发电技术, 2024, 45(1): 113-119 DOI: 10.12096/j.2096-4528.pgt.21136

发电及环境保护

CO2气氛下杜氏盐藻热解特性的数值研究

邓飞龙, 叶垚, 李阳, 王巧丽, 张俊霞

邵阳学院机械与能源工程学院,湖南省 邵阳市 422000

Numerical Investigation on Pyrolysis Characteristics of Dunaliella Salina in CO2 Atmosphere

DENG Feilong, YE Yao, LI Yang, WANG Qiaoli, ZHANG Junxia

School of Mechanical and Energy Engineering, Shaoyang University, Shaoyang 422000, Hunan Province, China

收稿日期: 2022-02-13  

基金资助: 国家自然科学基金.  51866015
湖南省教育厅科学研究重点项目.  20A448
湖南省自然科学基金.  2021JJ30633

Received: 2022-02-13  

作者简介 About authors

邓飞龙(2000),男,研究方向为生物质能的有效利用,2271952991@qq.com

叶垚(1996),男,硕士研究生,主要研究方向为生物质能有效利用技术,yeyao28@foxmail.com

李阳(1997),男,硕士研究生,研究方向为新能源装备及其应用,787868274@qq.com

王巧丽(1994),女,硕士研究生,助理讲师,主要研究方向为新能源,1306826461@qq.com

张俊霞(1974),女,博士,教授,主要研究方向为生物质气化,本文通信作者,2387994363@qq.com

摘要

为了研究气化剂CO2质量流量、气化温度、气化压强对杜氏盐藻气化的影响规律,通过使用Aspen Plus软件模拟了杜氏盐藻在CO2气氛下的热解过程。结果为:杜氏盐藻在CO2气氛下气化时,随着CO2质量流量的增大,H2体积分数先增大后减小;当CO2质量流量为350 kg/h时,H2体积分数达最大值40.06%;当气化温度从400 ℃增大到900 ℃时,H2、CO体积分数增加,CH4体积分数减小;当气化温度大于900 ℃时,H2、CH4、CO体积分数趋于稳定;当气化温度从400 ℃增加到1 200 ℃时,压强越大,CH4生成量越多,H2和CO生成量越少;当气化温度为700 ℃时,压强对燃气产量的影响最为显著。故适当地改变CO2质量流量,可以提高H2的产量;适当升高气化温度和减小气化压强可以提高H2和CO的产量,但是CH4的产量会有所下降。

关键词: 生物质 ; 杜氏盐藻气化 ; CO2气化剂 ; 热解特性

Abstract

In order to study the effect of mass flow rate, gasification temperature and gasification pressure of gasification agent CO2 on the gasification of Dunaliella salina, the Aspen Plus software was used to simulate the pyrolysis process of Dunaliella salina in CO2 atmosphere. The results show that when Dunaliella salina is gasified in CO2 atmosphere, with the increase of CO2 mass flow rate, the H2 volume fraction firstly increases and then reduces. When the mass flow of CO2 is 350 kg/h, the volume fraction of H2 reaches a maximum of 40.06%. When the gasification temperature is increased from 400 to 900 ℃, the volume fraction of H2 and CO increases, and the volume fraction of CH4 decreases. When the gasification temperature is greater than 900 ℃, the volume fraction of H2, CH4 and CO tends to be stable. When the gasification temperature increases from 400 to 1 200 ℃, the higher the pressure, the more CH4 is produced, and the less H2 and CO are produced. When the gasification temperature was 700 ℃, the pressure has the most significant impact on gas production. Therefore, appropriately changing the mass flow of CO2 can increase the production of H2, and appropriately increasing the gasification temperature and reducing the gasification pressure can increase the production of H2 and CO. However, the production of CH4 will decrease.

