0 引言
新能源发电技术在实现我国碳中和目标[1 ] 、减少环境污染、实现我国高质量发展[2 ] 等方面发挥着至关重要的作用。环境中的振动无处不在、无时不有,例如,钻井钻头钻探、汽车驶过桥梁或者隧道、火车驶过钢轨等都会有振动产生。利用振动的能量进行发电,对于无线传感器自供电以及一些便携设备供电都会产生深远的影响。
现有振动发电装置有压电式、磁致伸缩式、静电式、摩擦生电式、电磁式等5种类型[3 ] 。压电式装置固有频率普遍较高,在低频振动环境中适应性相对较差,且需要复杂的内部电路,封装方式较复杂[4 -5 ] 。磁致伸缩式装置对产生形变的磁致材料要求很高,共振频率较高[6 -7 ] 。静电式振动发电装置需要初始电压,不能实现完全自供能[8 ] 。摩擦生电式装置对材料的选材要求高,并且阴阳极的磨损会对寿命产生较大影响[9 -10 ] 。电磁式振动发电装置相对其他振动发电方式具有较高功率输出,无特殊材料需求,生产成本较低,相对风电与太阳能发电受环境影响小,能够较好地满足发电应用需求。
国内外学者针对电磁式振动发电装置进行了大量的研究。现有电磁式振动发电装置大体可以分为旋转式与直动式,文献[11 -13 ]均采用旋转式结构。文献[11 ]提出了一种振动-旋转转换结构,其结构利用带磁体的悬臂梁振动拨动带线圈的转子以产生电能,此结构相对简单,但是摩擦损耗不可避免。文献[12 ]在结构上进行了优化,利用扭转驱动结构和棘轮离合器结构将直线运动转化为高速旋转运动。文献[13 ]所设计振动-旋转能量收集装置实现了将多个方向的振动转化为旋转进行能量收集,并且线性运动和旋转-运动部件没有直接的物理接触,避免了物理接触引起的摩擦力、材料磨损等,但其结构也变复杂。直动式结构可以直接将振动能量转换为动能。文献[14 -16 ]采用直动式悬臂电磁振动发电装置进行能量收集,其基本结构为悬臂梁上放置线圈或者磁体,在振动的作用下与固定部分产生相对位移进而产生电能。文献[14 -15 ]分别对悬臂梁的材料、结构进行了优化。文献[16 ]磁体采用Halbach阵列结构提升发电性能。此种发电方式结构简单,但是很难保证磁体与线圈保持重心重合,进而影响发电效果。文献[17 ]采用膜片弹簧结构,并利用有限元法对其结构进行了优化设计。此种结构能够保证重心重合,但是其共振频率较高,且振幅放大过小。文献[18 -19 ]利用磁弹簧进行能量收集,文献[18 ]利用解析法确定了磁弹簧的线性和非线性刚度系数的近似解析表达式,并利用所建立的动力学模型对发电功率进行了研究。文献[19 ]为克服只有一个磁体进行能量收集的局限性,提出了一种圆筒形电机结构,增大了发电功率,不过也增加了磁体成本,绕组结构也变得复杂。文献[20 ]设计了一种基于弹簧进行能量收集装置,并建立了动力学模型,而其采用音圈电机结构,限制了发电效率。
本文利用弹簧振幅放大原理设计了一种电磁式振动能量收集装置,并利用3种不同频率的工况条件进一步验证了所提装置的合理性。
1 发电机结构设计
本文设计的能量收集装置[21 ] ,利用弹簧机构对动磁式圆筒形直线电机动子进行振幅放大,基本结构如图1 所示。该装置安装于振动体最大振幅的轴向位置,导轨轴上载磁体在弹簧作用下与定子产生相对位移,线槽中的绕组切割磁感线产生电压。电机定子部分有2个直径不同的法兰直线轴承、线圈、背铁与绕组槽。大径直线轴承内径大,在靠近弹簧位置,由于该处承受主要载荷,采用较大内径以使直线轴承满足载荷要求。直线轴承内径越大,径向跳动越大。为限制导轨轴承的径向跳动减小气隙长度,电机上方采用内径较小的小径直线轴承对导轨轴限位。2个直线轴承与导轨轴采用间隙配合的方式,既保障了动子与定子的同轴度,又使电机动子与定子为滚动摩擦方式,极大地减小了摩擦力。线圈在线槽内按顺、逆时针依次缠绕。在动子部分,圆环型磁体按照充磁方式交替放置于直线导轨上,磁体间分布有导磁体用以调节磁间距,由定位环对磁体与导磁体进行固定。永磁体采用轴向充磁的圆柱形永磁体,绕组结构简单,利于磁体充磁,制作工艺高且漏磁少。圆柱弹簧使电机的动子与电机动子运动不同步,并且若能合理设计弹簧,将能够起到振幅放大的作用。
图1
图1
振动能量收集装置结构图
Fig. 1
Structure diagram of vibration energy harvesting device
2 数学模型
2.1 电磁模型
以线圈与永磁体的横向轴心、纵向轴心的交点作为坐标原点建立圆柱坐标系,各坐标轴分别为径向r 、切向φ 、轴向z ,则线圈处磁感应强度可以分解为B = B r e r + B φ e φ + B Z e z 。放置于直线导轨的磁体相对线圈的位移微分矢量设为x z = d x e z ,速度微分矢量v = d x e z / d t , 。线圈绕z 轴绕制,则线圈长度的微分矢量表示为d l = r e φ d φ ,磁场面积微分矢量为d S c = r e φ d r d φ 。任意一匝线圈所产生的电动势E 等于线圈切割径向磁感线的感生电动势E i e f 与磁体轴向运动引起线圈磁通量变化而产生的轴向动生电动势E m e f 之和,则有:
E = E m e f + E i e f = v B r l - ∂ B z ∂ h S t =
v B r l - ∂ B z ∂ h S t = Z w s i n ( w t ) B r l - ∂ B z ∂ h S t (1)
式中:S t 为磁通面积;∂ h 为z 轴方向位移微分矢量;w 为振动角频率;Z为 动子、定子位移差幅值。
由式(1)可知,在振动频率、电机参数一定时,所设计能量收集装置输出电压与动子、定子位移差幅值Z 正相关,若能够使Z 提高,必然能够提高电机输出电压。
2.2 动力学模型
振动能量收集装置动子部分动力学等效模型如图2 所示。该模型由等效质量为M 的振子、弹性刚度为k 的弹簧、黏滞阻尼系数为c 的阻尼器与振动基础组成。设x (t )为振动基础随时间t 变化的振动轨迹,振幅为X ;y (t )为等效质量为M 的振子随时间变化的振动轨迹;z (t )为振动基础与振子的相对运动轨迹。
图2
图2
动力学模型
Fig. 2
Kinetic model
M x ¨ + c ( y ˙ - x ˙ ) + k ( y - x ) = 0 (2)
M z ¨ + c z ˙ + k z = - M x ¨ = M w 2 X s i n ( w t ) (3)
z ( t ) = M w 2 X s i n ( w t - ϕ ) [ ( k - M w 2 ) 2 + ( c w ) 2 ] 1 / 2 (4)
w n = k M (5)
c = 2 M ξ w n (6)
z ( t ) = w 2 X s i n ( w t - ϕ ) [ ( w n 2 - w 2 ) 2 + ( 2 ξ w ) 2 ] 1 / 2 (7)
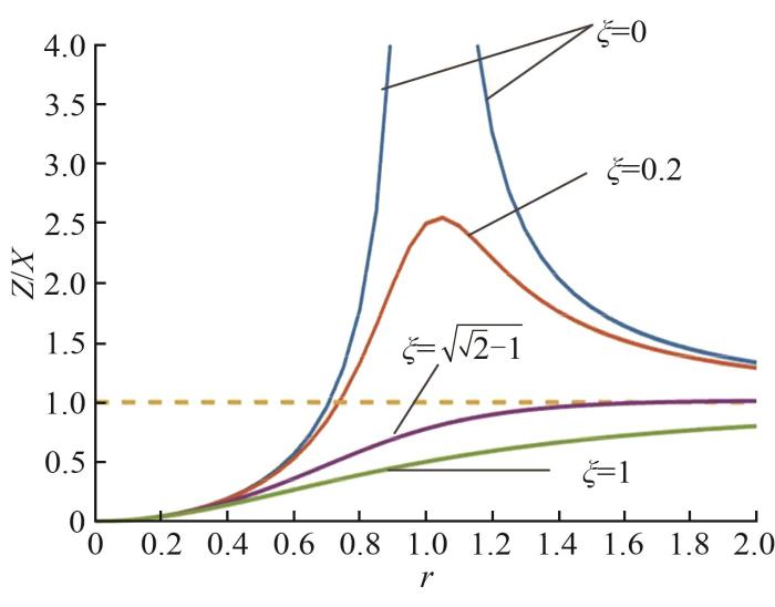
Z = r 2 X [ ( 1 - r 2 ) 2 + ( 2 ξ r ) 2 ] 1 / 2 (8)
由式(8)可得不同阻尼比下Z /X 随频率比r 的变化情况,如图3 所示。当ξ < 2 - 1 时能够实现振幅放大;阻尼越小,振幅放大效果越好;阻尼一定时,当r = 1 1 - ξ 2 ,振幅放大最大。
图3
图3
不同阻尼比下Z /X 随频率比r 的变化情况
Fig. 3
Variation of Z /X with frequency ratio r under different damping ratios
导轨及磁体质量为m ,弹簧质量为m t ,振子等效质量M 为
M = m + m t 3 (9)
k = w 2 ( 1 - ξ 2 ) 2 ( m + m t 3 ) (10)
3 振幅放大设计
由第1节可知,提高动子速度可以提高发电机的输出电压。在第2节中分析得出,利用弹簧可以使振幅得到放大。故针对具体工况对弹簧提出了较高的要求,必须合理地对弹簧进行设计。65Mn钢丝,切变模量G 为78.5 GPa,许用应力[ τ ] 为2 550 MPa,其具有强度高、疲劳性能好的优点,特别适合用作应力振幅高、疲劳性能要求严的弹簧,故以此种钢丝为基础进行设计。图4 为弹簧结构示意图,其中,D 为弹簧中径;H 为弹簧高度;d 为弹簧线径;t 为弹簧节距;s 为弹簧圈间距。弹簧圈数n 包括有效圈数n 1 和支撑圈数n 2 。
图4
图4
弹簧结构图
Fig. 4
Spring structure diagram
l g N = l g C - a l g σ (11)
由电机结构可知,弹簧高度减少能够有效减小电机体积。通过式(11)可知,若使弹簧拥有较长的疲劳寿命,弹簧的应力应当尽量小;为避免弹簧发生共振,弹簧共振频率应当尽量高。故将弹簧高度、弹簧扭转剪切力、弹簧自振频率作为一设计目标。
弹簧丝界面最大剪切力σ = K 8 F D π d 3 ,其中,F 为工作载荷,曲度系数K = 1.6 C 0.14 。
m i n f 1 ( X ) = 12.8 D 0.86 π d 2.86 (12)
弹簧高度H 由弹簧有效圈数n 1 与弹簧节距t 决定,并且弹簧间距应当大于等于工作行程Y m a x 。
H = t n 1 + 2 d (13)
t = d + Y m a x n 1 + R (14)
m i n f 2 ( X ) = ( d + Y m a x n 1 + R ) n 1 + 2 d (15)
