发电技术, 2022, 43(4): 618-625 DOI: 10.12096/j.2096-4528.pgt.21023

智能电网

风电经柔直孤岛送出交流暂态过电压抑制策略研究

余潇, 卜广全, 王姗姗

中国电力科学研究院有限公司,北京市 海淀区 100192

Research on Transient AC Overvoltage Suppression Strategy of Islanded Wind Power Transmission via VSC-HVDC

YU Xiao, BU Guangquan, WANG Shanshan

China Electric Power Research Institute, Haidian District, Beijing 100192, China

收稿日期: 2021-06-02  

基金资助: 国家电网公司科技项目.  XTB17201900270

Received: 2021-06-02  

作者简介 About authors

余潇(1997),男,硕士研究生,研究方向为柔性直流输电技术,442041207@qq.com

卜广全(1962),男,硕士,教授级高工,研究方向为电力系统仿真分析和运行控制;

王姗姗(1981),女,博士,高级工程师,研究方向为柔性直流输电技术,电力系统分析与稳定控制,本文通信作者,sswang@epri.sgcc.com.cn

摘要

柔性直流输电(voltage source converter based high voltage direct current,VSC-HVDC)技术以其无换相失败等优势,在孤岛新能源送出等领域具有广阔的应用前景。当风电经柔直孤岛送出系统送端交流电网发生交流故障时,在故障清除后出现交流暂态过电压,危害风机及柔直设备安全。以双馈风机(doubly fed induction generator,DFIG)为例,针对基于模块化多电平换流器(modular multilevel converter,MMC)的柔直电网,开展了从柔直侧控制实现交流暂态过电压抑制的策略研究。分析了柔直控制系统与DFIG数学模型,提出暂态过电压是由风机无功与柔直无功引起的,在此基础上,结合柔直控制系统模型,提出了暂态过电压辅助抑制策略,根据交流电压恢复,减少柔直无功输出。最后,在PSCAD平台上利用张北柔直工程模型进行仿真,验证了所提策略的有效性。

关键词: 新能源 ; 碳达峰 ; 碳中和 ; 柔性直流输电(VSC-HVDC) ; 孤岛送出 ; 暂态过电压 ; 抑制策略

Abstract

Voltage source converter based high voltage direct current (VSC-HVDC) has a broad application prospect in the field of islanded renewable energy transmission, due to its advantages such as no commutation failure. When AC fault occurs in the AC power grid at the sending end of the islanded wind power transmission via VSC-HVDC, AC transient overvoltage occurs after fault clearance, endangering the safety of wind turbine and VSC-HVDC equipment. Taking the doubly fed induction generator (DFIG) as an example, this paper focused on the VSC-HVDC based on modular multilevel converter (MMC), and carried out a research on the strategy of suppressing AC transient overvoltage for MMC. Firstly, this paper analyzed the mathematical model of MMC and DFIG, and pointed out that the transient overvoltage was caused by the reactive power provided by MMC and DFIG. On this basis, combined with MMC control system model, a transient overvoltage auxiliary suppression strategy was proposed to reduce the reactive power output according to the AC voltage recovery. Finally, the effectiveness of the proposed strategy was verified by simulations on PSCAD using the Zhangbei MMC-HVDC project model.

Keywords: renewable energy ; carbon peak ; carbon neutrality ; voltage source converter based high voltage direct current (VSC-HVDC) ; islanded transmission ; transient overvoltage ; suppression strategy

PDF (3608KB) 元数据 多维度评价 相关文章 导出 EndNote| Ris| Bibtex  收藏本文

本文引用格式

余潇, 卜广全, 王姗姗. 风电经柔直孤岛送出交流暂态过电压抑制策略研究. 发电技术[J], 2022, 43(4): 618-625 DOI:10.12096/j.2096-4528.pgt.21023

YU Xiao, BU Guangquan, WANG Shanshan. Research on Transient AC Overvoltage Suppression Strategy of Islanded Wind Power Transmission via VSC-HVDC. Power Generation Technology[J], 2022, 43(4): 618-625 DOI:10.12096/j.2096-4528.pgt.21023