Keywords: biomass ; gasification of Dunaliella salina ; CO2 gasification agent ; pyrolysis characteristic

PDF (2165KB) 元数据 多维度评价 相关文章 导出 EndNote| Ris| Bibtex  收藏本文

本文引用格式

邓飞龙, 叶垚, 李阳, 王巧丽, 张俊霞. CO2气氛下杜氏盐藻热解特性的数值研究. 发电技术[J], 2024, 45(1): 113-119 DOI:10.12096/j.2096-4528.pgt.21136

DENG Feilong, YE Yao, LI Yang, WANG Qiaoli, ZHANG Junxia. Numerical Investigation on Pyrolysis Characteristics of Dunaliella Salina in CO2 Atmosphere. Power Generation Technology[J], 2024, 45(1): 113-119 DOI:10.12096/j.2096-4528.pgt.21136

0 引言

生物质是一种可再生的,仅次于煤炭、石油、天然气的第四大能源,生物质能以其可再生性、低污染性、分布广泛性、碳中和性和种类丰富等优点成为了缓解石油短缺和环境污染的有效替代能源之一[1-3]。生物质能源的有效利用非常重要,我国在“十三五”规划[4]中将生物质能的开发与应用列为国家重点发展项目。

微藻中的杜氏盐藻是一种具有诸多优点的生物质能源,与其他生物质相比,其具有适应能力强、生长速度快、繁殖周期短、产量高、捕捉CO2能力强、光合作用效率高等优点。杜氏盐藻还具有耐强酸强碱、耐高寒酷热的特点,盐度适应范围大,即使在恶劣环境中也能正常生长,而且,杜氏盐藻的培养不受时间、季节、地区的限制,杜氏盐藻在水中生长也不会占用耕地,容易实现大规模培养和自动化控制。杜氏盐藻易被粉碎和干燥,使得对它的预处理成本较低;更重要的是,杜氏盐藻含有较高的脂类、可溶性多糖和蛋白质等易热解的化学组分,其细胞不含富含纤维素的细胞壁,热解更易于实现,因此,杜氏盐藻所需热解条件相对不高,热解成本低[5]

微藻的能源化利用包括热化学转化法、生物化学转化法和化学酯交换法,其中热化学转化法是应用最广的方法,包括气化、液化和热解3种[6]。近年来,国内外学者对微藻的热解反应动力学方面做了大量的研究:杨雅[7]通过对TG/DTG热分析得知微藻热解阶段最大失重率在60%以上,使用催化剂HZSM-5、MCM-41可使小球藻的热解产油率提高,稳定性增强,并且使用NaOH水溶液对HZSM-5分子筛脱硅改性后,可使生物油中的烃类产物质量分数达40%左右;王伟文等[8]使用3种普通微藻(小球藻、螺旋藻、微拟球藻)和含油微藻来热解,发现在主要的裂解反应阶段,含油微藻的挥发分析出量最高,3种普通微藻和含油微藻最大热失重速率对应的温度分别为300 ℃和400 ℃;代民权[9]探究了微藻和油页岩的共热解特性,发现在高温下微藻和油页岩的共热解表现出相互促进的作用,当参混90%油页岩时,所生成的碳氢化合物含量达最大值;郝小红等[10]利用热重法对裂殖壶藻的热解特性进行分析,发现裂殖壶藻主要失重温度范围是在158~519 ℃,并用FWO法和Kissinger法求得平均活化能,其值为46.891 5 kJ/mol;杨文衍等[11]使用微拟球藻热解,发现与木质纤维素生物质的热解相比,微拟球藻热解所需温度更低,所得到的油的热值也更高,并且加入催化剂H-ZSM-5能够脱除反应中间物含氧官能团,降低极性化合物含量,改善生物油的品质;唐紫玥等[12]使用微藻和塑料混合热解来制备低氮低氧富烃液体油,发现加入塑料能够有效减少油中的氮氧化合物,提高油的品质,此外添加催化剂ZSM-5能提高气体产物的热值;陈春香等[13]探索了不同微波功率及不同添加剂(活性炭和热解残渣)对小球藻微波热解过程的影响,发现微波功率越大,小球藻热解越完全,并且热解残渣是一种很好的催化剂,认为热解残渣含有较多的金属元素可能是热解残渣具有良好催化性的主要原因;陈秀峰等[14]采用微藻粉末进行热解实验,加入5种不同催化剂(活性炭、H3PO4、NaOH、MgCl2、MgO)都能使热解气体产物产率明显减少,固体产物产率明显增加;房佩文等[15]探究了热解温度对微藻基生物质热解焦的影响,发现热解温度升高会使产焦率下降,却有利于热解焦的石墨结构和碳结构的形成;王振通等[16]使用油泥热解焦与微藻渣混合燃烧,结果表明,添加微藻渣使混合燃料平均反应活化能增大,燃烧稳定性得到显著提高。