弹簧自振会对弹簧寿命及能量收集装置的稳定性造成影响,故自振频率f r 应远离工作频率。
f r = 3.56 × 10 5 d D 2 n 1 (16)
m i n f 3 ( X ) = 1 f r (17)
o b j f 1 * ( X ) = f 1 ( X ) - f 1 ( m i n ) f 1 ( m a x ) - f 1 ( m i n ) f 2 * ( X ) = f 2 ( X ) - f 2 ( m i n ) f 2 ( m a x ) - f 2 ( m i n ) f 3 * ( X ) = f 3 ( X ) - f 3 ( m i n ) f 3 ( m a x ) - f 3 ( m i n ) (18)
设f 1 * 、f 2 * 、f 3 * 目标权重分别为w 1 、w 2 、w 3 ,将多目标转化为单目标,即
m i n f = w 1 × f 1 * + w 2 × f 2 * + w 3 × f 3 * (19)
弹簧弹性系数由弹簧线径d 、弹簧中经D 等参数决定,如式(20)所示:
k = 1 000 G d 4 8 n 1 D 3 (20)
1 000 G d 4 = 8 ( 1 - ξ 2 ) 2 w 2 D 3 n 1 M (21)
m t = n π D ρ π d 2 4 (22)
C = D d ≥ 6 (23)
为保障弹簧稳定性,避免弹簧失稳,应满足如下约束条件:
H D ≤ 5.3 (24)
为防止弹簧发生共振,弹簧自振频率f r 应大于振动频率f 的10倍,满足如下约束条件:
f r = 3.56 × 10 5 d D 2 n ≥ 10 f (25)
d = d * = 0.5,0.6,0.7,0.8,0.9,1 , 1.2 ,
1.4,1.5,1.6,1.8,2 , 2.5,3 , 3.5 (26)
10 m m + d 2 ≤ D ≤ 30 m m - d 2 (27)
为保障弹簧的疲劳寿命,并考虑弹簧圈数的加工情况,应满足如下条件:
σ ≤ [ τ ] (28)
3 ≤ n 1 ≤ 10 , 2 n 1 ∈ N * (29)
根据图5 所示流程图对所采用弹簧进行优化设计。在MATLAB环境下编写程序,得到最优解为d =1.2,n =8,D =12.4。
图5
图5
弹簧设计流程图
Fig. 5
Flow chart of spring design
4 仿真分析
根据最优化所得结果,利用Solid-Works软件建立两端并紧,且两端磨平的弹簧模型,并将模型导入,利用ANSYS Workbench软件对弹簧进行模态分析,如图6 所示,得出弹簧的固有频率为191.15 Hz,满足弹簧自振要求。对振幅放大机构进行模态分析,得到其一阶模态为14.91 Hz,如图7 所示,与理论分析一致,满足设计要求。
图6
图6
弹簧一阶模态
Fig. 6
Spring first-order mode
图7
图7
振幅放大机构一阶模态
Fig. 7
The first-order mode of the amplitude amplification mechanism
通过初步试验得知,在谐振状态下,所设计的振幅放大机构可以将电机动子振幅放大8倍。通过Ansys软件对振幅放大机构进行静力学分析,使弹簧压缩为9 mm,得到振幅放大机构的应力图如图8 所示。由图8 可知,放大机构的最大应力为642.09 M P a < 0.3 × [ τ ] ,满足无限疲劳寿命要求。
图8
图8
振幅放大机构的应力图
Fig. 8
Stress diagram of the amplitude amplification mechanism
5 实验平台搭建及实验验证
5.1 实验平台
依据理论计算与仿真情况制作了样机,并搭建实验平台,如图9 所示。振动台作为振动物体提供系统输入振幅,振动台控制系统与振动台实现闭环控制,确保振动的可靠性,激光传感器用以检测动子位移,示波器用以测量空载电压。
图9
图9
实验平台
Fig. 9
Experimental platform
5.2 实验验证
通过搭建的实验平台对电机在5~25 Hz范围进行扫频实验,记录振幅Z 、电压U ,其结果如图10 所示。由图10 可知,在15 Hz附近,振幅与电压均达到最大值,与设计相吻合,其中在15 Hz附近,振幅达到最大值7.98 mm,电压达到最大值22.8 V,结果如图11 所示。最大输出功率达到0.44 W。
图10
图10
电压、振幅随频率变化曲线
Fig. 10
Voltage and amplitude change with frequency
图11
图11
15 Hz电压波形
Fig. 11
15 Hz voltage waveform
工况不同,振动频率也存在差异,为使本电机更好地应用于生产生活,在振动幅值为1 mm,频率分别为13.5、16、17.5 Hz工况下,利用本文所提方法对弹簧进行设计,应用扫频方法对最大电压值进行捕捉,所得对应最大电压波形图如图12 所示。
图12
图12
不同频率下最大电压波形
Fig. 12
Maximum voltage waveform at different frequencies
通过以上波形图可以看出,3种不同工况下发电装置的共振频率分别为13.51、16.12、17.72 Hz,对应最大电压分别为22、26.4、34 V。电压波形接近于正弦,并且共振频率越高,电压越高。实验结果与设计基本吻合,进一步验证了利用本电机及所提优化方法能够较好地实现振动发电,并且具有应用于多领域的潜力。
6 结论
1)能量收集装置的法兰直线轴承与动子轴采用间隙配合的方式,不仅较好地保证了电机动子与轴承的同轴度,也使直线轴承与动子的摩擦力较小,从而可以更好地实现振幅放大。上下2个大小不一的直线轴承相互配合,直线轴承能承受较大载荷,并且极大地限制了动子的径向跳动。
2)通过建立发电机空载电压与弹簧振幅放大机构的数学模型,得到空载电压幅值跟动子和定子的相对速度呈正相关的关系,以及弹簧振幅放大机构达到最佳弹簧弹性系数应当满足的要求,为振幅放大机构的设计提供参考。
3)振幅放大机构的设计考虑了弹簧本身自重,针对振动频率为15 Hz、振幅为1 mm的样例工况对弹簧进行了优化设计,使得振幅放大机构更加精确地达到最佳振幅放大状态,从而使得电机捕获较高的电能。
4)样例工况下利用Ansys软件对所设计的弹簧进行了分析,验证了模型的准确性和设计的合理性,能够满足工况要求。
5)根据设计方案制作了样机并搭建实验平台,对所提设计方案进行了实验验证,结果表明,在样例工况下,所设计电机空载电压可以达到22.8 V,最大输出功率为0.44 W。为使本方案能够更好地应用于更广泛振动发电领域,以3种不同频率工况为例,进一步验证了所设计装置与所提方法的合理性与有效性。
参考文献
View Option
[1]
[本文引用: 1]
JIANG H L , LIU Y X , FENG Y M ,et al . Analysis of power generation technology trend in 14th Five-Year Plan under the background of carbon peak and carbon neutral
[J].Power Generation Technology ,2022 ,43 (1 ):54 -64 . doi:10.12096/j.2096-4528.pgt.21030
[本文引用: 1]
[3]
WANG K , WANG G , DAI X ,et al .Implementation of dual-nonlinearity mechanism for bandwidth extension of MEMS multi-modal energy harvester
[J].Journal of Microelectromechanical Systems ,2020 ,30 (1 ):2 -14 . doi:10.1109/jmems.2020.3036901
[本文引用: 1]
[4]
SRIRAMDAS R , PRATAP R .Scaling and performance analysis of MEMS piezoelectric energy harvesters
[J].Journal of Microelectromechanical Systems ,2017 ,26 (3 ):679 -690 . doi:10.1109/jmems.2017.2689326
[本文引用: 1]
[5]
QUATTROCCHI A , FRENI F , MONTANINI R .Power conversion efficiency of cantilever-type vibration energy harvesters based on piezoceramic films
[J].IEEE Transactions on Instrumentation and Measurement ,2020 ,70 :1 -9 . doi:10.1109/tim.2020.3026462
[本文引用: 1]
[6]
