发电技术, 2025, 46(1): 180-189 DOI: 10.12096/j.2096-4528.pgt.23095

发电及环境保护

滇池底泥混燃特性及燃烧动力学分析

郑欣昱1,2, 陈嘉霖3, 张飞3, 王随林1, 刘磊4, 苑鹏4, 武琪4, 黄中2

1.北京建筑大学环境与能源工程学院,北京市 大兴区 100044

2.热科学与动力工程教育部重点实验室(清华大学能源与动力工程系),北京市 海淀区 100084

3.云南省能源投资集团有限公司,云南省 昆明市 650000

4.云南能投红河发电有限公司,云南省 开远市 661600

Co-combustion Characteristics and Kinetic Analysis of Sediment From Dianchi Lake

ZHENG Xinyu1,2, CHEN Jialin3, ZHANG Fei3, WANG Suilin1, LIU Lei4, YUAN Peng4, WU Qi4, HUANG Zhong2

1.School of Environmental and Energy Engineering, Beijing University of Civil Engineering and Architecture, Daxing District, Beijing 100044, China

2.Key Laboratory of Thermal Science and Power Engineering of Ministry of Education (Department of Energy and Power Engineering, Tsinghua University), Haidian District, Beijing 100084, China

3.Yunnan Energy Investment Group Co. , Ltd. , Kunming 650000, Yunnan Province, China

4.Yunnan Energy Investment Honghe Power Generation Co. , Ltd. , Kaiyuan 661600, Yunnan Province, China

收稿日期: 2024-01-23   修回日期: 2024-03-31  

基金资助: 云南省重点研发计划项目.  202403AA080020
中央高校基本科研业务费专项资金资助.  2022ZFJH004

Received: 2024-01-23   Revised: 2024-03-31  

作者简介 About authors

郑欣昱(1998),女,硕士研究生,研究方向为高水分固体废弃物的掺烧利用,zhengxinyu0921@sina.com

黄中(1983),男,博士,研究员,主要研究方向为循环流化床锅炉技术开发与工程应用,本文通信作者,huangzhong@tsinghua.edu.cn

摘要

目的 城市河道及湖泊多是污水的承载体,沉积有大量含氮高、重金属元素富集的底泥,采用燃烧处置具有清洁高效、经济环保等特点,研究其燃烧动力学特性对于处置利用有重要意义。 方法 采用热重分析法,先对比分析滇池底泥的单燃特性,为了给实际工程应用提供参考,将底泥与煤按照底泥10%、20%、30%的比例混燃,并通过Kissinger-Akahira-Sunose(KAS)、Flynn-Wall-Ozawa(FWO)和Coats-Redferm(Coats)法,选取11种常用动力学机理函数和固态反应机制函数,拟合各反应阶段活化能和机理函数。 结果 底泥燃烧分为4个阶段,相比于污泥煤泥,其着火温度较低,更易于燃烧,但燃尽温度较高,综合燃烧特性存在差距。底泥在不同升温速率下燃烧时,升温速率越低越利于燃烧;底泥与煤混燃存在协同效应,其相互作用对于燃尽特性有着积极影响,且随掺混比例的增加,着火性能得到了改善,但当掺混比例达到30%时,可燃特性指数明显减小,说明掺烧比例过大时,不利于改善燃料的燃烧性能。最终拟合结果显示,燃烧过程第二、三阶段反应机理一致,第四阶段不同。 结论 底泥可以作为一种燃料进行使用,底泥与煤混燃可以改善煤的着火性能,有利于煤的稳定燃烧,但比例不得超过30%,研究结果可为实际工程应用提供参考。