然而,在现有的研究中对微藻产可燃性气体的研究却很少,并且很少有用CO2作为气化剂来气化生物质获得气体产物的研究,若把CO2与杜氏盐藻气化来产生燃气,会对减少CO2的排放起到积极的作用。因此,本文数值模拟杜氏盐藻在CO2气氛中的气化特性,讨论燃气产物CH4、H2、CO等的变化特征,结果可为相关研究提供参考。

1 模型建立

1.1 生物质气化模型模拟条件

参考袁文华等[17]生物质气化制氢数值模拟气化时的假设,在本文的模拟中作如下假设:

1)生物质气化炉的运行状态稳定,性能参数不随时间做任何变化。

2)气化炉内各处压力和温度一致。

3)杜氏盐藻颗粒均匀,不存在温度梯度,温度处处相同。

4)杜氏盐藻中的N、O、S、H元素完全转化,而C元素不完全转化。

5)杜氏盐藻和气化剂在瞬间达到完全、均匀混合。

6)气化炉中的灰分不参加任何反应。

7)气化炉生成的惰性气体、产生的乙烯等气体量非常微小,忽略不计。

8)所有反应瞬间完成。

1.2 生物质气化模型的准确性验证

本文的生物质模拟是通过化工软件Aspen Plus来模拟的。参考陈青[18]在2012年的生物质气化实验,采用麦秆为原料,用水蒸气作为气化剂,压力为常压,温度为1 000 ℃来气化得到几种气体体积分数。使用Aspen Plus软件用同样的条件进行模拟,并对比气体体积分数,如表1所示,模拟的误差在-25.0%~34.1%。

表1   生物质气化与数值模拟结果对比

Tab. 1  Comparison of biomass gasification and numerical simulation results

产生气体V(H2)/%V(CO2)/%V(CO)/%V(H2)/V(CO)
实验数据37.1810.5843.990.85
模拟结果37.6810.0833.011.14

新窗口打开| 下载CSV


1.3 生物质气化模型建立

本次模拟所建立的模型为杜氏盐藻在CO2气氛下气化的模型,如图1所示,流股分别为杜氏盐藻和CO2,气化反应由STOIC和GIBBS两个模块组成。

图1

图1   反应流程图

WEIZAO—杜氏盐藻;STOIC—化学计量反应器;Q1—输入热量;Q2—热解释放热量;S1—热解产物;GIBBS—吉布斯反应器;S2—燃烧还原产物;Q3—损失热量;GAS—气体产物;SSPLIT—气固分离模块;ASH—灰分。

Fig. 1   Reaction flow chart


GIBBS模块是吉布斯反应器,STOIC模块是化学计量反应器,这2种反应器是将杜氏盐藻的气化假设为2个独立的过程,分别为气化和裂解。STOIC模块是把输入的原料裂解为单元素分子,如O2、H2、N2等,以此计算气体成分收率,并把分解得到的热量传送给GIBBS模块,然后通过输入温度、压力等条件参数,计算出生成的气体成分及含量,最后运用灵敏度分析工具得出变量对生成的燃气气体影响规律。