HASEGAWA K , UENO T , KIWATA T .Proposal of wind vibrational power generator using magnetostrictive material
[J].IEEE Transactions on Magnetics ,2019 ,55 (7 ):1 -4 . doi:10.1109/tmag.2019.2904538
[本文引用: 1]
[7]
高爽 .悬臂式Fe-Ga合金振动发电系统特性研究
[D].沈阳 :沈阳工业大学 ,2019 .
[本文引用: 1]
GAO S .Research on characteristics of cantilever Fe-Ga alloy vibration power generation system
[D].Shenyang :Shenyang University of Technology ,2019 .
[本文引用: 1]
[8]
KITTIPAISALSILPA K , KATO T , SUZUKI Y .Liquid-crystal-enhanced electrostatic vibration generator
[C]//2016 IEEE 29th International Conference on Micro Electro Mechanical Systems (MEMS) .Shanghai,China :IEEE ,2016 :37 -40 . doi:10.1109/memsys.2016.7421551
[本文引用: 1]
[9]
HONMA H , TOSHIYOSHI H .A double-deck structured MEMS electrostatic vibrational energy harvester for minimal footprint
[C]//2019 IEEE 32nd International Conference on Micro Electro Mechanical Systems (MEMS) .Seoul,South Korea :IEEE ,2019 :1017 -1020 . doi:10.1109/memsys.2019.8870642
[本文引用: 1]
[10]
JIANG D , LIU G , LI W ,et al .A leaf-shaped triboelectric nanogenerator for multiple ambient mechanical energy harvesting
[J].IEEE Transactions on Power Electronics ,2019 ,35 (1 ):25 -32 . doi:10.1109/tpel.2019.2921152
[本文引用: 1]
[11]
FAN K , LIU J , WEI D ,et al .A cantilever-plucked and vibration-driven rotational energy harvester with high electric outputs
[J].Energy Conversion and Management ,2021 ,244 :114504 . doi:10.1016/j.enconman.2021.114504
[本文引用: 2]
[12]
ZHANG Y , LUO A , WANG Y ,et al .Rotational electromagnetic energy harvester for human motion application at low frequency
[J].Applied Physics Letters ,2020 ,116 (5 ):053902 . doi:10.1063/1.5142575
[本文引用: 1]
[13]
WANG Y , WANG P , LI S ,et al .An electro-magnetic vibration energy harvester using a magnet-array-based vibration-to-rotation conversion mechanism
[J].Energy Conversion and Management ,2022 ,253 :115146 . doi:10.1016/j.enconman.2021.115146
[本文引用: 2]
[14]
FOONG F M , THEIN C K , YURCHENKO D .Structural optimisation through material selections for multi-cantilevered vibration electromagnetic energy harvesters
[J].Mechanical Systems and Signal Processing ,2022 ,162 :108044 . doi:10.1016/j.ymssp.2021.108044
[本文引用: 2]
[15]
THEIN C K , FOONG F M , SHU Y C .Damping ratio and power output prediction of an electromagnetic energy harvester designed through finite element analysis
[J].Sensors and Actuators A:Physical ,2019 ,286 :220 -231 . doi:10.1016/j.sna.2018.12.041
[本文引用: 1]
[16]
QIU J , LIU X , CHEN H ,et al .A low-frequency resonant electromagnetic vibration energy harvester employing the Halbach arrays for intelligent wireless sensor networks
[J].IEEE Transactions on Magnetics ,2015 ,51 (11 ):1 -4 . doi:10.1109/tmag.2015.2455041
[本文引用: 2]
[17]
NEZAMI S , LEE S , JIN J ,et al .Shape optimization of railroad vibration energy harvester for structural robustness and power generation performance
[J].Engineering Structures ,2018 ,173 :460 -471 . doi:10.1016/j.engstruct.2018.07.011
[本文引用: 1]
[18]
NGUYEN H T , GENOV D A , BARDAWEEL H .Vibration energy harvesting using magnetic spring based nonlinear oscillators:design strategies and insights
[J].Applied Energy ,2020 ,269 :115102 . doi:10.1016/j.apenergy.2020.115102
[本文引用: 2]
[19]
HE W , QU C .A magnetically levitated magneto-electric vibration generator using a Halbach array
[J].Sensors and Actuators A:Physical ,2020 ,315 :112301 . doi:10.1016/j.sna.2020.112301
[本文引用: 2]
[20]
YANG X , LAI S K , WANG C ,et al .On a spring-assisted multi-stable hybrid-integrated vibration energy harvester for ultra-low-frequency excitations
[J].Ener-gy ,2022 :124028 . doi:10.1016/j.energy.2022.124028
[本文引用: 1]
[21]
[本文引用: 1]
ZHANG B , YANG Y B , FENG Z ,et al .A cylindrical linear generator that absorbs vibration energy
:ZL202122032818.X [P].2022-02-01 . doi:10.1109/ldia49489.2021.9505940
[本文引用: 1]
碳达峰、碳中和背景下“十四五”时期发电技术趋势分析
1
2022
... 新能源发电技术在实现我国碳中和目标[1 ] 、减少环境污染、实现我国高质量发展[2 ] 等方面发挥着至关重要的作用.环境中的振动无处不在、无时不有,例如,钻井钻头钻探、汽车驶过桥梁或者隧道、火车驶过钢轨等都会有振动产生.利用振动的能量进行发电,对于无线传感器自供电以及一些便携设备供电都会产生深远的影响. ...
