备好的导电基底上,150 ℃加热30 min,获得电子传输层基底,使用前需臭氧处理15 min。钙钛矿采用两步旋涂法制备,包括PbI2和胺盐的旋涂[26]。将691.5 mg的PbI2 溶解在1 mL DMF/DMSO(体积比为9∶1)的溶剂中,以1 500 rad/min的转速旋涂在制备好的SnO2基底上,并进行预退火处理;将90 mg FAI、6.4 mg MAI 和 9 mg MACl溶解到1 mL IPA中,随后以2 000 rad/min 的转速旋涂在PbI2基底上并40 ℃预退火处理1 min。最后,把制备好的前驱体薄膜在150 ℃的条件下加热15 min 以促进钙钛矿的结晶,随后采用苯乙胺盐酸盐进行钝化处理。配制80 mg/mL的spiro-MeOTAD/氯苯溶液并加入30 μL t-BP 和18 μL Li-TFSI溶液(520 mg/mL的乙腈溶液),以4 000 rad/min的转速旋涂在钙钛矿表面,在空气中氧化后蒸镀80 nm 金电极。

1.3 测试表征

本文中扫描电子显微镜(scanning electron microscope,SEM)形貌图采用ZEISS MERLIN Compact。吸收光谱测定采用Shimadzu UV2600型紫外-可见分光光度计。X射线衍射(X-ray diffraction,XRD)图谱采用日本理学 Rigaku Ultima IV测定,波长为1.541 8 nm,电压40 kV,电流40 mA。太阳能电池的电流密度-电压(J-V)特性曲线采用XES-301S+EL-100型太阳光模拟器,Keithley 2400型测量电表,在AM 1.5G的模拟太阳光照下进行测试。外量子效率(external quantum efficiency,EQE)由Enli(光焱)光谱响应测试系统QE-R测试。

2 结果与讨论

2.1 透明导电基底对电池性能的影响

钙钛矿太阳能电池通常采用TiO2作为电子传输层,需要高温处理,因此经常采用FTO作为基底[29]。在本研究中,分别选择SnO2和Spiro-MeOTAD作为电子和空穴传输层,结合两步旋涂工艺来制备钙钛矿吸光层,电池结构为TCO/SnO2/perovskite/Spiro-MeOTAD/Au(见图1),整个制备工艺过程中温度不超过150 ℃,因此也可采用ITO基底。由于导电性、透光率、功函数以及表面粗糙度等参数的不同,不同TCO基底往往会对电池光电性能产生较大的影响。选择合适的TCO基底对于后续沉积各个功能层具有较大影响,这里对常用的2种导电玻璃FTO和ITO进行比较,研究它们对于电池光电性能的影响。

图1

图1   钙钛矿太阳能电池结构示意图

Fig. 1   Schematic diagram of PSCs structure


按前述电池制备方法,在FTO和ITO两种基底上制备的电池光电性能参数统计分布见图2。可以看出,ITO基底的器件平均短路电流密度Jsc、开路电压Voc、填充因子FF及光电转换效率PCE均优于FTO基底。2种基底最优电流密度-电压(J-V)特性图见图3,详细参数见表1。基于ITO基底的电池最佳光电转换效率为19.74%,而基于FTO基底的器件最佳效率为17.78%。PCE的增加主要由JscFF增加引起,这可能是由于ITO比FTO有更高的透过率和较低的表面粗糙度[30]

图2

图2   基于FTO与ITO基底钙钛矿太阳能电池各性能参数箱式对比图

Fig. 2   Box comparison diagram of performance parameters of PSCs based on FTO and ITO substrates


图3

图3   基于FTO与ITO基底最优电池J-V特性曲线图

Fig. 3   J-V curves of the optimal PSCs based on FTO and ITO substrates


表1   基于FTO和ITO基底的最优电池性能参数

Tab. 1  Best performing photovoltaic parameters of PSCs based on FTO and ITO substrates