0 引言

为了实现“碳达峰、碳中和”的发展目标,大力发展新能源发电是电力发展的重要方向[1-2]。柔性直流输电(voltage source converter based high voltage direct current,VSC-HVDC)技术以其无换相失败、可向孤岛电网供电、可向系统提供无功支撑等优势,在海上风电送出、孤岛新能源送出等领域具有广阔的应用前景[3-10]。我国建成的基于模块化多电平换流器(modular multilevel converter,MMC)的张北柔直工程是世界上第一个真正具有电网特性的柔直工程,取得了一系列重要成就。张北柔直工程是典型的新能源经MMC孤岛送出系统,接入孤岛电网的柔直换流站作为平衡站,为新能源提供稳定的并网电压[11]

当孤岛新能源交流电网发生故障时,以风力发电为代表的新能源机组进入低压穿越状态,在故障清除后,由于网内无功功率盈余造成交流暂态过电压,危害风机及柔直设备安全。针对于此,有学者开展了相应研究。目前,对于风机暂态过电压抑制的研究,主要集中于风机侧的控制策略及故障穿越控制优化等方面[12-13]。贾俊川等[14]提出暂态过电压是由风机低穿产生的无功功率与换流站盈余无功共同叠加引起的,可以通过减少风机无功功率的输出实现暂态过电压抑制,但其针对的场景是风电经特高压直流输电送出。目前,对风电经MMC送出交流故障穿越的研究仍处于初级阶段,且针对受端交流故障导致直流过电压的研究较多。张钦智[15]针对风电经柔直送出系统,提出了利用静止同步补偿器(static synchronous compensator,STATCOM)故障后的主动支撑策略,实现对风机低压穿越的支撑,但并未对暂态过电压开展研究。王霄鹤等[16]针对海上风电经MMC送出系统,将负序电压作为反馈量实现对过电压的抑制;牛乐乐[17]引入降压控制外环,将交流电压偏差引入交流电压参考值中实现对过电压的抑制。这2种方法控制效果较好,可以实现对暂态过电压的抑制,但是控制环节较复杂,且依赖于新增的故障清除信号的传输,存在一定的不可靠性。因此,有必要对送端交流系统故障后从MMC侧抑制交流暂态过电压的控制策略开展研究。

本文以风电经MMC孤岛送出系统为研究对象,结合MMC控制系统与风力发电数学模型,分析了送端交流系统故障后暂态过电压产生的原因,并指出故障恢复期间柔直提供的无功功率会加剧暂态过电压的威胁。在此基础上,提出了一种感测交流系统电压的暂态过电压柔直辅助抑制策略,该策略无需新增测量值与传递信号,控制实现过程简单便捷。最后,在PSCAD平台上利用张北柔直电磁仿真模型对所提策略的有效性进行验证。

1 风电经柔直送出系统交流故障穿越基本原理

1.1 风电经柔直送出系统基本结构

图1为风电经柔直送出系统基本拓扑结构,送端为孤岛风力发电电网,受端为有源交流电网,风力发电汇集后通过交流线路接入柔直换流站,最终实现由孤岛向交流电网送电。为了便于分析,本文以双馈风机(doubly fed induction generator,DFIG)风电场作为典型的风力发电场进行分析。

图1

图1   风电经柔直送出系统基本拓扑结构

Fig. 1   Basic topological structure of wind power transmission system via MMC


1.2 MMC控制系统模型

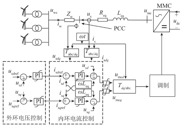
风电通过MMC孤岛送出时,接入孤岛的MMC采用双闭环VF控制[18],控制系统电路如图2所示。