碳达峰、碳中和背景下“十四五”时期发电技术趋势分析
1
2022
... 新能源发电技术在实现我国碳中和目标[1 ] 、减少环境污染、实现我国高质量发展[2 ] 等方面发挥着至关重要的作用.环境中的振动无处不在、无时不有,例如,钻井钻头钻探、汽车驶过桥梁或者隧道、火车驶过钢轨等都会有振动产生.利用振动的能量进行发电,对于无线传感器自供电以及一些便携设备供电都会产生深远的影响. ...
“双碳”形势下电力行业氢能应用研究
1
2022
... 新能源发电技术在实现我国碳中和目标[1 ] 、减少环境污染、实现我国高质量发展[2 ] 等方面发挥着至关重要的作用.环境中的振动无处不在、无时不有,例如,钻井钻头钻探、汽车驶过桥梁或者隧道、火车驶过钢轨等都会有振动产生.利用振动的能量进行发电,对于无线传感器自供电以及一些便携设备供电都会产生深远的影响. ...
“双碳”形势下电力行业氢能应用研究
1
2022
... 新能源发电技术在实现我国碳中和目标[1 ] 、减少环境污染、实现我国高质量发展[2 ] 等方面发挥着至关重要的作用.环境中的振动无处不在、无时不有,例如,钻井钻头钻探、汽车驶过桥梁或者隧道、火车驶过钢轨等都会有振动产生.利用振动的能量进行发电,对于无线传感器自供电以及一些便携设备供电都会产生深远的影响. ...
Implementation of dual-nonlinearity mechanism for bandwidth extension of MEMS multi-modal energy harvester
1
2020
... 现有振动发电装置有压电式、磁致伸缩式、静电式、摩擦生电式、电磁式等5种类型[3 ] .压电式装置固有频率普遍较高,在低频振动环境中适应性相对较差,且需要复杂的内部电路,封装方式较复杂[4 -5 ] .磁致伸缩式装置对产生形变的磁致材料要求很高,共振频率较高[6 -7 ] .静电式振动发电装置需要初始电压,不能实现完全自供能[8 ] .摩擦生电式装置对材料的选材要求高,并且阴阳极的磨损会对寿命产生较大影响[9 -10 ] .电磁式振动发电装置相对其他振动发电方式具有较高功率输出,无特殊材料需求,生产成本较低,相对风电与太阳能发电受环境影响小,能够较好地满足发电应用需求. ...
Scaling and performance analysis of MEMS piezoelectric energy harvesters
1
2017
... 现有振动发电装置有压电式、磁致伸缩式、静电式、摩擦生电式、电磁式等5种类型[3 ] .压电式装置固有频率普遍较高,在低频振动环境中适应性相对较差,且需要复杂的内部电路,封装方式较复杂[4 -5 ] .磁致伸缩式装置对产生形变的磁致材料要求很高,共振频率较高[6 -7 ] .静电式振动发电装置需要初始电压,不能实现完全自供能[8 ] .摩擦生电式装置对材料的选材要求高,并且阴阳极的磨损会对寿命产生较大影响[9 -10 ] .电磁式振动发电装置相对其他振动发电方式具有较高功率输出,无特殊材料需求,生产成本较低,相对风电与太阳能发电受环境影响小,能够较好地满足发电应用需求. ...
Power conversion efficiency of cantilever-type vibration energy harvesters based on piezoceramic films
1
2020
... 现有振动发电装置有压电式、磁致伸缩式、静电式、摩擦生电式、电磁式等5种类型[3 ] .压电式装置固有频率普遍较高,在低频振动环境中适应性相对较差,且需要复杂的内部电路,封装方式较复杂[4 -5 ] .磁致伸缩式装置对产生形变的磁致材料要求很高,共振频率较高[6 -7 ] .静电式振动发电装置需要初始电压,不能实现完全自供能[8 ] .摩擦生电式装置对材料的选材要求高,并且阴阳极的磨损会对寿命产生较大影响[9 -10 ] .电磁式振动发电装置相对其他振动发电方式具有较高功率输出,无特殊材料需求,生产成本较低,相对风电与太阳能发电受环境影响小,能够较好地满足发电应用需求. ...
Proposal of wind vibrational power generator using magnetostrictive material
1
2019
... 现有振动发电装置有压电式、磁致伸缩式、静电式、摩擦生电式、电磁式等5种类型[3 ] .压电式装置固有频率普遍较高,在低频振动环境中适应性相对较差,且需要复杂的内部电路,封装方式较复杂[4 -5 ] .磁致伸缩式装置对产生形变的磁致材料要求很高,共振频率较高[6 -7 ] .静电式振动发电装置需要初始电压,不能实现完全自供能[8 ] .摩擦生电式装置对材料的选材要求高,并且阴阳极的磨损会对寿命产生较大影响[9 -10 ] .电磁式振动发电装置相对其他振动发电方式具有较高功率输出,无特殊材料需求,生产成本较低,相对风电与太阳能发电受环境影响小,能够较好地满足发电应用需求. ...
悬臂式Fe-Ga合金振动发电系统特性研究
1
2019
... 现有振动发电装置有压电式、磁致伸缩式、静电式、摩擦生电式、电磁式等5种类型[3 ] .压电式装置固有频率普遍较高,在低频振动环境中适应性相对较差,且需要复杂的内部电路,封装方式较复杂[4 -5 ] .磁致伸缩式装置对产生形变的磁致材料要求很高,共振频率较高[6 -7 ] .静电式振动发电装置需要初始电压,不能实现完全自供能[8 ] .摩擦生电式装置对材料的选材要求高,并且阴阳极的磨损会对寿命产生较大影响[9 -10 ] .电磁式振动发电装置相对其他振动发电方式具有较高功率输出,无特殊材料需求,生产成本较低,相对风电与太阳能发电受环境影响小,能够较好地满足发电应用需求. ...
悬臂式Fe-Ga合金振动发电系统特性研究
1
2019
... 现有振动发电装置有压电式、磁致伸缩式、静电式、摩擦生电式、电磁式等5种类型[3 ] .压电式装置固有频率普遍较高,在低频振动环境中适应性相对较差,且需要复杂的内部电路,封装方式较复杂[4 -5 ] .磁致伸缩式装置对产生形变的磁致材料要求很高,共振频率较高[6 -7 ] .静电式振动发电装置需要初始电压,不能实现完全自供能[8 ] .摩擦生电式装置对材料的选材要求高,并且阴阳极的磨损会对寿命产生较大影响[9 -10 ] .电磁式振动发电装置相对其他振动发电方式具有较高功率输出,无特殊材料需求,生产成本较低,相对风电与太阳能发电受环境影响小,能够较好地满足发电应用需求. ...
Liquid-crystal-enhanced electrostatic vibration generator
1
2016
... 现有振动发电装置有压电式、磁致伸缩式、静电式、摩擦生电式、电磁式等5种类型[3 ] .压电式装置固有频率普遍较高,在低频振动环境中适应性相对较差,且需要复杂的内部电路,封装方式较复杂[4 -5 ] .磁致伸缩式装置对产生形变的磁致材料要求很高,共振频率较高[6 -7 ] .静电式振动发电装置需要初始电压,不能实现完全自供能[8 ] .摩擦生电式装置对材料的选材要求高,并且阴阳极的磨损会对寿命产生较大影响[9 -10 ] .电磁式振动发电装置相对其他振动发电方式具有较高功率输出,无特殊材料需求,生产成本较低,相对风电与太阳能发电受环境影响小,能够较好地满足发电应用需求. ...