关键词: 湖泊底泥 ; 热重实验 ; 底泥燃烧 ; 燃烧性质 ; 动力学分析 ; 表观活化能 ; 反应机理函数 ; 掺混比例

Abstract

Objectives Urban rivers and lakes often serve as carriers of sewage, with a large amount of sediment enriched with nitrogen and heavy metal elements. The combustion disposal method is clean, efficient, economical, and environmentally friendly. Studying the combustion kinetics of the sediment is crucial for its disposal and utilization. Methods The thermogravimetric analysis method is employed to compare and analyze the single combustion characteristics of the sediment in Dianchi Lake. In order to provide a reference for practical engineering applications, the sediment is co-combusted with coal at mixing ratios of 10%, 20%, and 30%. Using KAS, FWO, and Coats methods, 11 commonly used kinetic mechanism functions and solid-state reaction mechanism functions are selected to fit the activation energy and mechanism functions of each reaction stage. Results The combustion of sediment is divided into four stages. Compared with sludge and coal slurry, it has a lower ignition temperature, making it easier to burn, but a higher burnout temperature, indicating differences in the overall combustion characteristics. When sediment is burned at different heating rates, lower heating rates are more conducive to combustion. Co-combusting sediment with coal shows a synergistic effect, and their interaction has a positive impact on the combustion characteristics. As the mixing ratio increases, the ignition performance improves. However, when the mixing ratio reaches 30%, the combustibility index significantly decreases, indicating that excessive mixing ratio is detrimental to improving the combustion performance of the fuel. The final fitting shows that the reaction mechanisms in the second and third stages of the combustion process are consistent, while the fourth stage is different. Conclusions Sediment can be used as a fuel, burning of sediment and coal can improve the ignition performance of coal and conducive to the stable combustion of coal, but the mixing ratio should not exceed 30%. The research results provide a reference for practical engineering applications.

Keywords: sediment ; thermogravimetric experiment ; combustion of sediment ; combustion properties ; kinetic analysis ; apparent activation energy ; reaction mechanism function ; mixing ratio

PDF (4459KB) 元数据 多维度评价 相关文章 导出 EndNote| Ris| Bibtex  收藏本文

本文引用格式

郑欣昱, 陈嘉霖, 张飞, 王随林, 刘磊, 苑鹏, 武琪, 黄中. 滇池底泥混燃特性及燃烧动力学分析. 发电技术[J], 2025, 46(1): 180-189 DOI:10.12096/j.2096-4528.pgt.23095

ZHENG Xinyu, CHEN Jialin, ZHANG Fei, WANG Suilin, LIU Lei, YUAN Peng, WU Qi, HUANG Zhong. Co-combustion Characteristics and Kinetic Analysis of Sediment From Dianchi Lake. Power Generation Technology[J], 2025, 46(1): 180-189 DOI:10.12096/j.2096-4528.pgt.23095

0 引言

河道和湖泊底泥由自然与人类共同作用产生,沉积了大量固体颗粒、污染物以及有毒元素,是难处理的高水分固体废弃物。河道底泥属于污泥大类,但其从来源、元素组成和营养元素组成等方面都与市政和工业污泥存在一定差别[1-3]。随着工业和城镇化的快速发展,对于河道和湖泊底泥处理总量缺少总体统计,但随着水体标准的提升,其已经成为一些城市环保治理的重要一环,而针对底泥的单燃与混燃的研究仍处于空白,此外,燃烧利用在有效处理底泥的同时可以杀灭大量的细菌,是非常高效的废弃物处理手段。

高温燃烧是工业废弃物常见的一种处置方式,学者们[4-9]通过热重实验对于不同来源污泥自燃与混燃性质进行研究,并对其动力学参数进行计算,采用Arrhenius方程对其进行温度积分,应用Coats模型对表观活化能和指前因子进行求解。也有许多学者采用多重扫描法,如Hu等[10]指出,计算固体燃料燃烧活化能时,多重扫描速率法比单一扫描速率法更有效,应用模型积分求解;Jiang等人[11]采用Kissinger-Akahira-Sunose(KAS)和Flynn-Wall-Ozawa(FWO)模型求解表观活化能,2种方法所求活化能较一致的阶段认为结果可靠。

本研究综合多重扫描速率法和单一扫描速率法,在保证表观活化能的同时,获得了相关度最高的机理函数[12]。为了研究高水分固废滇池底泥的燃料理化性质以及燃烧可行性,本文通过工业元素分析、X射线衍射(X-ray diffraction,XRD)、X射线荧光光谱仪(X-ray fluorescence spectrometer,XRF)确定底泥的理化性质;采用热重分析法将底泥以不同升温速率升温至同一温度,探究反应进程和燃烧性质,并与煤泥、污泥进行对比,同时将底泥与褐煤进行10%、20%和30%的掺混燃烧,探究其混燃过程中的协同效应和特性;运用多重扫描速率法KAS和FWO拟合活化能,应用Coats-Redferm(Coats)模型拟合各阶段反应机理函数,求解表观活化能,并用KAS、FWO法所求活化能进行检验,最终得到每一阶段最准确的反应机理常数。

1 材料和方法

1.1 物质特性分析

底泥取自昆明滇池,底泥预先进行静置风干,而后在烘干机以105 ℃烘干2 h脱水处理,全部样品在振筛机过200目(75 μm)筛后放入密封样品袋备用。选取污泥和煤泥作对比实验,污泥为红河污泥,煤泥来自山东,与底泥进行相同的预处理,在振筛机过200目备用。各样品工业及元素分析见表1

表1   实验材料的工业及元素分析 (%)

