风电经柔直孤岛送出交流暂态过电压抑制策略研究 |
| 余潇, 卜广全, 王姗姗 |
|
Research on Transient AC Overvoltage Suppression Strategy of Islanded Wind Power Transmission via VSC-HVDC |
| Xiao YU, Guangquan BU, Shanshan WANG |
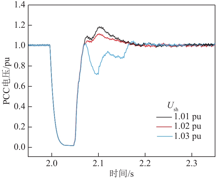
| 图10 策略退出电压上限Ush与PCC电压变化关系 |
| Fig. 10 Variation relationship between upper limit of exit strategy voltage Ush and PCC voltage |
|