A double-deck structured MEMS electrostatic vibrational energy harvester for minimal footprint
1
2019
... 现有振动发电装置有压电式、磁致伸缩式、静电式、摩擦生电式、电磁式等5种类型[3 ] .压电式装置固有频率普遍较高,在低频振动环境中适应性相对较差,且需要复杂的内部电路,封装方式较复杂[4 -5 ] .磁致伸缩式装置对产生形变的磁致材料要求很高,共振频率较高[6 -7 ] .静电式振动发电装置需要初始电压,不能实现完全自供能[8 ] .摩擦生电式装置对材料的选材要求高,并且阴阳极的磨损会对寿命产生较大影响[9 -10 ] .电磁式振动发电装置相对其他振动发电方式具有较高功率输出,无特殊材料需求,生产成本较低,相对风电与太阳能发电受环境影响小,能够较好地满足发电应用需求. ...
A leaf-shaped triboelectric nanogenerator for multiple ambient mechanical energy harvesting
1
2019
... 现有振动发电装置有压电式、磁致伸缩式、静电式、摩擦生电式、电磁式等5种类型[3 ] .压电式装置固有频率普遍较高,在低频振动环境中适应性相对较差,且需要复杂的内部电路,封装方式较复杂[4 -5 ] .磁致伸缩式装置对产生形变的磁致材料要求很高,共振频率较高[6 -7 ] .静电式振动发电装置需要初始电压,不能实现完全自供能[8 ] .摩擦生电式装置对材料的选材要求高,并且阴阳极的磨损会对寿命产生较大影响[9 -10 ] .电磁式振动发电装置相对其他振动发电方式具有较高功率输出,无特殊材料需求,生产成本较低,相对风电与太阳能发电受环境影响小,能够较好地满足发电应用需求. ...
A cantilever-plucked and vibration-driven rotational energy harvester with high electric outputs
2
2021
... 国内外学者针对电磁式振动发电装置进行了大量的研究.现有电磁式振动发电装置大体可以分为旋转式与直动式,文献[11 -13 ]均采用旋转式结构.文献[11 ]提出了一种振动-旋转转换结构,其结构利用带磁体的悬臂梁振动拨动带线圈的转子以产生电能,此结构相对简单,但是摩擦损耗不可避免.文献[12 ]在结构上进行了优化,利用扭转驱动结构和棘轮离合器结构将直线运动转化为高速旋转运动.文献[13 ]所设计振动-旋转能量收集装置实现了将多个方向的振动转化为旋转进行能量收集,并且线性运动和旋转-运动部件没有直接的物理接触,避免了物理接触引起的摩擦力、材料磨损等,但其结构也变复杂.直动式结构可以直接将振动能量转换为动能.文献[14 -16 ]采用直动式悬臂电磁振动发电装置进行能量收集,其基本结构为悬臂梁上放置线圈或者磁体,在振动的作用下与固定部分产生相对位移进而产生电能.文献[14 -15 ]分别对悬臂梁的材料、结构进行了优化.文献[16 ]磁体采用Halbach阵列结构提升发电性能.此种发电方式结构简单,但是很难保证磁体与线圈保持重心重合,进而影响发电效果.文献[17 ]采用膜片弹簧结构,并利用有限元法对其结构进行了优化设计.此种结构能够保证重心重合,但是其共振频率较高,且振幅放大过小.文献[18 -19 ]利用磁弹簧进行能量收集,文献[18 ]利用解析法确定了磁弹簧的线性和非线性刚度系数的近似解析表达式,并利用所建立的动力学模型对发电功率进行了研究.文献[19 ]为克服只有一个磁体进行能量收集的局限性,提出了一种圆筒形电机结构,增大了发电功率,不过也增加了磁体成本,绕组结构也变得复杂.文献[20 ]设计了一种基于弹簧进行能量收集装置,并建立了动力学模型,而其采用音圈电机结构,限制了发电效率. ...
... ]均采用旋转式结构.文献[11 ]提出了一种振动-旋转转换结构,其结构利用带磁体的悬臂梁振动拨动带线圈的转子以产生电能,此结构相对简单,但是摩擦损耗不可避免.文献[12 ]在结构上进行了优化,利用扭转驱动结构和棘轮离合器结构将直线运动转化为高速旋转运动.文献[13 ]所设计振动-旋转能量收集装置实现了将多个方向的振动转化为旋转进行能量收集,并且线性运动和旋转-运动部件没有直接的物理接触,避免了物理接触引起的摩擦力、材料磨损等,但其结构也变复杂.直动式结构可以直接将振动能量转换为动能.文献[14 -16 ]采用直动式悬臂电磁振动发电装置进行能量收集,其基本结构为悬臂梁上放置线圈或者磁体,在振动的作用下与固定部分产生相对位移进而产生电能.文献[14 -15 ]分别对悬臂梁的材料、结构进行了优化.文献[16 ]磁体采用Halbach阵列结构提升发电性能.此种发电方式结构简单,但是很难保证磁体与线圈保持重心重合,进而影响发电效果.文献[17 ]采用膜片弹簧结构,并利用有限元法对其结构进行了优化设计.此种结构能够保证重心重合,但是其共振频率较高,且振幅放大过小.文献[18 -19 ]利用磁弹簧进行能量收集,文献[18 ]利用解析法确定了磁弹簧的线性和非线性刚度系数的近似解析表达式,并利用所建立的动力学模型对发电功率进行了研究.文献[19 ]为克服只有一个磁体进行能量收集的局限性,提出了一种圆筒形电机结构,增大了发电功率,不过也增加了磁体成本,绕组结构也变得复杂.文献[20 ]设计了一种基于弹簧进行能量收集装置,并建立了动力学模型,而其采用音圈电机结构,限制了发电效率. ...
Rotational electromagnetic energy harvester for human motion application at low frequency
1
2020
... 国内外学者针对电磁式振动发电装置进行了大量的研究.现有电磁式振动发电装置大体可以分为旋转式与直动式,文献[11 -13 ]均采用旋转式结构.文献[11 ]提出了一种振动-旋转转换结构,其结构利用带磁体的悬臂梁振动拨动带线圈的转子以产生电能,此结构相对简单,但是摩擦损耗不可避免.文献[12 ]在结构上进行了优化,利用扭转驱动结构和棘轮离合器结构将直线运动转化为高速旋转运动.文献[13 ]所设计振动-旋转能量收集装置实现了将多个方向的振动转化为旋转进行能量收集,并且线性运动和旋转-运动部件没有直接的物理接触,避免了物理接触引起的摩擦力、材料磨损等,但其结构也变复杂.直动式结构可以直接将振动能量转换为动能.文献[14 -16 ]采用直动式悬臂电磁振动发电装置进行能量收集,其基本结构为悬臂梁上放置线圈或者磁体,在振动的作用下与固定部分产生相对位移进而产生电能.文献[14 -15 ]分别对悬臂梁的材料、结构进行了优化.文献[16 ]磁体采用Halbach阵列结构提升发电性能.此种发电方式结构简单,但是很难保证磁体与线圈保持重心重合,进而影响发电效果.文献[17 ]采用膜片弹簧结构,并利用有限元法对其结构进行了优化设计.此种结构能够保证重心重合,但是其共振频率较高,且振幅放大过小.文献[18 -19 ]利用磁弹簧进行能量收集,文献[18 ]利用解析法确定了磁弹簧的线性和非线性刚度系数的近似解析表达式,并利用所建立的动力学模型对发电功率进行了研究.文献[19 ]为克服只有一个磁体进行能量收集的局限性,提出了一种圆筒形电机结构,增大了发电功率,不过也增加了磁体成本,绕组结构也变得复杂.文献[20 ]设计了一种基于弹簧进行能量收集装置,并建立了动力学模型,而其采用音圈电机结构,限制了发电效率. ...