其中,气化炉主要化学反应有:

C+O2→CO2
2C+O2→2CO
C+CO2→2CO
H2O+C→CO+H2
2H2O+C→CO2+2H2
C+2H2→CH4
CO2+4H2→CH4+2H2O

在本次模拟中选用的杜氏盐藻是天津微藻生物技术有限公司的杜氏盐藻粉[19],其工业分析和元素分析分别如表2表3所示。

表2   杜氏盐藻工业分析

Tab. 2  Industrial analysis of Dunaliella salina

Mar/%Aar/%Var/%Car/%
4.9813.5454.4827.00

注:Mar为收到基水分质量分数;Aar为收到基灰分质量分数;Var为收到基挥发分质量分数;Car为碳质量分数。

新窗口打开| 下载CSV


表3   杜氏盐藻元素分析

Tab. 3  Element analysis of Dunaliella salina

w(C)/%w(H)/%w(N)/%w(S)/%
39.005.371.990.62

注:w(C),w(H),w(N),w(S)分别为碳元素、氢元素、氮元素、硫元素的质量分数。

新窗口打开| 下载CSV


在模拟过程中,下列参数保持不变:微藻通入的质量流量为1 000 kg/h,CO2通入的质量流量为300 kg/h,气化炉温度为900 ℃,压强为0.1 MPa。

2 气化模拟结果及分析

2.1 CO2质量流量对气体产物体积分数的影响

图2为CO2质量流量对气体体积分数的影响。由图2可知,3种气体中,CO体积分数最高,可达57.15%。通入大量的CO2时,可促使反应(3)进行,即CO2与微藻中的碳反应生成大量CO。H2的体积分数先增大后减小,当CO2质量流量达到350 kg/h时,H2的体积分数达到最大值40.06%。这是因为随着CO2质量流量增加,反应后剩余的一部分CO2就会和H2发生反应(5)的逆反应,引起H2体积分数下降。CO2体积分数很小,因为在较高温度下,微藻通过反应(3)与残余的碳发生反应,该反应是吸热反应,CO变化很小,所以反应后CO2的含量很少。CH4的体积分数随CO2的通入质量流量增大而减小直至几乎为0,因为在高温下,通入的CO2与残余的碳发生反应后,使得残碳中的C含量不断减少,且反应后CO2的含量很少,使得生成CH4的反应(6)、(7)几乎没有发生反应,且在高温下不利于反应(6)、(7)的正向进行。

图2

图2   CO2质量流量对气体体积分数的影响

Fig. 2   Influence of CO2 mass flow rate on gas volume fraction


2.2 温度对燃气体积分数的影响

图3为温度对气体体积分数的影响。由图3可知,气化温度在400~900 ℃时,H2和CO的体积分数随着温度的升高而增大,CO2和CH4的体积分数随着温度的升高而减小。因为反应(2)、(3)、(4)都为吸热反应,温度升高可促使正反应方向进行,使CO和H2生成量增多,CO2生成量减少;反应(6)、(7)为放热反应,温度越高,越不利于反应(6)、(7)正向进行,使得CH4生成量减少。

图3

图3   温度对气体体积分数的影响

Fig. 3   Influence of temperature on gas volume fraction


气化温度在900 ℃之后,CH4、H2、CO、CO2的体积分数随温度变化很小,这是因为反应(2)、(3)、(4)都为吸热反应,温度升高可促使正反应方向进行,使CO和H2生成量增多。而反应(6)、(7)为放热反应,当处于高温时,不利于反应(6)、(7)的正向进行,因此,随着温度的升高,使得CH4生成量不断地减少,会生成一部分H2;随着CO2的不断通入,反应(3)在高温下会生成大量的CO,CO和CO2的增加会使反应(4)、(5)往逆反应方向移动,仅会消耗一部分H2,此时生成H2的量和消耗H2的量会相互抵消,使得生成H2的量处于动态平衡中,所以H2的体积分数很稳定。