Tab. 1  Industrial and elemental analysis of experimental material

样品工业分析元素分析
MadAadVadFC,adCdHdOdNdSd
滇池底泥6.7066.3025.101.8012.742.2211.070.660.31
红河污泥6.4952.5238.972.0221.373.5615.123.000.79
山东煤泥1.2943.0622.0732.9539.962.5211.450.730.37
红河褐煤20.1522.4139.8337.7654.136.1913.521.192.55

注:Mad为干燥基水分质量分数;Aad为干燥基灰分质量分数;Vad为干燥基挥发分质量分数;FCad为固定碳质量分数;Cd为碳质量分数;Hd为氢质量分数;Od为氧质量分数;Nd为氮质量分数;Sd为硫质量分数。

新窗口打开| 下载CSV


对滇池底泥和褐煤进行XRD、XRF分析,结果分别如图1表2所示,发现脱水前后底泥的主要成分基本一致。有研究[13]指出,其无机物组成与黏土相似,有替代黏土用作燃料的潜质,底泥的灰分质量分数高于污泥,挥发分低于污泥。

图1

图1   脱水后滇池底泥和褐煤XRD分析

Fig. 1   XRD analysis of Dianchi Lake sediment and lignite


表2   脱水前后底泥和褐煤XRF分析 (%)

Tab. 2  XRF analysis of sediment before and after dehydration

样品物质质量分数
SiO2Al2O3CaOFe2O3K2OTiO2MgOSO3
底泥(脱水)50.1619.3214.437.473.191.911.511.75
底泥66.7314.903.305.714.611.890.990.87
褐煤35.5429.1410.588.840.911.311.2811.78

新窗口打开| 下载CSV


1.2 热重实验

实验采用德国耐驰STA449F3综合热分析仪作热重(thermogravimetric,TG)-微分热重(differential thermo gravimetric,DTG)联动测试,实验仪器如图2所示。

图2

图2   STA449F3综合热分析仪

Fig. 2   STA449F3 comprehensive thermal analyzer


燃烧实验气氛为空气,本次实验中每次称取8 mg左右。试验工况升温速率分别为10、20和30 K/min并开展平行试验,燃烧测温范围均为1 000 ℃。

1.3 燃烧特性

众多学者[5]引入综合燃烧指数SN和可燃性指数C计算比较燃烧特性,其计算式分别为:

SN=(dw/dt)max(dw/dt)meanTi2Th
C=(dw/dt)maxTi2

式中:(dw/dt)max为最大燃烧速率,%/min;(dw/dt)mean为平均燃烧率,%/min;Th为燃尽温度,K;Ti为着火温度,K。SN越大,表明物质的燃烧性质越好,更适合用作燃料[14-15]

1.4 底泥和褐煤混燃的相互影响

有学者[16]引入对于失重量和失重速率的理论计算值,实验与理论值的偏差用于描述发生协同效应对燃烧阶段的影响,理论计算公式为

W理论=x1dw1dt+x2dw2dt

式中:x1为混合样品中褐煤的质量分数;w1为煤单燃时的失重率;x2为混合样品中底泥的质量分数;w2为底泥单燃时的失重率。根据计算值与实验数据绘制TG曲线,一次微分得到DTG曲线。

1.5 动力学分析

对于动力学反应速率的求解,有均相等温体系和结合Arrhenius方程的非均相非等温体系2种。均相等温体系燃烧过程的动力学方程可表示为

δαδt=k(T)f(α)

式中:k(T)是Arrhenius定律中描述的与温度相关的绝对速率常数;f(α)为反应机理函数,α为输入变量。

kT=Aexp(-EaRT)

式中:A为表观指前因子;Ea为表观活化能;R为通用气体常数,R=8.314 J⋅mol-1T为热力学温度。

动力学反应速率方程式为

αt=m0-mtm0-m

式中:αt为任一时刻反应速率;m0为水分析出结束后的质量;mt 为任一时刻对应的质量;m为燃烧反应终止时刻的质量。

均相等温体系和Arrhenius方程结合得到非均相非等温体系燃烧过程的动力学方程:

δαδt=Aβf(α)exp (-Ea/RT)   

式中β为升温速率。

式(7)积分得到:

g(α)=0αdαf(α)=AβT0Texp (-EaRT)dT

式中T0为初始温度。

根据计算的转化率和DTG曲线进行拟合,包括多重扫描和单一扫描2种方法。多重扫描速率法被认为准确性更高[17-18]

采用KAS和FWO多重扫描速率法拟合计算Ea,避免机理函数假设误差,并验证反应机理一致性。再通过Coats法拟合各阶段机理函数,选线性相关系数最高者计算Ea,并与前2种方法对比,验证机理函数准确性。