An electro-magnetic vibration energy harvester using a magnet-array-based vibration-to-rotation conversion mechanism
2
2022
... 国内外学者针对电磁式振动发电装置进行了大量的研究.现有电磁式振动发电装置大体可以分为旋转式与直动式,文献[11 -13 ]均采用旋转式结构.文献[11 ]提出了一种振动-旋转转换结构,其结构利用带磁体的悬臂梁振动拨动带线圈的转子以产生电能,此结构相对简单,但是摩擦损耗不可避免.文献[12 ]在结构上进行了优化,利用扭转驱动结构和棘轮离合器结构将直线运动转化为高速旋转运动.文献[13 ]所设计振动-旋转能量收集装置实现了将多个方向的振动转化为旋转进行能量收集,并且线性运动和旋转-运动部件没有直接的物理接触,避免了物理接触引起的摩擦力、材料磨损等,但其结构也变复杂.直动式结构可以直接将振动能量转换为动能.文献[14 -16 ]采用直动式悬臂电磁振动发电装置进行能量收集,其基本结构为悬臂梁上放置线圈或者磁体,在振动的作用下与固定部分产生相对位移进而产生电能.文献[14 -15 ]分别对悬臂梁的材料、结构进行了优化.文献[16 ]磁体采用Halbach阵列结构提升发电性能.此种发电方式结构简单,但是很难保证磁体与线圈保持重心重合,进而影响发电效果.文献[17 ]采用膜片弹簧结构,并利用有限元法对其结构进行了优化设计.此种结构能够保证重心重合,但是其共振频率较高,且振幅放大过小.文献[18 -19 ]利用磁弹簧进行能量收集,文献[18 ]利用解析法确定了磁弹簧的线性和非线性刚度系数的近似解析表达式,并利用所建立的动力学模型对发电功率进行了研究.文献[19 ]为克服只有一个磁体进行能量收集的局限性,提出了一种圆筒形电机结构,增大了发电功率,不过也增加了磁体成本,绕组结构也变得复杂.文献[20 ]设计了一种基于弹簧进行能量收集装置,并建立了动力学模型,而其采用音圈电机结构,限制了发电效率. ...
... ]在结构上进行了优化,利用扭转驱动结构和棘轮离合器结构将直线运动转化为高速旋转运动.文献[13 ]所设计振动-旋转能量收集装置实现了将多个方向的振动转化为旋转进行能量收集,并且线性运动和旋转-运动部件没有直接的物理接触,避免了物理接触引起的摩擦力、材料磨损等,但其结构也变复杂.直动式结构可以直接将振动能量转换为动能.文献[14 -16 ]采用直动式悬臂电磁振动发电装置进行能量收集,其基本结构为悬臂梁上放置线圈或者磁体,在振动的作用下与固定部分产生相对位移进而产生电能.文献[14 -15 ]分别对悬臂梁的材料、结构进行了优化.文献[16 ]磁体采用Halbach阵列结构提升发电性能.此种发电方式结构简单,但是很难保证磁体与线圈保持重心重合,进而影响发电效果.文献[17 ]采用膜片弹簧结构,并利用有限元法对其结构进行了优化设计.此种结构能够保证重心重合,但是其共振频率较高,且振幅放大过小.文献[18 -19 ]利用磁弹簧进行能量收集,文献[18 ]利用解析法确定了磁弹簧的线性和非线性刚度系数的近似解析表达式,并利用所建立的动力学模型对发电功率进行了研究.文献[19 ]为克服只有一个磁体进行能量收集的局限性,提出了一种圆筒形电机结构,增大了发电功率,不过也增加了磁体成本,绕组结构也变得复杂.文献[20 ]设计了一种基于弹簧进行能量收集装置,并建立了动力学模型,而其采用音圈电机结构,限制了发电效率. ...
Structural optimisation through material selections for multi-cantilevered vibration electromagnetic energy harvesters
2
2022
... 国内外学者针对电磁式振动发电装置进行了大量的研究.现有电磁式振动发电装置大体可以分为旋转式与直动式,文献[11 -13 ]均采用旋转式结构.文献[11 ]提出了一种振动-旋转转换结构,其结构利用带磁体的悬臂梁振动拨动带线圈的转子以产生电能,此结构相对简单,但是摩擦损耗不可避免.文献[12 ]在结构上进行了优化,利用扭转驱动结构和棘轮离合器结构将直线运动转化为高速旋转运动.文献[13 ]所设计振动-旋转能量收集装置实现了将多个方向的振动转化为旋转进行能量收集,并且线性运动和旋转-运动部件没有直接的物理接触,避免了物理接触引起的摩擦力、材料磨损等,但其结构也变复杂.直动式结构可以直接将振动能量转换为动能.文献[14 -16 ]采用直动式悬臂电磁振动发电装置进行能量收集,其基本结构为悬臂梁上放置线圈或者磁体,在振动的作用下与固定部分产生相对位移进而产生电能.文献[14 -15 ]分别对悬臂梁的材料、结构进行了优化.文献[16 ]磁体采用Halbach阵列结构提升发电性能.此种发电方式结构简单,但是很难保证磁体与线圈保持重心重合,进而影响发电效果.文献[17 ]采用膜片弹簧结构,并利用有限元法对其结构进行了优化设计.此种结构能够保证重心重合,但是其共振频率较高,且振幅放大过小.文献[18 -19 ]利用磁弹簧进行能量收集,文献[18 ]利用解析法确定了磁弹簧的线性和非线性刚度系数的近似解析表达式,并利用所建立的动力学模型对发电功率进行了研究.文献[19 ]为克服只有一个磁体进行能量收集的局限性,提出了一种圆筒形电机结构,增大了发电功率,不过也增加了磁体成本,绕组结构也变得复杂.文献[20 ]设计了一种基于弹簧进行能量收集装置,并建立了动力学模型,而其采用音圈电机结构,限制了发电效率. ...
... ]采用直动式悬臂电磁振动发电装置进行能量收集,其基本结构为悬臂梁上放置线圈或者磁体,在振动的作用下与固定部分产生相对位移进而产生电能.文献[14 -15 ]分别对悬臂梁的材料、结构进行了优化.文献[16 ]磁体采用Halbach阵列结构提升发电性能.此种发电方式结构简单,但是很难保证磁体与线圈保持重心重合,进而影响发电效果.文献[17 ]采用膜片弹簧结构,并利用有限元法对其结构进行了优化设计.此种结构能够保证重心重合,但是其共振频率较高,且振幅放大过小.文献[18 -19 ]利用磁弹簧进行能量收集,文献[18 ]利用解析法确定了磁弹簧的线性和非线性刚度系数的近似解析表达式,并利用所建立的动力学模型对发电功率进行了研究.文献[19 ]为克服只有一个磁体进行能量收集的局限性,提出了一种圆筒形电机结构,增大了发电功率,不过也增加了磁体成本,绕组结构也变得复杂.文献[20 ]设计了一种基于弹簧进行能量收集装置,并建立了动力学模型,而其采用音圈电机结构,限制了发电效率. ...
Damping ratio and power output prediction of an electromagnetic energy harvester designed through finite element analysis
1
2019
... 国内外学者针对电磁式振动发电装置进行了大量的研究.现有电磁式振动发电装置大体可以分为旋转式与直动式,文献[11 -13 ]均采用旋转式结构.文献[11 ]提出了一种振动-旋转转换结构,其结构利用带磁体的悬臂梁振动拨动带线圈的转子以产生电能,此结构相对简单,但是摩擦损耗不可避免.文献[12 ]在结构上进行了优化,利用扭转驱动结构和棘轮离合器结构将直线运动转化为高速旋转运动.文献[13 ]所设计振动-旋转能量收集装置实现了将多个方向的振动转化为旋转进行能量收集,并且线性运动和旋转-运动部件没有直接的物理接触,避免了物理接触引起的摩擦力、材料磨损等,但其结构也变复杂.直动式结构可以直接将振动能量转换为动能.文献[14 -16 ]采用直动式悬臂电磁振动发电装置进行能量收集,其基本结构为悬臂梁上放置线圈或者磁体,在振动的作用下与固定部分产生相对位移进而产生电能.文献[14 -15 ]分别对悬臂梁的材料、结构进行了优化.文献[16 ]磁体采用Halbach阵列结构提升发电性能.此种发电方式结构简单,但是很难保证磁体与线圈保持重心重合,进而影响发电效果.文献[17 ]采用膜片弹簧结构,并利用有限元法对其结构进行了优化设计.此种结构能够保证重心重合,但是其共振频率较高,且振幅放大过小.文献[18 -19 ]利用磁弹簧进行能量收集,文献[18 ]利用解析法确定了磁弹簧的线性和非线性刚度系数的近似解析表达式,并利用所建立的动力学模型对发电功率进行了研究.文献[19 ]为克服只有一个磁体进行能量收集的局限性,提出了一种圆筒形电机结构,增大了发电功率,不过也增加了磁体成本,绕组结构也变得复杂.文献[20 ]设计了一种基于弹簧进行能量收集装置,并建立了动力学模型,而其采用音圈电机结构,限制了发电效率. ...
