基于弹簧振幅放大的电磁式振动发电设计 |
| 杨永宝, 张博, 张立昌, Rätsch Matthias, 索宇超 |
|
Design of Electromagnetic Vibration Power Generation Based on Spring Amplitude Amplification |
| Yongbao YANG, Bo ZHANG, Lichang ZHANG, Matthias Rätsch, Yuchao SUO |
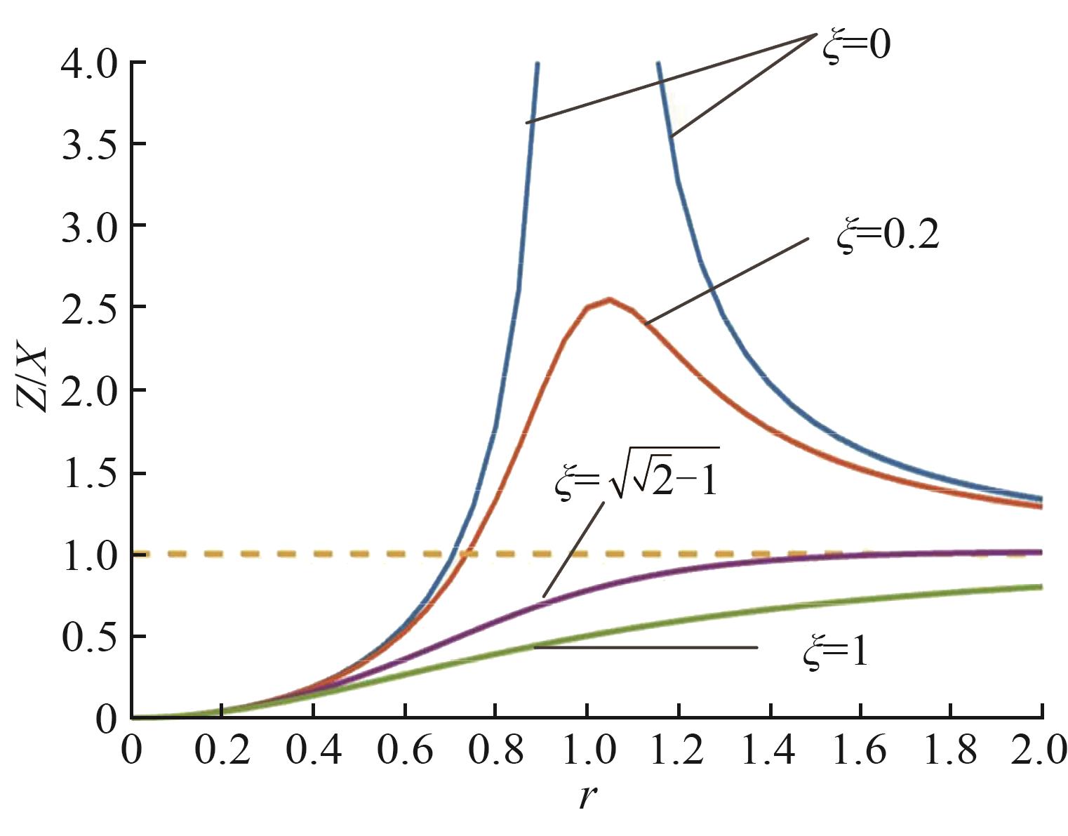
| 图3 不同阻尼比下Z/X随频率比r的变化情况 |
| Fig. 3 Variation of Z/X with frequency ratio r under different damping ratios |
|