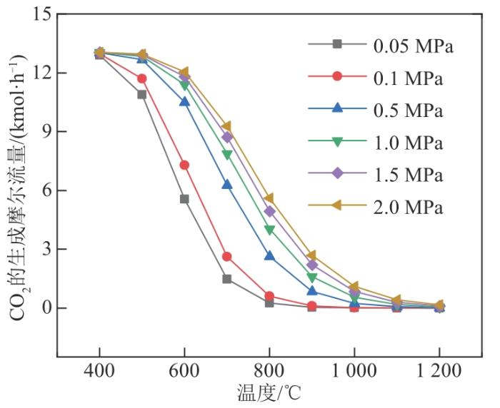
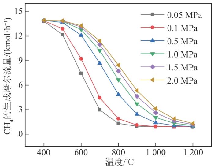
2.3 压强对燃气生成的摩尔流量的影响

47为压强对生成气体摩尔流量的影响。由图47可知,温度在400~1 200 ℃时,在同一温度下,随着压强的减小,CH4和CO2的生成摩尔流量随之减小,H2和CO的生成摩尔流量却随之增大。因为当压强减小时,有利于反应(2)—(5)的正向进行,使生成H2和CO的量增加。而对于反应(6)和(7),当压强减小时,不利于反应(6)和(7)的正向反应,使得CH4的生成量减少。当减小气化反应的压强时,会使反应(3)正向进行,使得更多的CO2被消耗,而CO2的消耗量大于反应(5)和(7)的CO2生成量,因此在同一温度下,压强越小,CO2生成量越少。

图4

图4   压强对CH4生成摩尔流量的影响

Fig. 4   Influence of pressure on the molar flow rate of CH4


图5

图5   压强对H2生成摩尔流量的影响图

Fig. 5   Influence of pressure on the molar flow rate of H2


图6

图6   压强对CO生成摩尔流量的影响图

Fig. 6   Influence of pressure on the molar flow rate of CO


图7

图7   压强对CO2生成摩尔流量的影响图

Fig. 7   Influence of pressure on the molar flow rate of CO2


由图47还可以得知,随着气化时温度的逐渐升高,压强对燃气产量的影响越来越大,直到温度在700 ℃时,压强对燃气产量的影响达到最大,然后随着温度升高,压强对燃气生成量的影响减弱,直至气化压强几乎不对燃气产量起影响作用。

由上述分析可知,当升高气化温度或减小压强时,都会使H2和CO的生成量增加,CO2和CH4的生成量减少。所以升高气化温度和减小气化压强可以提高H2和CO的产量。

3 结论

通过使用化工软件Aspen Plus来模拟杜氏盐藻在CO2气氛下气化过程,探究了改变CO2质量流量、气化温度、气化压强对燃气产物的影响规律,得到如下结论:

1)改变CO2质量流量对CO体积分数影响很小,当CO2质量流量为350 kg/h时,H2体积分数达到最大值40.06%,CH4体积分数随CO2质量流量增大而减小,直至接近于0。

2)改变气化温度,温度在400~900 ℃时,H2和CO的气体体积分数随温度的升高而增大,CH4和CO2的体积分数随温度的升高而减小,在900 ℃以后,H2、CH4、CO2和CO体积分数都趋于稳定,变化很小。

3)当气化温度在400~1 200 ℃,压强在0.05~2.0 MPa时,同一温度下,随着压强增大,CH4和CO2的生成摩尔流量会增加,而CO和H2的生成摩尔流量却减少;当温度为700 ℃时,压强对燃气的产量影响最为显著。

参考文献

冯伟忠李励

“双碳”目标下煤电机组低碳、零碳和负碳化转型发展路径研究与实践

[J].发电技术,202243(3):452-461doi:10.12096/j.2096-4528.pgt.22061

[本文引用: 1]