A low-frequency resonant electromagnetic vibration energy harvester employing the Halbach arrays for intelligent wireless sensor networks
2
2015
... 国内外学者针对电磁式振动发电装置进行了大量的研究.现有电磁式振动发电装置大体可以分为旋转式与直动式,文献[11 -13 ]均采用旋转式结构.文献[11 ]提出了一种振动-旋转转换结构,其结构利用带磁体的悬臂梁振动拨动带线圈的转子以产生电能,此结构相对简单,但是摩擦损耗不可避免.文献[12 ]在结构上进行了优化,利用扭转驱动结构和棘轮离合器结构将直线运动转化为高速旋转运动.文献[13 ]所设计振动-旋转能量收集装置实现了将多个方向的振动转化为旋转进行能量收集,并且线性运动和旋转-运动部件没有直接的物理接触,避免了物理接触引起的摩擦力、材料磨损等,但其结构也变复杂.直动式结构可以直接将振动能量转换为动能.文献[14 -16 ]采用直动式悬臂电磁振动发电装置进行能量收集,其基本结构为悬臂梁上放置线圈或者磁体,在振动的作用下与固定部分产生相对位移进而产生电能.文献[14 -15 ]分别对悬臂梁的材料、结构进行了优化.文献[16 ]磁体采用Halbach阵列结构提升发电性能.此种发电方式结构简单,但是很难保证磁体与线圈保持重心重合,进而影响发电效果.文献[17 ]采用膜片弹簧结构,并利用有限元法对其结构进行了优化设计.此种结构能够保证重心重合,但是其共振频率较高,且振幅放大过小.文献[18 -19 ]利用磁弹簧进行能量收集,文献[18 ]利用解析法确定了磁弹簧的线性和非线性刚度系数的近似解析表达式,并利用所建立的动力学模型对发电功率进行了研究.文献[19 ]为克服只有一个磁体进行能量收集的局限性,提出了一种圆筒形电机结构,增大了发电功率,不过也增加了磁体成本,绕组结构也变得复杂.文献[20 ]设计了一种基于弹簧进行能量收集装置,并建立了动力学模型,而其采用音圈电机结构,限制了发电效率. ...
... ]分别对悬臂梁的材料、结构进行了优化.文献[16 ]磁体采用Halbach阵列结构提升发电性能.此种发电方式结构简单,但是很难保证磁体与线圈保持重心重合,进而影响发电效果.文献[17 ]采用膜片弹簧结构,并利用有限元法对其结构进行了优化设计.此种结构能够保证重心重合,但是其共振频率较高,且振幅放大过小.文献[18 -19 ]利用磁弹簧进行能量收集,文献[18 ]利用解析法确定了磁弹簧的线性和非线性刚度系数的近似解析表达式,并利用所建立的动力学模型对发电功率进行了研究.文献[19 ]为克服只有一个磁体进行能量收集的局限性,提出了一种圆筒形电机结构,增大了发电功率,不过也增加了磁体成本,绕组结构也变得复杂.文献[20 ]设计了一种基于弹簧进行能量收集装置,并建立了动力学模型,而其采用音圈电机结构,限制了发电效率. ...
Shape optimization of railroad vibration energy harvester for structural robustness and power generation performance
1
2018
... 国内外学者针对电磁式振动发电装置进行了大量的研究.现有电磁式振动发电装置大体可以分为旋转式与直动式,文献[11 -13 ]均采用旋转式结构.文献[11 ]提出了一种振动-旋转转换结构,其结构利用带磁体的悬臂梁振动拨动带线圈的转子以产生电能,此结构相对简单,但是摩擦损耗不可避免.文献[12 ]在结构上进行了优化,利用扭转驱动结构和棘轮离合器结构将直线运动转化为高速旋转运动.文献[13 ]所设计振动-旋转能量收集装置实现了将多个方向的振动转化为旋转进行能量收集,并且线性运动和旋转-运动部件没有直接的物理接触,避免了物理接触引起的摩擦力、材料磨损等,但其结构也变复杂.直动式结构可以直接将振动能量转换为动能.文献[14 -16 ]采用直动式悬臂电磁振动发电装置进行能量收集,其基本结构为悬臂梁上放置线圈或者磁体,在振动的作用下与固定部分产生相对位移进而产生电能.文献[14 -15 ]分别对悬臂梁的材料、结构进行了优化.文献[16 ]磁体采用Halbach阵列结构提升发电性能.此种发电方式结构简单,但是很难保证磁体与线圈保持重心重合,进而影响发电效果.文献[17 ]采用膜片弹簧结构,并利用有限元法对其结构进行了优化设计.此种结构能够保证重心重合,但是其共振频率较高,且振幅放大过小.文献[18 -19 ]利用磁弹簧进行能量收集,文献[18 ]利用解析法确定了磁弹簧的线性和非线性刚度系数的近似解析表达式,并利用所建立的动力学模型对发电功率进行了研究.文献[19 ]为克服只有一个磁体进行能量收集的局限性,提出了一种圆筒形电机结构,增大了发电功率,不过也增加了磁体成本,绕组结构也变得复杂.文献[20 ]设计了一种基于弹簧进行能量收集装置,并建立了动力学模型,而其采用音圈电机结构,限制了发电效率. ...
Vibration energy harvesting using magnetic spring based nonlinear oscillators:design strategies and insights
2
2020
... 国内外学者针对电磁式振动发电装置进行了大量的研究.现有电磁式振动发电装置大体可以分为旋转式与直动式,文献[11 -13 ]均采用旋转式结构.文献[11 ]提出了一种振动-旋转转换结构,其结构利用带磁体的悬臂梁振动拨动带线圈的转子以产生电能,此结构相对简单,但是摩擦损耗不可避免.文献[12 ]在结构上进行了优化,利用扭转驱动结构和棘轮离合器结构将直线运动转化为高速旋转运动.文献[13 ]所设计振动-旋转能量收集装置实现了将多个方向的振动转化为旋转进行能量收集,并且线性运动和旋转-运动部件没有直接的物理接触,避免了物理接触引起的摩擦力、材料磨损等,但其结构也变复杂.直动式结构可以直接将振动能量转换为动能.文献[14 -16 ]采用直动式悬臂电磁振动发电装置进行能量收集,其基本结构为悬臂梁上放置线圈或者磁体,在振动的作用下与固定部分产生相对位移进而产生电能.文献[14 -15 ]分别对悬臂梁的材料、结构进行了优化.文献[16 ]磁体采用Halbach阵列结构提升发电性能.此种发电方式结构简单,但是很难保证磁体与线圈保持重心重合,进而影响发电效果.文献[17 ]采用膜片弹簧结构,并利用有限元法对其结构进行了优化设计.此种结构能够保证重心重合,但是其共振频率较高,且振幅放大过小.文献[18 -19 ]利用磁弹簧进行能量收集,文献[18 ]利用解析法确定了磁弹簧的线性和非线性刚度系数的近似解析表达式,并利用所建立的动力学模型对发电功率进行了研究.文献[19 ]为克服只有一个磁体进行能量收集的局限性,提出了一种圆筒形电机结构,增大了发电功率,不过也增加了磁体成本,绕组结构也变得复杂.文献[20 ]设计了一种基于弹簧进行能量收集装置,并建立了动力学模型,而其采用音圈电机结构,限制了发电效率. ...