TCOJsc/(mA/cm2Voc/VFF/%PCE/%
FTO22.341.1171.7317.78
ITO23.271.1175.4319.47

新窗口打开| 下载CSV


2.2 PbI2退火温度对电池性能的影响

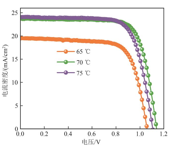
在钙钛矿太阳能电池的多层结构中,钙钛矿层主要负责太阳光的收集,因此吸光层的结晶质量对整个电池的光电性能至关重要。在使用两步旋涂工艺制备钙钛矿的过程中,第一步先旋涂PbI2并进行退火,退火温度和时间将决定PbI2成膜质量,进而影响钙钛矿层的结晶。在ITO基底上对PbI2的退火温度进行研究,旋涂PbI2后分别在65、70、75 ℃的条件下退火1 min。制备的电池各

性能参数统计分布图见图4Jsc随退火温度的增加而增大,VocFFPCE随退火温度的增加先增大后减小,70 ℃退火时平均效率最高。PbI2在各退火温度下的最佳J-V特性图见图5,详细性能参数见表2。当PbI2退火温度为65 ℃时,JscVocFFPCE均较低,温度大于70 ℃时Jsc升高,但在75 ℃时VocFF有略微下降,进而引起PCE的下降。在70 ℃退火时电池转换效率最高,为20.26%,其Voc为1.14 V,FF为75.05%,Jsc为23.77 mA/cm2

图4

图4   不同PbI2退火温度下电池性能参数箱式分布图

Fig. 4   Box distribution diagram of performance parameters of PSCs at different annealing temperatures of PbI2


图5

图5   不同PbI2退火温度下最优电池J-V性能曲线图

Fig. 5   J-V curves of optimal PSCs annealed at different annealing temperatures of PbI2


表2   不同PbI2退火温度下最优电池特性参数值

Tab. 2  Best performing photovoltaic parameters of PSCs at different annealing temperatures of PbI2

T/℃Jsc/(mA/cm2Voc/VFF/%PCE/%
6519.551.0671.1814.86
7023.771.1475.0520.26
7524.121.1073.4419.42

新窗口打开| 下载CSV


为了探究PbI2退火温度对电池性能影响机制,对PbI2在不同退火温度下制备的钙钛矿进行SEM、吸收光谱及XRD分析。从图6中可以看出,不同PbI2退火温度下制备的钙钛矿形貌差别不大。在PbI2退火温度为75 ℃时,钙钛矿薄膜在500~550 nm波长范围内吸收较弱;当波长大于550 nm时,3种钙钛矿薄膜的吸收光谱基本一致,如图7所示。从XRD图谱(图8)中可以看到,在24.6°附近出现较强的FAPbI3钙钛矿衍射峰,在12.9°附近出现PbI2的衍射峰,并且随着PbI2退火温度的增加,FAPbI3的衍射峰增强,PbI2的衍射峰减弱,意味着过量的PbI2反应生成FAPbI3。结合图4可以看出,随着温度的增加,钙钛矿的结晶增强,导致Jsc增大,但当退火温度达到75 ℃时,PbI2减少,器件的VocFF下降,从而使PCE下降。

图6

图6   PbI2不同退火温度下制备钙钛矿薄膜SEM表面形貌图

Fig. 6   Perovskite film SEM images based on PbI2 at different annealing temperatures


图7

图7   PbI2不同退火温度下制备钙钛矿薄膜吸收光谱图

Fig. 7   Absorption spectra of perovskite thin films prepared by PbI2 at different annealing temperatures


图8

图8   不同PbI2退火温度下制备钙钛矿层的XRD图

Fig. 8   Perovskite XRD spectrum at different annealing temperatures of PbI2


2.3 PbI2退火时间对电池性能的影响

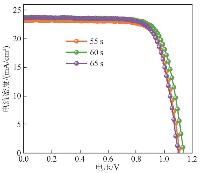
在70 ℃的退火温度下,对PbI2退火时间进行比较,电池性能参数统计分布图见图9;不同退火时间的最优太阳能电池的J-V特性图见图10,最优性能参数见表3。可以看出,电池平均Jsc随PbI2退火时间的增加而增加,平均FFPCE则随退火时间的增加先增大后减小。当PbI2退火时间为60 s时,电池整体性能最优,其JscVocFFPCE分别为24.28 mA/cm2、1.13 V、78.59%、21.58%。不同PbI2退火时间对钙钛矿的SEM形貌影响不大,PbI2退火时间为65 s时有少许孔洞,见图11。从图12中可以看出,不同PbI2退火时间下所得钙钛矿薄膜的吸收曲线几乎完全一致,表明退火时间对钙钛矿的光吸收特性没有影响。图13为不同PbI2退火时间制备钙钛矿层XRD图,可以看出,随着PbI2退火时间的增加,FAPbI3和PbI2的衍射峰强度均呈现先增大后减小趋势。当退火时间为60 s时,FAPbI3和PbI2的衍射峰最强,且对应器件的光伏性能最优,说明增强钙钛矿的结晶性及适当过量的PbI2对器件性能有利。