KAS模型方程为

ln(βT2)=lnAREaG(α)-EaRT

式中G(α)为f(α)的积分形式,根据所得方程,设X为1/TY为ln(β/T2),拟合方程,根据斜率-Ea/R求得表观活化能Ea

FWO模型方程式为

lnβ=lnAEaRG(a)-5.331-1.056 1EaRT   

根据所得方程,设X为1/TY为lnβ,拟合方程,根据斜率-1.056 1Ea/RT求得表观活化能Ea

Coats-Redferm模型基于非均相非等温体积进行温度积分近似计算。将式(4)代入式(5),左右两边分别积分得到:

ln(G(α)T2)=ln[AREa(1-2RTEa)]-EaRT

式中G(α)为f(α)的积分形式,根据所得方程,设X为1/TY为ln[G(α)/T2],拟合方程,根据斜率Ea/RT求得表观活化能Ea。将求得的Ea与前2种方法求得的各阶段Ea进行对比,验证反应机理函数的准确性,Ea最接近的为该阶段的反应机理函数。

参考常用的动力学机理函数和固态反应机制函数[19],选取11种进行后续拟合计算,结果如表3所示。

表3   反应机理函数

Tab. 3  Reaction mechanism function

机理函数G(α)机理函数G(α)
Jander二维扩散[1-(1-α)12]2Avrami-Erofeev方程(n=1.5)[-ln (1-α)]1.5
Jander三维扩散[1-(1-α)13]2Avrami-Erofeev方程(n=2)[-ln (1-α)]2
反Jander三维扩散[(1+α)13-1]2Avrami-Erofeev方程(n=3)[-ln (1-α)]3
ZLT三维扩散[1/(1-α)13-1]2收缩球状(体积)1-(1-α)13
Mample单行法则-ln (1-α)化学反应(2级)(1-α-1)-1
Valensi二维扩散α+(1-α)ln (1-α)

新窗口打开| 下载CSV


2 实验结果与讨论

从3个维度进行实验分析,分别是:1)底泥在不同升温速率下TG-DTG的变化规律;2)将污泥与煤泥、底泥燃烧性质进行对比;3)底泥与煤混燃的协同效应。

2.1 不同工况TG曲线特征

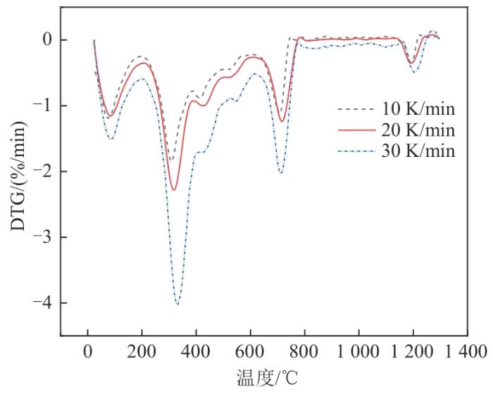
实验得到不同样品在不同升温速率下的TG曲线如图34所示。由图3可知,不同升温速率下,TG曲线变化趋势基本一致,升温速率越慢燃烧越充分,不同升温速率下着火温度、燃尽温度和失重数据详见表4

图3

图3   底泥不同升温速率下的TG曲线

Fig. 3   TG curves of sediment at different heating rates


图4

图4   不同样品在升温速率为20 K/min工况下的TG曲线

Fig. 4   TG curves under different sample heating rates of 20 K/min operating conditions


表4   不同升温速率下着火、燃尽温度和失重

Tab. 4  Ignition temperature, burnout temperature, and weight loss under different heating rates

升温速率/(K/min)着火温度/℃燃尽温度/℃TG/%
10245.4741.352.20
20257.3746.769.46
30258.1743.971.52