图2

图2   MMC双闭环VF控制框图

Fig. 2   Diagram of double loop VF control for MMC


图2中:uws为风电并网点电压;iw为风电线路电流;Zw为风电并网点至公共连接点(point of common coupling,PCC)点线路阻抗;udc为直流电压;umc为MMC输出电压;us为PCC点电压;is为MMC输入电流;ω为系统频率;Leq为MMC等值电抗;Req为等值电阻;Tabc/dqTdq/abc为坐标系变换;下标dq表示在dq坐标系下的分量,下标ref表示相应变量参考值。在dq坐标系下,换流器外环功率控制器的数学模型表示如下:

isdref=Kpo(usd-usdref)+Kio(usd-usdref)dtisqref=Kpo(usq-usqref)+Kio(usq-usqref)dt

式中KpoKio分别为外环功率控制器的比例系数和积分系数。

内环电流控制器的数学模型表示如下:

udPI=Kpin(isdref-isd)+Kiin(isdref-isd)dtuqPI=Kpin(isqref-isq)+Kiin(isqref-isq)dt
umcd=usd-udPI+isqωLequmcq=usq-uqPI-isdωLeq

式中:KpinKiin分别为内环电流控制器的比例系数和积分系数;udPIuqPI分别为内环电流控制器的dq轴中间输出值。

MMC注入交流系统的有功功率P和无功功率Q满足以下关系[19]

P=UsUacsinδ/XacQ=(Us2-UsUaccosδ)/Xac

式中:UsUac分别为MMC交流出口与交流系统等效电压有效值;δ为电压相位差;Xac为线路阻抗。

当交流系统发生故障后,交流系统电压降低,根据式(4)可知,柔直具有向交流系统故障点注入无功的趋势,支撑系统电压。根据式(1),电流参考值的绝对值会增加至电流限幅值,柔直提供短路电流快速上升,注入到交流系统中。

1.3 风电场故障穿越基本原理与暂态过电压产生机理

根据GB/T 19963—2011《风电场接入电力系统技术规定》第9条,风电场并网点电压跌至20%标称电压时,风电场内的风电机组应保证不脱网连续运行625 ms,且电压跌落2 s内能恢复到标称电压的90%时,风电场内的风电机组应保证不脱网连续运行,如图3所示。标准还规定了风电场低压穿越过程中应具备动态无功支撑能力,当风电场并网点电压处于标称电压的20%~90%时,风电场应能够注入无功电流以支撑电压恢复,风电场注入系统的动态无功电流IT应满足关系:

IT1.5×(0.9-UT)IN

式中:UT为风电场并网点电压标幺值;IN为风电场额定电流。

图3

图3   风电场低压穿越要求

Fig. 3   Low voltage ride through requirements of wind farm


图4为DFIG并网拓扑结构。正常运行时,转子侧变流器和网侧变流器分别实现风功率跟踪与直流电压维持,在采用发电机惯例的风机同步dq坐标系中,定子侧输出功率与风电机组输出功率分别表示如下:

Pst=LmLstUwsirqQst=LmLstUwsird-1ωstLstUws2
Pr=LmLstUws(1-s)irqQr=LmLstUwsird-1ωstLstUws2

式中:PstQst分别为定子侧输出有功功率与无功功率;PrQr分别为风电机组输出有功功率与无功功率;Lm为励磁电感;Lst为定子电感;ωst为定子频率;Uws为机端电压;irdirq 分别为转子电流的dq轴分量;s为发电机转差[20]

图4

图4   DFIG并网拓扑结构图

Fig. 4   Topological structure of DFIG connected to AC grid


当交流电网发生故障电压跌落时,crowbar保护电路投入,避免由于转子脉冲电流涌入变流器而导致设备损坏。当转子电流降低至允许范围内后,保护电路切除,在此期间,风电系统进入低压穿越状态,采取无功功率优先的控制模式[21],在电流允许范围内尽可能地向交流系统输出无功电流,用以支撑并网点电压,避免风机脱网。在故障清除后,风电系统回到有功功率优先的控制模式,逐渐恢复有功功率输出,降低无功功率输出。