图9

图9   退火温度为70 ℃时,不同PbI2退火时间下的电池性能参数箱式分布图

Fig.9   Box diagram of performance parameters of PSCs under different annealing time of PbI2 at 70 ℃


图10

图10   退火温度为70 ℃时,不同PbI2退火时间下的最优电池J-V性能曲线图

Fig. 10   J-V curves of the optimal PSCs under different annealing time of PbI2 at 70 ℃


表3   退火温度为70 ℃时,不同PbI2退火时间下最优电池特性参数

Tab. 3  Best performing photovoltaic parameters of PSCs based on PbI2 annealed at 70 ℃ with different annealing time

t/sJsc/(mA/cm2Voc/VFF/%PCE/%
5523.271.1175.4319.47
6023.771.1475.0520.26
6523.731.1075.1119.54

新窗口打开| 下载CSV


图11

图11   PbI2退火时间(退火温度为70 ℃)不同所得钙钛矿薄膜的表面SEM图

Fig. 11   Perovskite film SEM images based on PbI2 at different annealing time of 70 ℃


图12

图12   退火温度为70 ℃时,不同PbI2 退火时间条件下钙钛矿薄膜的吸收光谱图

Fig. 12   Absorption spectra of perovskite thin films based on PbI2 annealed at 70 ℃ with different annealing time


图13

图13   退火温度为70 ℃时,不同PbI2退火时间制备钙钛矿层XRD图

Fig. 13   Perovskite XRD spectrum under different annealing time of PbI2 at 70 ℃


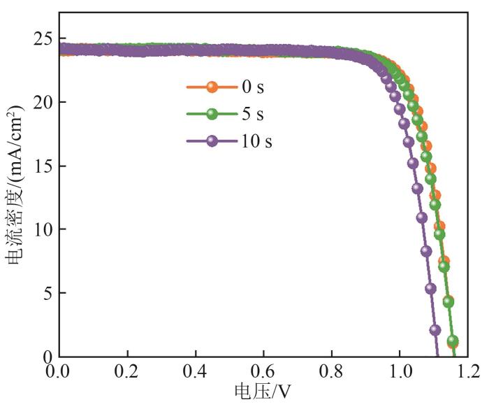
2.4 胺盐静置时间对电池性能的影响

两步旋涂法中第二步在PbI2薄膜上旋涂胺盐溶液,滴加胺盐溶液后的静置时间对PbI2的反应程度以及钙钛矿结晶成膜将产生影响,进而影响电池光伏性能。滴加胺盐溶液后不同静置时间下的电池光伏特性参数统计分布图见图14。可以看出,随胺盐溶液静置时间的增加,平均Jsc略有增加,而VocFFPCE均减小,且其分布变宽。滴加胺盐溶液后不同静置时间下最优电池的J-V特性曲线见图15,性能参数见表4。当静置时间为0 s时,太阳能电池转换效率最优,其JscVocFFPCE分别为24.17 mA/cm2、1.16 V、79.57%、22.26%。因此,对ITO/SnO2基底的钙钛矿太阳能电池制备,胺盐溶液滴加后应立即旋涂。

图14

图14   滴加胺盐溶液后不同静置时间下的电池性能参数箱式分布图

Fig. 14   Box diagram of performance parameters of PSCs under different standing time after dropping amine salt solution


表4   滴加胺盐溶液后不同静置时间下最优电池特性参数

Tab. 4  Best performing photovoltaic parameters of PSCs under different standing time after dropping amine salt solution

t/sJsc/(mA/cm2Voc/VFF/%PCE/%
024.171.1679.5722.26
524.211.1678.8022.07
1024.211.1179.5621.29