新窗口打开| 下载CSV


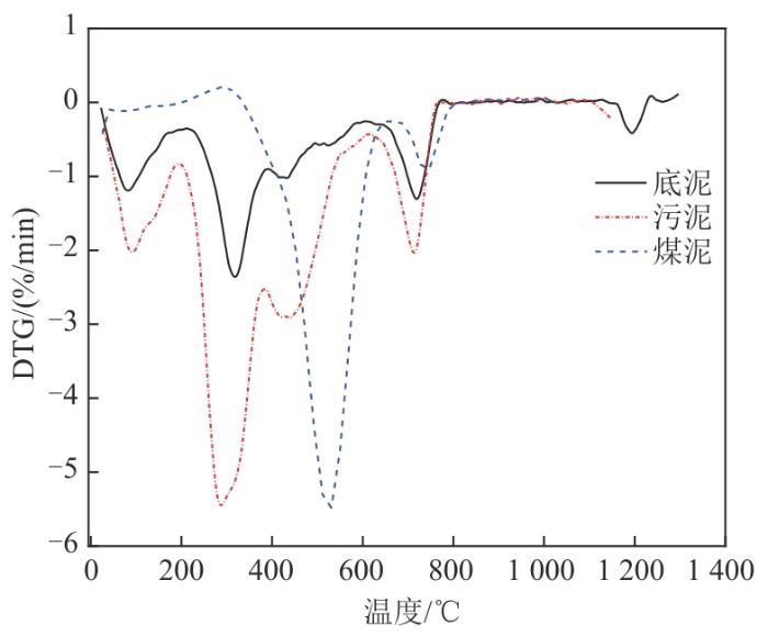
以升温速率20 K/min为例,分析底泥、污泥和煤泥3种材料的TG曲线变化。由图4可知,底泥与污泥的TG曲线变化趋势相近,底泥的着火温度与污泥相近但低于煤泥,三者燃尽温度相近,底泥燃尽温度略高于污泥,显示出底泥在燃烧初期的稳定性优于污泥和煤泥。

2.2 不同工况DTG曲线特征

实验得到不同样品在不同升温速率下的DTG曲线如图56所示。由图5可知,底泥燃烧过程存在3次明显失重,其中300~400 ℃出现最大峰值,为主要反映阶段。由图6可知,3种物质的主要反映阶段均在第二阶段,挥发分析出,底泥和污泥还会二次析出,煤泥二次析出量较少。

图5

图5   底泥不同升温速率下的DTG曲线

Fig. 5   DTG curves of sediment at different heating rates


图6

图6   不同样品在升温速率为20 K/min工况下的DTG曲线

Fig. 6   DTG curves under different sample heating rates of 20 K/min operating conditions


2.3 燃烧过程分析

根据TG-DTG综合分析,底泥的燃烧反应主要分为4个阶段,各阶段反应温度如表5所示。

表5   不同升温速率下底泥各阶段的反应温度范围 (℃)

Tab. 5  Reaction temperature range of sediment at different stages under different heating rate

反应阶段底泥升温速率
10 K/min20 K/min30 K/min
130.0~245.430.0~240.730.0~248.6
2245.4~449.2240.7~457.2248.6~452.5
3449.25~653.1457.25~673.8452.5~656.4
4653.1~741.4673.8~746.7656.4~743.9

新窗口打开| 下载CSV


2.4 褐煤与底泥混燃特性

2.4.1 TG-DTG曲线特征

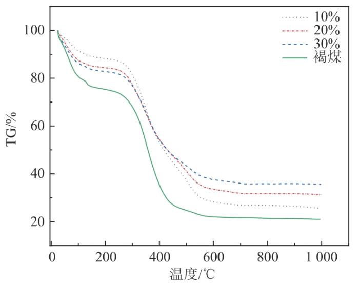
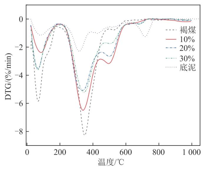
底泥和褐煤在设定升温速率为20 K/min的实验工况下,分别按照10%、20%、30%的比例掺混得到TG和DTG曲线如图78所示。

图7

图7   不同比例掺混在20 K/min升温速率下的TG曲线

Fig. 7   TG curves of different proportions mixed at a heating rate of 20 K/min


图8

图8   不同比例掺混在20 K/min升温速率下的DTG曲线

Fig. 8   DTG curves of different proportions mixed at a heating rate of 20 K/min


综合TG-DTG分析,掺混燃烧主要有2个阶段。相比于底泥单燃,掺混燃烧着火温度相近,燃尽温度明显降低,总失重明显增大,曲线整体趋势相同,但坡度更陡,两燃烧阶段最大失重速率显著增大。

2.4.2 底泥与褐煤混燃特性

根据计算所得的TG、DTG理论值与实验值进行对比分析,如图9所示。

图9

图9   不同掺混比例下掺烧实验与理论值TG-DTG曲线

Fig. 9   Experimental and theoretical TG-DTG curve of blending under different blending ratios


