基于SnO2电子传输层的n-i-p型钙钛矿太阳能电池关键技术研究 |
| 岳晓鹏, 赵兴, 闫慧琳, 樊冰冰, 黄浩, 闫路遥, 崔鹏, 马峻峰, 李美成 |
|
Research of Key Technologies for n-i-p Perovskite Solar Cells With SnO2 Electron Transport Layer |
| Xiaopeng YUE, Xing ZHAO, Huilin YAN, Bingbing FAN, Hao HUANG, Luyao YAN, Peng CUI, Junfeng MA, Meicheng LI |
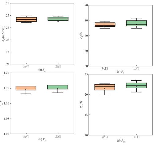
| 图21 15个优化工艺后太阳电池正、反扫性能参数箱式图对比 |
| Fig. 21 Box diagram comparison of performance parameters of 15 PSCs scanned at forward and backward direction using optimized processes |
|