新窗口打开| 下载CSV


图15

图15   滴加胺盐溶液后不同静置时间下的最优电池J-V

Fig. 15   J-V curves of optimal PSCs under different standing time after dropping amine salt solution


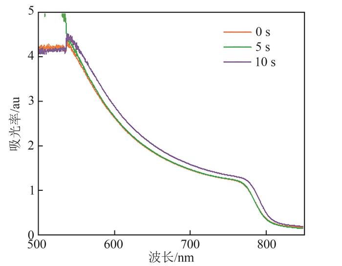
图16为滴加胺盐溶液后不同静置时间所得钙钛矿薄膜的表面SEM图,可以看出,随着胺盐溶液静置时间的增加,钙钛矿晶粒尺寸逐渐增大。图17为滴加胺盐溶液后不同静置时间所得钙钛矿薄膜吸收光谱图,可以看出,当胺盐溶液静置时间为0 s和5 s时,所得钙钛矿薄膜的吸收曲线基本一致;当静置时间为10 s时,吸收明显增强。图18为滴加胺盐溶液后不同静置时间的XRD图,可以看出,胺盐溶液静置时间增加,FAPbI3衍射峰强度增加,PbI2的衍射峰强度明显减小。结合图14可以看出,随胺盐溶液静置时间的增加,钙钛矿的晶粒增大、吸收增强、结晶性能变好,对应器件的JSC增加,但是器件内部的PbI2含量降低,造成VocFF均下降,这可能是由于适量的PbI2残留不仅使界面能级更加匹配,而且能有效地钝化钙钛矿晶界和界面处的缺陷态,抑制非辐射复合,提升开路电压Voc,该结果与Chen等人[31]的研究结果一致。

图16

图16   滴加胺盐溶液后不同静置时间所得钙钛矿薄膜的表面SEM图

Fig. 16   Perovskite film SEM images under different standing time after dropping amine salt solution


图17

图17   滴加胺盐溶液后不同静置时间所得钙钛矿薄膜吸收光谱图

Fig. 17   Absorption spectra of perovskite thin films obtained after dripping amine salt solution for different standing time


图18

图18   滴加胺盐溶液后不同静置时间的XRD图

Fig. 18   Perovskite XRD spectrum under different standing time after dropping amine salt solution


2.5 电池存储湿度对电池性能的影响

钙钛矿太阳能电池对水、氧比较敏感,将制备完成的电池放置于不同湿度的空气中观察湿度对其性能的影响。旋涂完spiro-MeOTAD后分别放置于湿度为4.5%和20%的空气环境中,氧化一天后蒸镀Au电极并进行初次J-V特性测试,之后仍放置在原湿度的环境中,24 h后进行第二次测试,其性能参数统计分布图见图19。可以看出,当放置在湿度为4.5%条件下,电池各性能参数均优于湿度为20%的情况,且分布窄,说明电池可重复性好。一天之后再次对电池进行J-V测试,湿度为4.5%环境下的电池平均效率从18.99%增加到了20.90%,且分布进一步变窄。相比之下,在湿度为20%的环境下,电池所有性能参数均出现迅速衰减,平均效率从17.50%降到了12.77%,意味着环境湿度的重要性。图20给出了在4.5%和20%的湿度条件下的最优电池J-V特性曲线变化,其初始值及一天后测试效率的性能参数见表5。在湿度为20%的环境中,电池FF下降明显,导致电池效率迅速下降了33.2%,而存储湿度为4.5%的电池效率基本保持不变。上述结果表明,电池蒸镀电极前后的环境湿度对电池性能尤为重要,空气中的水汽入侵可能是引起电池效率失效的主要原因,通过严格控制环境湿度、组分工程或者封装工艺等可有效地提升电池的稳定性[28,32]

图19

图19   不同存储湿度条件下太阳电池性能参数分布图

Fig.19   Distribution diagram of performance parameters of PSCs under different storage humidity conditions


表5   不同存储湿度条件下最优太阳电池性能参数表

Tab. 5  Photovoltaic parameters of PSCs under different storage humidity conditions

