滇池底泥混燃特性及燃烧动力学分析 |
| 郑欣昱, 陈嘉霖, 张飞, 王随林, 刘磊, 苑鹏, 武琪, 黄中 |
|
Co-combustion Characteristics and Kinetic Analysis of Sediment From Dianchi Lake |
| Xinyu ZHENG, Jialin CHEN, Fei ZHANG, Suilin WANG, Lei LIU, Peng YUAN, Qi WU, Zhong HUANG |
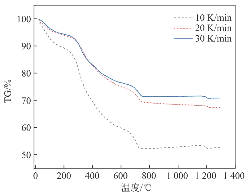
| 图3 底泥不同升温速率下的TG曲线 |
| Fig. 3 TG curves of sediment at different heating rates |
|