在低压穿越过程中,风机工作在无功功率优先模式时,向系统输出了大量的无功功率,以支撑交流系统电压。同时,为了协助交流系统电压的稳定,根据式(1)—(4),交流故障后,由于系统电压跌落,MMC在故障后向系统输出无功,以支撑风机机端电压,实现故障穿越。柔直提供的无功功率与风机提供的无功功率相互叠加,共同构成系统内的盈余无功功率,在低压穿越时支撑风机机端电压。当故障切除后,由于系统内存在大量的盈余无功功率,将引起风机机端电压与MMC交流PCC点电压快速上升,导致在风机侧和柔直侧均面临暂态过电压的风险,严重时引起风机脱网和柔直设备损坏,MMC输出无功加重了暂态过电压的威胁。

2 暂态过电压柔直辅助抑制策略设计

根据以上分析,当风机低压穿越之后,在故障恢复期间,系统暂态过电压的产生主要是由风机本身的盈余无功与柔直发出的无功引起的,为了实现对暂态过电压进行抑制,可以对这2部分无功分别进行抑制。本文针对柔直的无功控制策略开展研究,以抑制故障恢复期间柔直提供的无功。

根据式(1)—(3),在故障恢复过程中,系统电压在上升到交流电压参考值之前,柔直向外注入无功,电压参考值越大,则注入的无功功率越多,暂态过电压也就越大。据此,可以通过降低故障恢复过程中的柔直交流电压参考值实现减少柔直无功输出,降低暂态过电压。

本文提出控制策略如下:设定交流电压Us的上、下限分别为UshUsl,当电压恢复至UsUsl时,切换柔直交流电压参考值为usrefl;当电压恢复至UsUsh时,恢复柔直交流电压参考值为故障前的usrefo图5为暂态过电压辅助控制策略框图。

图5

图5   暂态过电压辅助控制策略

Fig. 5   Auxiliary control strategy of transient overvoltage


需要注意的是,协调控制策略中的3个主要变量均会对控制效果带来影响。策略期间的电压参考值usrefl越低,电压上升速度减缓越多,能达到的电压峰值越低;进入策略的电压下限Usl越高,协调控制策略生效时间越晚,电压最终到达的峰值越高;退出策略的电压上限Ush越高,协调控制策略退出时间越晚,生效时间越长,电压峰值越低。当电压参考值usrefl过低,且电压上限Ush偏高时,可能导致系统电压无法超过电压上限而退出控制策略,甚至回落越过电压下限,导致系统电压无法正常恢复,因此,需要设置一个策略最大生效时间Tmax,避免由于长时间减小电压参考值而引起系统电压恢复受阻。此外,为了避免正常运行状态时电压波动导致策略启动,需要监控电压变化速率,以区分稳态电压波动和故障后的电压波动。根据实际运行时的典型电压范围与保护动作时间,典型的控制值可以设定为:电压下限Usl为0.1 pu,电压上限Ush为1.0 pu,策略生效期间的电压参考值usrefl为0.5 pu,正常运行状态下的电压参考值usrefo为1.0 pu,最大生效时间Tmax为0.1 s。以上各参数在设计过程中需要与风电场相互配合,形成具体的协调控制策略,在工程上具有足够的可行性与实用性。

3 仿真验证

为了验证所提策略的有效性,在PSCAD电磁仿真平台上搭建张北柔直工程仿真模型,拓扑结构如图6所示。新能源以双馈风机代替,采用聚合模型,受端交流系统采用无穷大电源等效,各站MMC主电路参数如表1所示。张北站(STA4)与康保站(STA3)作为送端,接入孤岛新能源场站,采取VF控制方式;丰宁站(STA2)作为调节端,采取定直流电压控制方式;北京站(STA1)作为受端,采取定有功功率控制方式。

图6

图6   张北柔直工程拓扑结构

Fig. 6   Topological structure of Zhangbei VSC-HVDC


表1   MMC主电路参数

Tab. 1  Main circuit parameters of MMC

场站额定容量/MW交流侧额定电压/kV桥臂电感/mH子模块 电容/mF子模块电平数
STA12×1 500525507.0100
STA22×7505251003.8100
STA32×7502301003.8100
STA42×1 500230507.0100