相对湿度/%测试时间Jsc/(mA/cm2)Voc/VFF/%PCE/%
4.5初始值23.611.1678.9021.56
1天后24.111.1676.5621.36
20初始值23.501.1169.8418.14
1天后23.601.0548.7712.12

新窗口打开| 下载CSV


图20

图20   在不同存储湿度条件下最优太阳电池J-V特性曲线变化

Fig. 20   J-V curves change of optimal PSCs under different storage humidity conditions


2.6 最优工艺条件下的电池性能

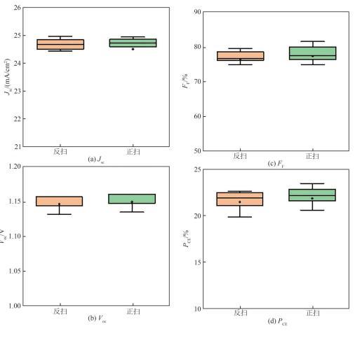
在选定ITO基底的基础上,严格控制PbI2的退火温度70 ℃、退火时间1 min、胺盐的静置时间5 s以内、电池的存储湿度4.5%等条件,制备了15个钙钛矿太阳能电池。对电池进行正向(电压-0.1~1.2 V)和反向J-V扫描(1.2 V~-0.1 V)测试,其性能参数分布见图21。可以看出,15个电池的性能参数分布较窄,表明可重复性良好。

图21

图21   15个优化工艺后太阳电池正、反扫性能参数箱式图对比

Fig. 21   Box diagram comparison of performance parameters of 15 PSCs scanned at forward and backward direction using optimized processes


图22为最佳工艺条件下钙钛矿太阳电池光伏特征。由图22(a)可见,钙钛矿太阳电池正、反扫平均效率分别为21.85%和21.47%。定义迟滞因子:

HI=(PCE反扫-PCE正扫)/max(PCE反扫,PCE正扫)

图22

图22   最佳工艺条件下钙钛矿太阳电池光伏特征

Fig. 22   Photovoltaic performance of champion PSCs under optimal condition


图22(b)可知,所有电池的迟滞因子HI均小于0.04,说明迟滞较小。在最优条件下,冠军电池获得了23.47%的最高光电转换效率,其J-V曲线如图22(c)所示,相关参数如表6所示。在正、反扫条件下,冠军电池的效率分别为23.47%和22.65%,Jsc分别为24.89、24.82 mA/cm2Voc分别为1.161、1.144 V,FF分别为81.19%和79.76%。从图22(d)可以看出,在波长300~800 nm范围内,冠军电池有较高的光电转换效率,积分电流为24.3 mA/cm2,与J-V测试结果一致。

表6   最优条件下冠军器件光伏特性参数

Tab. 6  Photovoltaic parameters of champion PSCs under optimal condition

冠军电池Jsc/(mA/cm2Voc/VFF/%PCE/%
反扫24.821.14479.7622.65
正扫24.891.16181.1923.47

新窗口打开| 下载CSV


3 结论

对平板n-i-p型钙钛矿太阳能电池制备工艺过程中可能存在的影响因素进行了系统的研究。研究发现,透明导电基底、PbI2的退火温度和时间、胺盐溶液的静置时间,以及储存湿度条件等均对电池性能产生较大的影响。

1)结合SEM、XRD、吸收光谱分析,认为较好的钙钛矿结晶及适量的PbI2残留具有如下作用:①可以有效地钝化钙钛矿晶界和界面处的缺陷态;②可能使界面能级更加匹配;③可以抑制非辐射复合;④明显提升开路电压Voc,从而提升电池的转换效率。

2)优化的工艺条件为:①ITO基底;②PbI2退火温度70℃;③PbI2退火时间60 s;④滴加胺盐溶液后静置时间不超过5 s;⑤电池储存环境相对湿度约为4.5%。在此条件下可制备的器件平均光电转换效率达21.85%,最高效率为23.47%,且其平行性、可重复性好,迟滞可忽略。

3)该研究为制备高效率、可重复性好的钙钛矿太阳能电池提供了科学指导,相关工作可推广到钙钛矿太阳能电池的大面积和柔性器件的生产制备中,对进一步推动钙钛矿太阳能电池产业的发展具有一定的指导价值。