图9可知,TG和DTG的计算值和实验值之间存在差异,这表明底泥和褐煤在燃烧过程存在相互作用[13]。对于TG曲线,实验值的剩余质量均不高于计算值,这说明相互作用对于物质的燃尽特性有着积极影响,这可能由于底泥的高灰分含量和灰分中存在具有催化作用的金属氧化物促进了焦炭燃烧[16];对于DTG曲线,第二阶段,随着掺混比例的增加,灰分含量增加,失重减小,可能由于底泥中易分解的挥发物首先沉淀,堵塞了样品之间的空隙,使得氧气不能及时扩散到混合物中。第三阶段,实验测得峰值明显大于理论计算值,可以推测其中二次挥发分中较小的部分迅速蒸发并沉淀到煤残余碳的孔隙中,与氧气发生完全燃烧反应,使得实验值高于理论值[16]

2.4.3 掺混比例对燃烧性能的影响

底泥与褐煤分别按照10%、20%、30%比例掺烧,综合燃烧特性和可燃特性指数如图10所示。

图10

图10   底泥与褐煤10%、20%、30%混燃特性

Fig. 10   Characteristics of 10%, 20%, and 30% mixed combustion of bottom mud and lignite


图10可知,随着掺混比例增加,可燃特性指数增加,说明掺烧一定量的底泥可以改善煤的着火性能,有利于煤的稳定燃烧,但当比例达到30%时,指数明显减小,说明掺烧比例过大时,不利于改善燃料的燃烧性能。

3 燃烧反应动力学分析

3.1 动力学特性分析

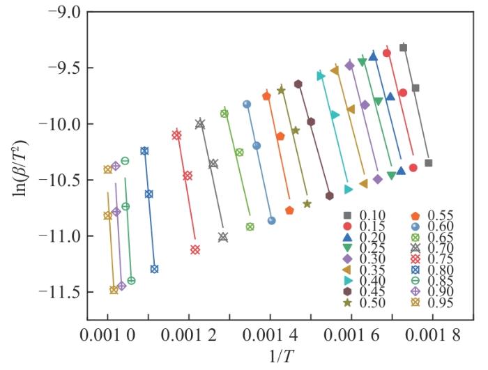
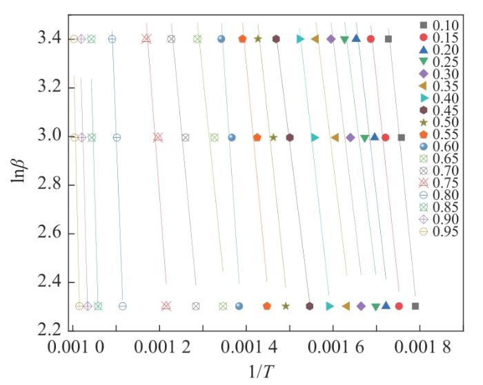
由于第一阶段为水分析出,无须考虑,仅对第二、三、四反应阶段进行拟合计算。根据KAS和FWO两种方法计算拟合回归线,详见图1112

图11

图11   KAS法拟合不同转化率的回归线

Fig. 11   tropic of different equal conversion rates fitted by KAS method


图12

图12   FWO法拟合不同转化率的回归线

Fig. 12   tropic of different equal conversion rates fitted by FWO method


如图1112所示,在不同转化率下,横轴、纵轴均呈线性关系,说明不同升温速率下底泥的反应机理基本一致,第四阶段与反应二、三阶段表观活化能变化较大,说明存在不同的反应机理[20]。详细计算结果如表6所示,可见KAS和FWO法得到的各反应速率以及各阶段活化能基本接近,计算结果可靠。

表6   2种方法拟合各阶段Ea平均值

Tab. 6  Two methods for fitting the average Ea values of each stage

反应阶段表观活化能平均值/(kJ/mol)
FWOKAS
2(α=0.1~0.55)126.042 267 9123.668 620 9
3(α=0.6~0.8)206.459 811 5191.462 116 4
4(α=0.8~0.9)491.233 700 3512.002 159 2

新窗口打开| 下载CSV


3.2 反应机理函数的确定

代入表4所选取的机理函数进行拟合,选取相关系数R2大于0.9的机理函数,根据Coats模型进行计算,各阶段拟合及Ea计算结果见表7,拟合回归线详见图1314。KAS和FWO模型中第二、三阶段反应表观活化能较为接近,在Coats法中化为一个阶段进行拟合。

表7   Coats法拟合参数

Tab. 7  Coats method fitting parameters

阶段机理函数斜率a截距b活化能E相关系数
2、3Avrami-EROfeev(n=3)-15 353.38.71127.640.91
4ZLT-58 327.630.84484.930.91

新窗口打开| 下载CSV


图13

图13   第四阶段Coats法拟合不同机理函数的回归线

Fig. 13   Tropic of different mechanism functions fitted by Coats method in the fourth stage


图14

图14   第二、三阶段Coats法拟合不同机理函数的回归线

Fig. 14   Tropic of different mechanism functions fitted by Coats method in the second and third stages