新窗口打开| 下载CSV


在张北站交流侧设置三相短路故障,2 s时发生故障,故障发生后PCC点电压跌落,新能源进入低压穿越状态,设置故障持续时间为0.05 s,故障清除后,电压逐渐恢复。采取的暂态抑制策略设置为:电压下限Usl为0.2 pu,电压上限Ush为1.02 pu,策略生效期间的电压参考值usrefl为0.5 pu,正常运行状态下的电压参考值usrefo为1.0 pu,最大生效时间Tmax为0.1 s。图7为采取策略前后的柔直交流侧电压,可以看出,在采用本文提出的暂态过电压抑制策略后,张北站PCC点暂态过电压得到了有效的抑制,且变化较为平滑,证明了所提策略的有效性。

图7

图7   张北站交流侧电压

Fig. 7   AC voltage of Zhangbei station


故障期间张北站输出的无功功率如图8所示,其中,负无功功率表示从MMC向交流系统注入。可以看出,交流系统发生故障后,在故障穿越期间MMC向系统注入无功,故障清除后,在电压上升期间,由于PCC点电压升高,MMC输出的无功功率增大,在采取暂态过电压抑制策略后,MMC输出无功显著降低,减轻了系统中盈余无功的压力,起到了辅助抑制暂态过电压的作用。当故障类型为两相接地短路故障时,张北站交流侧电压如图9所示,可以看出此时控制策略仍有效。

图8

图8   张北站输出无功功率

Fig. 8   Reactive power output of Zhangbei station


图9

图9   两相接地短路时张北站交流侧电压

Fig. 9   AC voltage of Zhangbei station in two-phase grounding short circuit


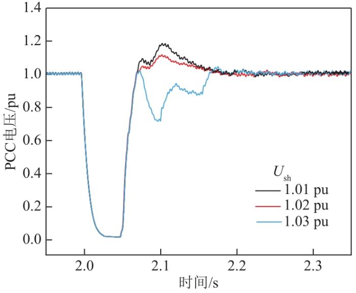
进一步地,针对控制策略中参数变化对控制效果产生的影响进行了仿真分析。其他参数不变,改变策略退出电压上限Ush,仿真结果如图10所示,可以看出,电压上限Ush越高,策略生效时间越长,PCC点电压能达到的峰值越小,当Ush=1.03 pu时,由于PCC点电压在策略生效期间无法超过电压上限,不能自行退出策略,直到最大生效时间0.1 s后才退出抑制策略,导致PCC点电压的再次下降,与预期分析一致。

图10

图10   策略退出电压上限Ush与PCC电压变化关系

Fig. 10   Variation relationship between upper limit of exit strategy voltage Ush and PCC voltage


保持其他参数不变,改变策略生效的电压下限Usl,仿真结果如图11所示,可以看出,电压下限Usl越大,进入抑制策略的时间越晚,PCC点电压能达到的峰值越大,策略的暂态过电压抑制效果越差,与预期分析一致。

图11

图11   策略生效电压下限Usl与PCC电压变化关系

Fig. 11   Variation relationship between lower limit of effective strategy voltage Usl and PCC voltage


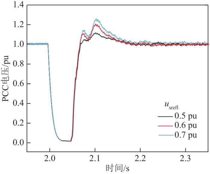
保持其他参数不变,改变策略生效期间的电压参考值usrefl,仿真结果如图12所示,可以看出,电压参考值usrefl越大,电压上升的速度越快,PCC点电压能达到的峰值越大,策略的暂态过电压抑制效果越差,与预期分析一致。

图12

图12   策略生效电压参考值usrefl与PCC电压变化关系

Fig. 12   Variation relationship between effective strategy voltage reference usrefl and PCC voltage


4 结论

针对风电经柔直孤岛送出系统面临的送端低压穿越后系统暂态过电压问题开展研究,以DFIG为例,结合风电场低压穿越基本原理与送端柔直VF控制模型,分析低压穿越后系统内无功功率分布情况,得到了以下主要结论:

