风电经柔直孤岛送出交流暂态过电压抑制策略研究 |
| 余潇, 卜广全, 王姗姗 |
|
Research on Transient AC Overvoltage Suppression Strategy of Islanded Wind Power Transmission via VSC-HVDC |
| Xiao YU, Guangquan BU, Shanshan WANG |
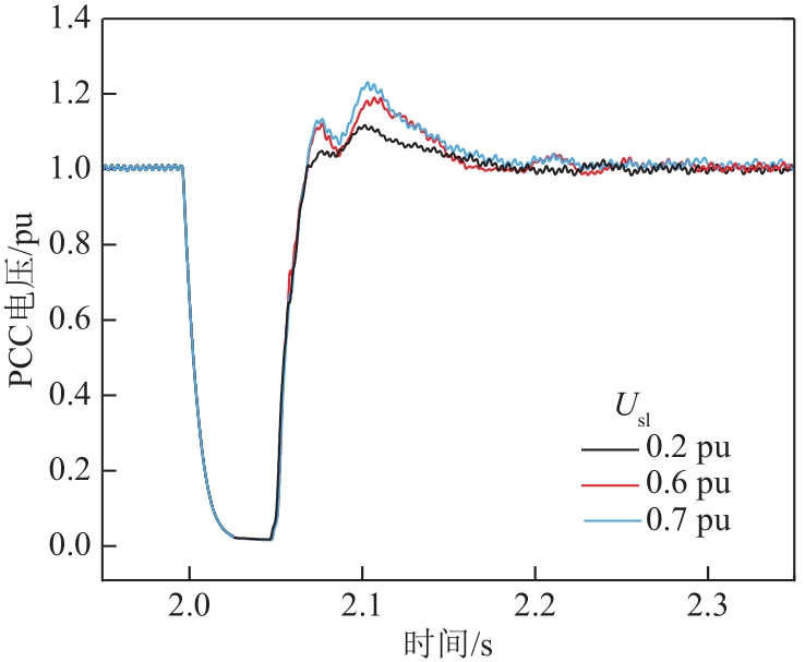
| 图11 策略生效电压下限Usl与PCC电压变化关系 |
| Fig. 11 Variation relationship between lower limit of effective strategy voltage Usl and PCC voltage |
|