由计算结果可知,在第二、三反应阶段,反应机理函数为Avrami-EROfeev(n=3)时,与KAS和FWO计算的平均活化能基本一致;在第四反应阶段,反应机理函数为ZLT时,与KAS和FWO计算的平均活化能最为相近。综上,底泥第二、三阶段反应机理函数为Avrami-EROfeev(n=3),第四阶段反应机理函数为ZLT。

4 结论

研究了底泥单燃的燃烧性质并与煤泥、污泥的单燃进行对比,探究了底泥按总量的10%、20%和30%的比例掺混入煤中二者之间的相互影响,运用KAS、FWO和Coats模型和11种常用的动力学机理函数和固态反应机制函数计算拟合各阶段反应活化能和机理函数,得出如下结论:

1)底泥可以作为一种燃料进行使用,其燃烧分为水分析出、挥发分析出、半挥发分析出和固定碳燃烧4个阶段,与煤泥和污泥相比,底泥存在着火温度低、燃尽温度高的特点,这直接导致其更容易燃烧,但是综合燃烧特性指数与常规燃煤存在差距。通过将底泥在不同升温速率下进行对比,发现在较低的升温速率下,底泥易于燃尽。3种不同升温速率下,底泥的燃尽温度平均值约为743.97 ℃,相比于能提供1 200 ℃以上燃烧温度的煤粉炉,常规的循环流化床锅炉即可满足底泥的燃烧处置要求。

2)煤与底泥混燃过程中存在协同效应,相互作用对于物质的燃尽特性有着积极影响,掺烧一定量的底泥可以改善煤的着火性能,有利于煤的稳定燃,但当掺混比例达到30%,可燃性指数明显减小,故在实际的工程应用中,底泥的掺混比例不宜超过30%,具体的掺混比例可根据工程实际结合热力校核计算进一步得出。

3)根据KAS和FWO对反应表观活化能的拟合计算,可知燃烧反应的第二、三阶段活化能值相近,其反应机理基本一致,第四阶段活化能明显增长,存在不同的反应机理。通过Coats积分法最终拟合得到底泥第二、三阶段反应机理函数为Avrami-EROfeev(n=3),第四阶段反应机理函数为ZLT。

参考文献

JING L DWU C XLIU J Tet al

The effects of dredging on nitrogen balance in sediment-water microcosms and implications to dredging projects

[J].Ecological Engineering,201352167-174doi:10.1016/j.ecoleng.2012.12.109

[本文引用: 1]

韩卫博卞双汪涛

燃煤电厂脱硫废水及污泥中重金属污染物控制研究进展

[J].发电技术,202041(5):497-509doi:10.12096/j.2096-4528.pgt.20064

HAN W BBIAN SWANG Tet al

Research progress on control of heavy metals pollutants in desulfurization wastewater and sludge of coal-fired power plants

[J].Power Generation Technology,202041(5):497-509doi:10.12096/j.2096-4528.pgt.20064

张宏伟张永生汪涛

电厂燃煤飞灰固化脱硫污泥重金属铅特性研究

[J].发电技术,202445(3):527-534

[本文引用: 1]

ZHANG H WZHANG Y SWANG Tet al

Study on the characteristics of heavy metal lead in desulfurization sludge solidified by coal-fired fly ash in power plant

[J].Power Generation Technology,202445(3):527-534

[本文引用: 1]

王彦霖贾里王碧茹

城市污泥和煤泥混燃过程中交互作用的影响及机理

[J].中南大学学报(自然科学版),202253(10):4174-4184

[本文引用: 1]

WANG Y LJIA LWANG B Ret al

Influence and mechanism of interaction in co-combustion of sewage sludge and coal slime

[J].Journal of Central South University (Science and Technology),202253(10):4174-4184

[本文引用: 1]

何必繁王里奥黄川

重庆城市污泥燃烧及动力学特性分析

[J].中国电机工程学报,201030(35):32-37

[本文引用: 1]

HE B FWANG L AHUANG C

Study on combustion characteristics and kinetics of Chongqing municipal sewage sludge

[J].Proceedings of the CSEE,201030(35):32-37

[本文引用: 1]

李爱民刘淑静王伟云

大物料量污泥燃烧机理及表观动力学特性

[J].燃烧科学与技术,200915(5):381-387

LI A MLIU S JWANG W Y

Combustion mechanism and apparent kinetic characteristics of massive sewage sludge sample