1)暂态过电压是由风电场在低压穿越模式下发出的无功功率与MMC因系统电压降低输出的无功功率相互叠加造成的,风电场与MMC相互影响。

2)故障后电压上升过程中降低MMC交流电压参考值,可以减少电压恢复过程中MMC输出无功功率,使系统暂态过电压降低。

3)提出了通过感知故障后电压上升来降低MMC交流电压参考值的暂态过电压辅助抑制策略,并在PSCAD仿真平台上利用张北柔直工程电磁暂态模型进行仿真计算,结果表明,提出的柔直无功协调控制策略可以很好地辅助解决送端暂态过电压问题,有利于工程运行。该策略控制过程简单,不需要额外的信号输入,可靠性强,易于实现,具有较好的工程应用前景。

参考文献

申洪周勤勇刘耀

碳中和背景下全球能源互联网构建的关键技术及展望

[J].发电技术,202142(1):8-19. doi:10.12096/j.2096-4528.pgt.20113

[本文引用: 1]

SHEN HZHOU Q YLIU Yet al

Key technologies and prospects for the construction of global energy internet under the background of carbon neutral

[J].Power Generation Technology,202142(1):8-19doi:10.12096/j.2096-4528.pgt.20113

[本文引用: 1]

文劲宇周博魏利屾

中国未来电力系统储电网初探

[J].电力系统保护与控制,202250(7):1-10

[本文引用: 1]

WEN J YZHOU BWEI L S

Preliminary study on an energy storage grid for future power system in China

[J].Power System Protection and Control,202250(7):1-10

[本文引用: 1]

汤广福庞辉贺之渊

先进交直流输电技术在中国的发展与应用

[J].中国电机工程学报,201636(7):1760-1771

[本文引用: 1]

TANG G FPANG HHE Z Y

R&D and application of advanced power transmission technology in China

[J].Proceedings of the CSEE,201636(7):1760-1771

[本文引用: 1]

汤广福贺之渊滕乐天

电压源换流器高压直流输电技术最新研究进展

[J].电网技术,200832(22):39-44

TANG G FHE Z YTENG L Tet al

New progress on HVDC technology based on voltage source converter

[J].Power System Technology,200832(22):39-44

MARTINEZ-RODRIGO FDE PABLO SHERRERO-DE LUCAS L C

Current control of a modular multilevel converter for HVDC applications

[J].Renewable Energy,201583318-331doi:10.1016/j.renene.2015.04.037

ZHANG Y ZRAVISHANKAR JFLETCHER J

Review of modular multilevel converter based multi-terminal HVDC systems for offshore wind power transmission

[J].Renewable and Sustainable Energy Reviews,201661572-586doi:10.1016/j.rser.2016.01.108

朱金涛辛业春

柔性高压直流输电仿真技术研究方法综述

[J].智慧电力,202149(3):1-11doi:10.3969/j.issn.1673-7598.2021.03.002

ZHU J TXIN Y C

Review of research on simulation methods of VSC-HVDC transmission system

[J].Smart Power,202149(3):1-11doi:10.3969/j.issn.1673-7598.2021.03.002

杨张斌阮琳雷肖

海上风电柔性直流换流阀端间绝缘试验异常分析及改进方法

[J].电力建设,202142(12):68-74

YANG Z BRUAN LLEI Xet al

Abnormality analysis and improved method of the field partial discharge for terminal insulation experiment of the MMC valve for offshore wind power transmission

[J].Electric Power Construction,202142(12):68-74

雷朝煜郝良收戴甲水

高压直流输电线路故障定位研究综述

[J].电力系统保护与控制,202250(11):178-187

LEI Z YHAO L SDAI J Set al

A review of fault location methods in HVDC transmission lines

[J].Power System Protection and Control,202250(11):178-187

焦石严治勇张健成

柔性直流输电功率模块的现场智能化检测

[J].电网与清洁能源,202137(9):59-69doi:10.3969/j.issn.1674-3814.2021.09.008

[本文引用: 1]