... ]利用磁弹簧进行能量收集,文献[18 ]利用解析法确定了磁弹簧的线性和非线性刚度系数的近似解析表达式,并利用所建立的动力学模型对发电功率进行了研究.文献[19 ]为克服只有一个磁体进行能量收集的局限性,提出了一种圆筒形电机结构,增大了发电功率,不过也增加了磁体成本,绕组结构也变得复杂.文献[20 ]设计了一种基于弹簧进行能量收集装置,并建立了动力学模型,而其采用音圈电机结构,限制了发电效率. ...
A magnetically levitated magneto-electric vibration generator using a Halbach array
2
2020
... 国内外学者针对电磁式振动发电装置进行了大量的研究.现有电磁式振动发电装置大体可以分为旋转式与直动式,文献[11 -13 ]均采用旋转式结构.文献[11 ]提出了一种振动-旋转转换结构,其结构利用带磁体的悬臂梁振动拨动带线圈的转子以产生电能,此结构相对简单,但是摩擦损耗不可避免.文献[12 ]在结构上进行了优化,利用扭转驱动结构和棘轮离合器结构将直线运动转化为高速旋转运动.文献[13 ]所设计振动-旋转能量收集装置实现了将多个方向的振动转化为旋转进行能量收集,并且线性运动和旋转-运动部件没有直接的物理接触,避免了物理接触引起的摩擦力、材料磨损等,但其结构也变复杂.直动式结构可以直接将振动能量转换为动能.文献[14 -16 ]采用直动式悬臂电磁振动发电装置进行能量收集,其基本结构为悬臂梁上放置线圈或者磁体,在振动的作用下与固定部分产生相对位移进而产生电能.文献[14 -15 ]分别对悬臂梁的材料、结构进行了优化.文献[16 ]磁体采用Halbach阵列结构提升发电性能.此种发电方式结构简单,但是很难保证磁体与线圈保持重心重合,进而影响发电效果.文献[17 ]采用膜片弹簧结构,并利用有限元法对其结构进行了优化设计.此种结构能够保证重心重合,但是其共振频率较高,且振幅放大过小.文献[18 -19 ]利用磁弹簧进行能量收集,文献[18 ]利用解析法确定了磁弹簧的线性和非线性刚度系数的近似解析表达式,并利用所建立的动力学模型对发电功率进行了研究.文献[19 ]为克服只有一个磁体进行能量收集的局限性,提出了一种圆筒形电机结构,增大了发电功率,不过也增加了磁体成本,绕组结构也变得复杂.文献[20 ]设计了一种基于弹簧进行能量收集装置,并建立了动力学模型,而其采用音圈电机结构,限制了发电效率. ...
... ]利用解析法确定了磁弹簧的线性和非线性刚度系数的近似解析表达式,并利用所建立的动力学模型对发电功率进行了研究.文献[19 ]为克服只有一个磁体进行能量收集的局限性,提出了一种圆筒形电机结构,增大了发电功率,不过也增加了磁体成本,绕组结构也变得复杂.文献[20 ]设计了一种基于弹簧进行能量收集装置,并建立了动力学模型,而其采用音圈电机结构,限制了发电效率. ...
On a spring-assisted multi-stable hybrid-integrated vibration energy harvester for ultra-low-frequency excitations
1
2022
... 国内外学者针对电磁式振动发电装置进行了大量的研究.现有电磁式振动发电装置大体可以分为旋转式与直动式,文献[11 -13 ]均采用旋转式结构.文献[11 ]提出了一种振动-旋转转换结构,其结构利用带磁体的悬臂梁振动拨动带线圈的转子以产生电能,此结构相对简单,但是摩擦损耗不可避免.文献[12 ]在结构上进行了优化,利用扭转驱动结构和棘轮离合器结构将直线运动转化为高速旋转运动.文献[13 ]所设计振动-旋转能量收集装置实现了将多个方向的振动转化为旋转进行能量收集,并且线性运动和旋转-运动部件没有直接的物理接触,避免了物理接触引起的摩擦力、材料磨损等,但其结构也变复杂.直动式结构可以直接将振动能量转换为动能.文献[14 -16 ]采用直动式悬臂电磁振动发电装置进行能量收集,其基本结构为悬臂梁上放置线圈或者磁体,在振动的作用下与固定部分产生相对位移进而产生电能.文献[14 -15 ]分别对悬臂梁的材料、结构进行了优化.文献[16 ]磁体采用Halbach阵列结构提升发电性能.此种发电方式结构简单,但是很难保证磁体与线圈保持重心重合,进而影响发电效果.文献[17 ]采用膜片弹簧结构,并利用有限元法对其结构进行了优化设计.此种结构能够保证重心重合,但是其共振频率较高,且振幅放大过小.文献[18 -19 ]利用磁弹簧进行能量收集,文献[18 ]利用解析法确定了磁弹簧的线性和非线性刚度系数的近似解析表达式,并利用所建立的动力学模型对发电功率进行了研究.文献[19 ]为克服只有一个磁体进行能量收集的局限性,提出了一种圆筒形电机结构,增大了发电功率,不过也增加了磁体成本,绕组结构也变得复杂.文献[20 ]设计了一种基于弹簧进行能量收集装置,并建立了动力学模型,而其采用音圈电机结构,限制了发电效率. ...
一种汲取振动能量的圆筒型直线发电机
1
... 本文设计的能量收集装置[21 ] ,利用弹簧机构对动磁式圆筒形直线电机动子进行振幅放大,基本结构如图1 所示.该装置安装于振动体最大振幅的轴向位置,导轨轴上载磁体在弹簧作用下与定子产生相对位移,线槽中的绕组切割磁感线产生电压.电机定子部分有2个直径不同的法兰直线轴承、线圈、背铁与绕组槽.大径直线轴承内径大,在靠近弹簧位置,由于该处承受主要载荷,采用较大内径以使直线轴承满足载荷要求.直线轴承内径越大,径向跳动越大.为限制导轨轴承的径向跳动减小气隙长度,电机上方采用内径较小的小径直线轴承对导轨轴限位.2个直线轴承与导轨轴采用间隙配合的方式,既保障了动子与定子的同轴度,又使电机动子与定子为滚动摩擦方式,极大地减小了摩擦力.线圈在线槽内按顺、逆时针依次缠绕.在动子部分,圆环型磁体按照充磁方式交替放置于直线导轨上,磁体间分布有导磁体用以调节磁间距,由定位环对磁体与导磁体进行固定.永磁体采用轴向充磁的圆柱形永磁体,绕组结构简单,利于磁体充磁,制作工艺高且漏磁少.圆柱弹簧使电机的动子与电机动子运动不同步,并且若能合理设计弹簧,将能够起到振幅放大的作用. ...
一种汲取振动能量的圆筒型直线发电机
1
... 本文设计的能量收集装置[21 ] ,利用弹簧机构对动磁式圆筒形直线电机动子进行振幅放大,基本结构如图1 所示.该装置安装于振动体最大振幅的轴向位置,导轨轴上载磁体在弹簧作用下与定子产生相对位移,线槽中的绕组切割磁感线产生电压.电机定子部分有2个直径不同的法兰直线轴承、线圈、背铁与绕组槽.大径直线轴承内径大,在靠近弹簧位置,由于该处承受主要载荷,采用较大内径以使直线轴承满足载荷要求.直线轴承内径越大,径向跳动越大.为限制导轨轴承的径向跳动减小气隙长度,电机上方采用内径较小的小径直线轴承对导轨轴限位.2个直线轴承与导轨轴采用间隙配合的方式,既保障了动子与定子的同轴度,又使电机动子与定子为滚动摩擦方式,极大地减小了摩擦力.线圈在线槽内按顺、逆时针依次缠绕.在动子部分,圆环型磁体按照充磁方式交替放置于直线导轨上,磁体间分布有导磁体用以调节磁间距,由定位环对磁体与导磁体进行固定.永磁体采用轴向充磁的圆柱形永磁体,绕组结构简单,利于磁体充磁,制作工艺高且漏磁少.圆柱弹簧使电机的动子与电机动子运动不同步,并且若能合理设计弹簧,将能够起到振幅放大的作用. ...