参考文献

CHU SMAJUMDAR A

Opportunities and challenges for a sustainable energy future

[J].Nature,2012488(7411):294-303doi:10.1038/nature11475

[本文引用: 1]

李春曦王佳叶学民

我国新能源发展现状及前景

[J].电力科学与工程,201228(4):1-8doi:10.3969/j.issn.1672-0792.2012.04.001

[本文引用: 1]

Li C XWang JYe X Met al

Development and prospects of new energy in China

[J].Electric Power Science and Engineering,201228(4):1-8doi:10.3969/j.issn.1672-0792.2012.04.001

[本文引用: 1]

韩芳

我国可再生能源发展现状和前景展望

[J].可再生能源,201028(4):137-140doi:10.3969/j.issn.1671-5292.2010.04.033

HAN F

Development status and prospect of renewable energy in China

[J].Renewable Energy Resources,201028(4):137-140doi:10.3969/j.issn.1671-5292.2010.04.033

丁峰李晓刚梁泽琪

国外可再生能源发展经验及其对我国相关扶持政策的启示

[J].电力建设,202243(9):1-11doi:10.12204/j.issn.1000-7229.2022.09.001

[本文引用: 1]

DING FLI X GLIANG Z Qet al

Review of foreign experience in promoting renewable energy development and inspiration to China

[J].Electric Power Construction,202243(9):1-11doi:10.12204/j.issn.1000-7229.2022.09.001

[本文引用: 1]

姜红丽刘羽茜冯一铭

碳达峰、碳中和背景下“十四五”时期发电技术趋势分析

[J].发电技术,202143(1):54-64

[本文引用: 1]

Jiang H LLiu Y XFeng Y Met al

Analysis of power generation technology trend in 14th five-year plan under the background of carbon peak and carbon neutrality

[J].Power Generation Technology,202143(1):54-64

[本文引用: 1]

童光毅

基于双碳目标的智慧能源体系构建

[J].智慧电力,202149(5):1-6doi:10.3969/j.issn.1673-7598.2021.05.002

[本文引用: 1]

TONG G Y

Construction of smart energy system based on dual carbon goal

[J].Smart Power,202149(5):1-6doi:10.3969/j.issn.1673-7598.2021.05.002

[本文引用: 1]

刘斌谈竹奎唐赛秋

基于数据预测启发式算法的光伏电池参数识别

[J].电力系统保护与控制,202149(23):72-79

[本文引用: 1]

LIU BTAN Z KTANG S Qet al

Photovoltaic cell parameter extraction using data prediction based on a meta-heuristic algorithm

[J].Power System Protection and Control,202149(23):72-79

[本文引用: 1]

National Renewable Energy Laboratory

Best research-cell efficiency chart

[EB/OL].[2022-03-12]..

[本文引用: 2]

Meng LYou JYang Y

Addressing the stability issue of perovskite solar cells for commercial applications

[J].Nature Communications,20189(1):5265doi:10.1038/s41467-018-07255-1

[本文引用: 2]

Roy PKumar Sinha NTiwari Set al

A review on perovskite solar cells:Evolution of architecture,fabrication techniques,commercialization issues and status

[J].Solar Energy,2020198665-688doi:10.1016/j.solener.2020.01.080

Reddy S HDi Giacomo FDi Carlo A

Low‐temperature‐processed stable perovskite solar cells and modules:a comprehensive review

[J].Advanced Energy Materials,20222103534doi:10.1002/aenm.202103534

Kojima ATeshima KShirai Yet al

Organometal halide perovskites as visible-light sensitizer for photovoltaic cells

[J].Journal of American Chemical Society,20091316050-6051doi:10.1021/ja809598r

Kim H SLee C RIm J Het al

Lead iodide perovskite sensitized all-solid-state submicron thin film mesoscopic solar cell with efficiency exceeding 9%

[J].Scientific Reports,20122591-598doi:10.1038/srep00591

[本文引用: 1]

Li YXie HLim E Let al

Recent progress of ctical interface engineering for highly efficient and stable perovskite solar cells

[J].Advanced Energy Materials,202212(5):1-31doi:10.1002/aenm.202102730

[本文引用: 1]

Jiang QZhang XYou J

SnO2 :a wonderful electron transport layer for perovskite solar cells

[J].Small,20181801154doi:10.1002/smll.201801154

[本文引用: 1]