JIAO SYAN Z YZHANG J Cet al

Field intelligent test of flexible HVDC power module

[J].Power System and Clean Energy,202137(9):59-69doi:10.3969/j.issn.1674-3814.2021.09.008

[本文引用: 1]

徐政柔性直流输电系统[M].北京机械工业出版社20167-8

[本文引用: 1]

XU ZVSC based HVDC system[M].BeijingChina Machine Press20167-8

[本文引用: 1]

卢兆楠

基于转子过流过压协同抑制的双馈风机低电压穿越控制策略研究

[D].济南山东大学2019

[本文引用: 1]

LU Z N

Study on low voltage ride through based on rotor circuit overcurrent and overvoltage synergy suppression for doubly fed induction generator

[D].JinanShandong University2019

[本文引用: 1]

FELTES CWREDE HKOCH F Wet al

Enhanced fault ride-through method for wind farms connected to the grid through VSC-based HVDC transmission

[J].IEEE Transactions on Power Systems,200924(3):1537-1546doi:10.1109/tpwrs.2009.2023264

[本文引用: 1]

贾俊川金一丁赵兵

风机低电压穿越控制对系统暂态过电压的影响及优化

[J].电网技术,202145(2):526-533

[本文引用: 1]

JIA J CJIN Y DZHAO Bet al

Impact analysis and performance optimization of LVRT control of wind turbine on transient overvoltage of power system

[J].Power System Technology,202145(2):526-533

[本文引用: 1]

张钦智

风电经柔直送出系统的主动支撑与故障穿越技术研究

[D].淄博山东理工大学2020

[本文引用: 1]

ZHANG Q Z

Research on active support and fault ride-through of wind farm via flexible direct current transmission system

[D].ZiboShandong University of Technology2020

[本文引用: 1]

王霄鹤杨林刚林斌

海上风电柔直系统送端电网故障过电压机理分析及抑制策略

[J].高电压技术,202147(8):2688-2699doi:10.1109/acpee51499.2021.9436867

[本文引用: 1]

WANG X HYANG L GLIN Bet al

Mechanism and restraining strategy of the sending end grid overvoltage in offshore wind farm-flexible HVDC transmission system under grid faults

[J].High Voltage Engineering,202147(8):2688-2699doi:10.1109/acpee51499.2021.9436867

[本文引用: 1]

牛乐乐

大规模风电经柔直并网的送端交流故障穿越技术

[D].北京华北电力大学2019

[本文引用: 1]

NIU L L

AC fault ride-through strategy for large-scale wind power based on flexible DC transmission

[D].BeijingNorth China Electric Power University2019

[本文引用: 1]

梅念苑宾李探

接入孤岛新能源电场的双极柔直换流站控制策略

[J].电网技术,201842(11):3575-3582

[本文引用: 1]

MEI NYUAN BLI Tet al

Study on control strategy of bipolar VSC station connected to islanded renewable power plant

[J].Power System Technology,201842(11):3575-3582

[本文引用: 1]

李英彪李轶群秦善萌

柔性直流输电换流站输出短路电流水平机理分析

[J].全球能源互联网,20192(6):581-588

[本文引用: 1]

LI Y BLI Y QQIN S Met al

Study on the effect of VSC-HVDC on converter output short circuit current level

[J].Journal of Global Energy Interconnection,20192(6):581-588

[本文引用: 1]

贾俊川

双馈风力发电系统中双变流器优化联合控制

[D].北京华北电力大学2011

[本文引用: 1]

JIA J C

Optimal combination control of dual converters in doubly-fed wind power generation system

[D].BeijingNorth China Electric Power University2011

[本文引用: 1]

张琦

双馈风电场低压穿越控制策略研究

[D].哈尔滨哈尔滨理工大学2020doi:10.3390/en14082287

[本文引用: 1]

ZHANG Q

Research on low-voltage ride through control strategy of doubly fed wind farm

[D].HarbinHarbin University of Science and Technology2020doi:10.3390/en14082287

[本文引用: 1]

/