[J].Journal of Combustion Science and Technology,200915(5):381-387

罗立群周鹏飞涂序

湖泊底泥燃烧特性及其热动力学分析

[J].中国矿业,201928(6):149-154

LUO L QZHOU P FTU X

Combustion characteristics and thermodynamic analysis of lake sediments

[J].China Mining Magazine,201928(6):149-154

刘秀如吕清刚赵科

城市污水污泥热解特性及动力学研究

[J].热能动力工程,201025(6):677-680

LIU X R Q GZHAO K

Pyrolysis characteristics and kinetic study of urban sewage water and sludge

[J].Journal of Engineering for Thermal Energy and Power,201025(6):677-680

胡艳军宁方勇钟英杰

城市污水污泥热解特性及动力学规律研究

[J].热能动力工程,201227(2):253-258

[本文引用: 1]

HU Y JNING F YZHONG Y J

Study on pyrolysis characteristics and kinetics of municipal sewage sludge

[J].Journal of Engineering for Thermal Energy and Power,201227(2):253-258

[本文引用: 1]

HU MCHEN ZGUO Det al

Thermogravimetric study on pyrolysis kinetics of Chlorella pyrenoidosa and bloom-forming cyanobacteria

[J].Bioresource Technology,201517741-50doi:10.1016/j.biortech.2014.11.061

[本文引用: 1]

JIANG CZHOU WBI Het al

Co-pyrolysis of coal slime and cattle manure by TG-FTIR-MS and artificial neural network modeling:Ppyrolysis behavior,kinetics,gas emission characteristics

[J].Energy,2022247123203doi:10.1016/j.energy.2022.123203

[本文引用: 1]

任宁张建军

热分析动力学数据处理方法的研究进展

[J].化学进展,200618(4):410-416

[本文引用: 1]

REN NZHANG J J

Progress in datum treatment methods of thermal analysis kinetics

[J].Progress in Chemistry,200618(4):410-416

[本文引用: 1]

段妮娜王磊磊朱勇

河湖底泥的来源、性质和处理处置技术:与污水厂污泥的比较

[J].城市道桥与防洪,2019(12):166-170

[本文引用: 2]

DUAN N NWANG L LZHU Yet al

Sources,properties and treatment and disposal technologies of river bottom sludge:comparison with sewage plant sludge

[J].Urban Roads Bridges & Flood Control,2019(12):166-170

[本文引用: 2]

LIU CLIU JSUN Get al

Thermogravimetric analysis of (co-) combustion of oily sludge and litchi peels:combustion characterization,interactions and kinetics

[J].Thermochimica Acta,2018667207-218doi:10.1016/j.tca.2018.06.009

[本文引用: 1]

CHEN JMU LCAI Jet al

Pyrolysis and oxy-fuel combustion characteristics and kinetics of petrochemical wastewater sludge using thermogravimetric analysis

[J].Bioresource Technology,2015198115-123doi:10.1016/j.biortech.2015.09.011

[本文引用: 1]

LI JFAN SZHANG Xet al

Investigation on co-combustion of coal gasification fine ash and raw coal blends:thermal conversion,gas pollutant emission and kinetic analyses

[J].Energy,2022246123368doi:10.1016/j.energy.2022.123368

[本文引用: 3]

LÓPEZ-GONZÁLEZ DFERNANDEZ-LOPEZ MVALVERDE J Let al

Kinetic analysis and thermal characterization of the microalgae combustion process by thermal analysis coupled to mass spectrometry

[J].Applied Energy,2014114227-237doi:10.1016/j.apenergy.2013.09.055

[本文引用: 1]

李朝阳牛胜利韩奎华

次烟煤与半焦富氧混燃特性热重分析

[J].燃料化学学报,202250(8):937-953doi:10.1016/s1872-5813(21)60002-1

[本文引用: 1]

LI C YNIU S LHAN K Het al

Thermogravimetric analysis on the characteristics of oxy-fuel co-combustion of sub-bituminous coal and semi-coke

[J].Journal of Fuel Chemistry and Technology,202250(8):937-953doi:10.1016/s1872-5813(21)60002-1

[本文引用: 1]

CHEN ZLI JGUAN Set al

Kinetics,thermodynamics and gas evolution of atmospheric circulating fluidized bed coal gasification fly ash combustion in air atmosphere

[J].Fuel,2021290119810doi:10.1016/j.fuel.2020.119810

[本文引用: 1]

段一航高宁博全翠

水热处理对含油污泥热解特性及动力学影响

[J].化工进展,202342(2):603-613

[本文引用: 1]

DUAN Y HGAO N BQUAN C

Effect of hydrothermal treatment on pyrolysis characteristics and kinetics of oily sludge

[J].Chemical Industry and Engineering Progress,202342(2):603-613

[本文引用: 1]

/