FENG W ZLI L

Research and practice on development path of low-carbon,zero-carbon and negative carbon transformation of coal-fired power units under “double carbon” targets

[J].Power Generation Technology,202243(3):452-461doi:10.12096/j.2096-4528.pgt.22061

[本文引用: 1]

薛凯王义函陈衡

槽式太阳能辅助生物质热电联产系统热力学性能分析

[J].发电技术,202142(6):653-664doi:10.12096/j.2096-4528.pgt.21044

XUE KWANG Y HCHEN Het al

Thermodynamic performance analysis of a parabolic trough solar-assisted biomass-fired cogeneration system

[J].Power Generation Technology,202142(6):653-664doi:10.12096/j.2096-4528.pgt.21044

臧海祥马铭欣周亦洲

电力市场环境下风电-光热-生物质混合电站鲁棒优化调度模型

[J].电力系统保护与控制,202250(5):1-11

[本文引用: 1]

ZANG H XMA M XZHOU Y Zet al

Robust optimal scheduling model for a wind power-concentrating solar power-biomass hybrid power plant in the electricity market

[J].Power System Protection and Control,202250(5):1-11

[本文引用: 1]

国家能源局

生物质能发展“十三五”规划

[EB/OL].(2016-10-28)[2022-01-13]..

[本文引用: 1]

National Energy Administration

The 13th Five-Year Plan for biomass energy

[EB/OL].(2016-10-28)[2022-01-13]..

[本文引用: 1]

邢定峰张哲张福琴

藻类热解生产生物质燃料研究进展

[J].化学工业,200826(3):38-42doi:10.3969/j.issn.1673-9647.2008.03.006

[本文引用: 1]

XING D FZHANG ZZHANG F Qet al

Progress in the study of bio-oil fuel production by algae pyrolysis

[J].Chemical Industry,200826(3):38-42doi:10.3969/j.issn.1673-9647.2008.03.006

[本文引用: 1]

朱莺莺

微藻能源化利用进展综述

[J].广东化工,201744(11):142-144doi:10.3969/j.issn.1007-1865.2017.11.064

[本文引用: 1]

ZHU Y Y

The review of microalgae energy regeneration and utilize technology progress

[J].Guangdong Chemical Industry,201744(11):142-144doi:10.3969/j.issn.1007-1865.2017.11.064

[本文引用: 1]

杨雅

微藻催化热解制取生物油的实验研究

[D].青岛青岛科技大学2014

[本文引用: 1]

YANG Y

Experimental study on the production of bio-oil by catalytic pyrolysis of microalgae

[D].QingdaoQingdao University of Science and Technology2014

[本文引用: 1]

王伟文刘瑞王文强

微藻类生物质热解特性探究

[J].化工科技,201624(5):7-10doi:10.3969/j.issn.1008-0511.2016.05.002

[本文引用: 1]

WANG W WLIU RWANG W Qet al

Pyrolysis properties of micro-alage biomass

[J].Science and Technology in Chemical Industry,201624(5):7-10doi:10.3969/j.issn.1008-0511.2016.05.002

[本文引用: 1]

代民权

微藻与油页岩的热解特性研究

[D].广州华南理工大学2019

[本文引用: 1]

DAI M Q

Study on pyrolysis characteristics of microalgae and oil shale

[D].GuangzhouSouth China University of Technology2019

[本文引用: 1]

郝小红王亚兵金晶

微藻热解特性及动力学分析

[J].能源工程,2016(4):40-45doi:10.3969/j.issn.1004-3950.2016.04.007

[本文引用: 1]

HAO X HWANG Y BJIN Jet al

Pyrolysis characteristics and kinetics of microalgae

[J].Energy Engineering,2016(4):40-45doi:10.3969/j.issn.1004-3950.2016.04.007

[本文引用: 1]