Park S YZhu K

Advances in SnO2 for efficient and stable n‐i‐p perovskite solar cells

[J].Advanced Materials,20222110438doi:10.1002/adma.202110438

Song JZheng EWang X Fet al

Low-temperature-processed ZnO-SnO2 nanocomposite for efficient planar perovskite solar cells

[J].Solar Energy Materials and Solar Cells,2016144623-630doi:10.1016/j.solmat.2015.09.054

Anaraki E HKermanpur ASteier Let al

Highly efficient and stable planar perovskite solar cells by solution-processed tin oxide

[J].Energy and Environmental Science,20169(10):3128-3134doi:10.1039/c6ee02390h

Yoo J JSeo GChua M Ret al

Efficient perovskite solar cells via improved carrier management

[J].Nature,2021590(7847):587-593doi:10.1038/s41586-021-03285-w

Min HLee D YKim Jet al

Perovskite solar cells with atomically coherent interlayers on SnO2 electrodes

[J].Nature,2021598(7881):444-450doi:10.1038/s41586-021-03964-8

Jiang QZhao YZhang Xet al

Surface passivation of perovskite film for efficient solar cells

[J].Nature Photonics,201913(7):460-466doi:10.1038/s41566-019-0398-2

Jiang QZhang LWang Het al

Enhanced electron extraction using SnO2 for high-efficiency planar-structure HC(NH2)2 PbI3-based perovskite solar cells

[J].Nature Energy,20172(1):16177doi:10.1038/nenergy.2017.60

[本文引用: 2]

Jiang QChu ZWang Pet al

Planar-structure perovskite solar cells with efficiency beyond 21%

[J].Advanced Materials,201717038521-7doi:10.1002/adma.201703852

[本文引用: 1]

Liu DZheng HAhmed Yet al

Enhanced photovoltaic performance of SnO2 based flexible perovskite solar cells via introducing interfacial dipolar layer and defect passivation

[J].Journal of Power Sources,2022519230814doi:10.1016/j.jpowsour.2021.230814

[本文引用: 2]

Xiong ZChen XZhang Bet al

Simultaneous interfacial modification and crystallization control by biguanide hydrochloride for stable perovskite solar cells with PCE of 24.4%

[J].Advanced Materials,202234(8):1-10doi:10.1002/adma.202106118

[本文引用: 1]

Yu XLv YXue Bet al

Multiple bonding effects of 1-methanesulfonyl-piperazine on the two-step processed perovskite towards efficient and stable solar cells

[J].Nano Energy,202293106856doi:10.1016/j.nanoen.2021.106856

[本文引用: 1]

LU HKRISHNA AZAKEERUDDIN S Met al

Compositional and interface engineering of organic-inorganic lead halide perovskite solar Cells

[J].iScience,202023(8):1-14doi:10.1016/j.isci.2020.101359

ZHANG FZHU K

Additive engineering for efficient and stable perovskite solar cells

[J].Advanced Energy Materials,202010(13):1-26doi:10.1002/aenm.201902579

[本文引用: 2]

LI TRUI YZHANG Xet al

Anatase TiO2 nanorod arrays as high-performance electron transport layers for perovskite solar cells

[J].Journal of Alloys and Compounds, 2020849156629doi:10.1016/j.jallcom.2020.156629

[本文引用: 1]

ZHANG MWILKINSON BLIAO Yet al

Electrode design to overcome substrate transparency limitations for highly efficient 1 cm2 mesoscopic perovskite solar cells

[J].Joule,20182(12):2694-2705doi:10.1016/j.joule.2018.08.012

[本文引用: 1]

CHEN YMENG QXIAO Yet al

Mechanism of PbI2 in situ passivated perovskite films for enhancing the performance of perovskite solar cells

[J].ACS Applied Materials and Interfaces,201911(47):44101-44108doi:10.1021/acsami.9b13648

[本文引用: 1]

HU LSHAO GJIANG Tet al

Investigation of the interaction between perovskite films with moisture via in situ electrical resistance measurement

[J].ACS Applied Materials and Interfaces,20157(45):25113-25120doi:10.1021/acsami.5b06268

[本文引用: 1]

/