CO2气氛下杜氏盐藻热解特性的数值研究 |
| 邓飞龙, 叶垚, 李阳, 王巧丽, 张俊霞 |
|
Numerical Investigation on Pyrolysis Characteristics of Dunaliella Salina in CO2 Atmosphere |
| Feilong DENG, Yao YE, Yang LI, Qiaoli WANG, Junxia ZHANG |
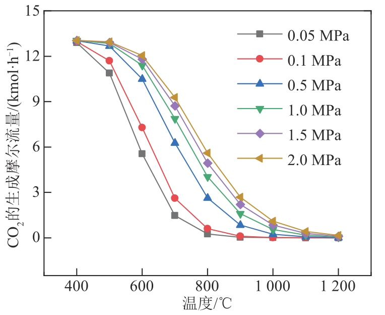
| 图7 压强对CO2生成摩尔流量的影响图 |
| Fig. 7 Influence of pressure on the molar flow rate of CO2 |
|