杨文衍曾燕罗嘉

微拟球藻热解及其催化热解制备生物油研究

[J].燃料化学学报,201139(9):664-669doi:10.3969/j.issn.0253-2409.2011.09.005

[本文引用: 1]

YANG W YZENG YLUO Jet al

Production of bio-oil by direct and catalytic pyrolysis of nannochloropsis sp

[J].Journal of Fuel Chemistry and Technology,201139(9):664-669doi:10.3969/j.issn.0253-2409.2011.09.005

[本文引用: 1]

唐紫玥陈伟胡俊豪

微藻与塑料混合热解制备低氮低氧富烃液体油

[J] .燃料化学学报,202149(12):1860-1866.

[本文引用: 1]

TANG Z YCHEN WHU J Het al

Microalgae co-pyrolysis with waste plastics to prepare low-O/N and hydrocarbon-rich liquid oil

[J].Journal of Fuel Chemistry and Technology,202149(12):1860-1866

[本文引用: 1]

陈春香程正卢子广

微波催化热解微藻特性研究及热解残渣催化作用分析

[J].广西大学学报(自然科学版),201843(2):554-560

[本文引用: 1]

CHEN C XCHENG ZLU Z Get al

Characteristics of microwave catalyzed pyrolysis of microalgae and catalysis analysis of pyrolytic residues

[J].Journal of Guangxi University (Natural Science Edition),201843(2):554-560

[本文引用: 1]

陈秀峰马晓茜陈春香

微藻微波催化裂解研究及动力学分析

[J].燃料化学学报,201240(3):315-320doi:10.3969/j.issn.0253-2409.2012.03.010

[本文引用: 1]

CHEN X FMA X QCHEN C X

Catalytic cracking and kinetics analysis of microalgae by microwave

[J].Journal of Fuel Chemistry and Technology,201240(3):315-320doi:10.3969/j.issn.0253-2409.2012.03.010

[本文引用: 1]

房佩文巩志强张缦

热解温度对微藻基生物质热解焦性质的影响

[J].洁净煤技术,202026(S1):139-146

[本文引用: 1]

FANG P WGONG Z QZHANG Met al

Pyrolysis temperature impact on the microalgal biomass char characteristics

[J].Clean Coal Technology,202026(S1):139-146

[本文引用: 1]

王振通巩志强王振波

油田油泥热解焦掺混微藻渣燃烧实验研究

[J].石油学报(石油加工),201935(4):818-824

[本文引用: 1]

WANG Z TGONG Z QWANG Z Bet al

Experimental study on co-combustion of oil sludge pyrolysis char blended with microalgae residues

[J].Acta Petrolei Sinica (Petroleum Processing Section),201935(4):818-824

[本文引用: 1]

袁文华张俊霞杨彦林

CO2气氛下生物质气化制氢的数值分析

[J].热科学与技术,202019(5):472-478

[本文引用: 1]

YUAN W HZHANG J XYANG Y Let al

Numerical analysis on hydrogen production based on biomass gasification in CO2 atmosphere

[J].Journal of Thermal Science and Technology,202019(5):472-478

[本文引用: 1]

陈青

生物质高温气流床气化合成气制备及优化研究

[D].杭州浙江大学2012

[本文引用: 1]

CHEN Q

Study and optimization of biomass gasification in a high-temperature entrained-flow gasifier for syn-gas

[D].HangzhouZhejiang University2012

[本文引用: 1]

邹树平吴玉龙杨明德

微藻热解特性及其动力学分析

[J].燃烧科学与技术,200713(4):330-334doi:10.3321/j.issn:1006-8740.2007.04.009

[本文引用: 1]

ZOU S PWU Y LYANG M Det al

Characteristics and dynamics of pyrolysis process microalgae

[J].Journal of Combustion Science and Technology,200713(4):330-334doi:10.3321/j.issn:1006-8740.2007.04.009

[本文引用: 1]

/