0 引言
因地制宜发展光伏发电、风电等可再生能源,建设风光储一体化基地是我国贯彻落实碳达峰、碳中和战略目标的重要途径。然而,风能和太阳能的间歇性和不确定性给电网安全可靠运行带来风险[1 -3 ] 。目前,储能可作为一种成熟技术用来平抑间歇性能源发电功率的频繁波动,提高电网的可靠性水平[4 -5 ] 。我国缺乏常规能源的东部沿海地区大多处于用电负荷中心,附近海域常年风能资源丰富,大力建设海上风电场是发展趋势。海上风电未来将成为缓解我国东部地区电力供需压力的重要途径。海上风电与光伏、储能等多种能源的综合开发利用和融合发展,也将是未来海上风电的重要发展方向。多个海上风电场、光伏电站及储能电站联合系统接入城市电网时,势必会对电网的供电可靠性产生积极的影响。在评估电网可靠性影响时,如何准确地模拟风电场功率、光伏电站功率和电网负荷是系统可靠性评估的基础。
近年来,国内外专家对风光储联合系统的可靠性评估进行了大量研究[6 -9 ] 。如:文献[6 ]针对风、光资源的分布特点,结合发电系统设备的运行状态,建立了含风力、光伏、储能的发电系统可靠性数学模型,在风光储不同的协调运行方式下,对含风光储的发电系统进行了可靠性评估。文献[7 ]根据电力系统实际负荷数据,分别对只含常规机组、风电并网以及储能参与高比例风电并网3个不同场景下的电力系统进行了可靠性指标计算,分析了储能系统对电力系统可靠运行的积极影响。文献[8 ]建立了风电机组功率时序模型和含风电场-储能发电系统可靠性评估模型,并结合常规机组的状态模型,建立了基于序贯蒙特卡罗仿真的含风电-储能发电系统可靠性模型,量化储能系统和风电场接入发电系统的可靠性影响。文献[9 ]提出一种兼顾可靠性、灵活性和经济性的风光储虚拟电厂分层容量配置策略,以提升系统的可靠性水平和经济效益。然而,以上研究均未考虑新能源功率之间、新能源功率与电网负荷之间的相关特性,以及恶劣天气对风电场的影响等因素,不能客观地反映真实系统可靠性水平。
同一区域的风电场功率、光伏电站功率和电网负荷三者之间也存在或正或负的相关结构,如果忽略这种相关性,就会产生较大的系统可靠性评估误差[10 ] 。相比于陆上风电场,海上风电场及其附属并网系统易受海上恶劣天气的影响,其故障率高以及维修时间长的特点凸显,传统可靠性评估模型误差较大,需考虑恶劣天气对海上风电场及柔性直流并网系统可靠性评估的影响[11 ] 。综上所述,为了准确地建立风电场功率、光伏电站功率和电网负荷三者联合系统的可靠性模型,需要综合计入风电场功率、光伏电站功率和电网负荷三者的相关性,以及恶劣天气对海上风电场风机及其柔性直流并网系统随机故障率的影响等因素。
在描述风电场功率、光伏电站功率和电网负荷间相关结构方面,由于Copula函数可以完整地描述多变量间的相关结构,尤其在刻画非线性相关性方面存在明显优势[12 ] ,被越来越广泛地应用到相依结构分析等领域。常用的Copula函数虽然可以扩展到高维形式,但表达式往往非常复杂,不利于在高维情景中的应用;并且假设两两变量间具有一致相依结构,如果用同一函数表达此相依结构,则存在明显的不足。已有研究用单一静态Copula函数[13 ] 、单一时变Copula函数[14 -15 ] 、混合静态Copula函数[16 -17 ] 、混合时变Copula函数[18 ] 、基于藤结构的单一静态Copula函数[19 ] 、基于藤结构的混合静态Copula函数[20 ] 探索多个风电场功率间的相关性,以及风电场与光伏电站功率间的相关性,但均未能有效地刻画这些新能源功率间隐藏的相关性,而且也没有描述这些新能源与电网负荷间的相关结构。
本文基于C藤的多元Pair-Copula结构,构建混合时变Copula模型,以描述光伏功率、风电功率、电网负荷间的多元相关结构,并建立8种风光荷联合Copula模型,运用赤池信息准则(Akaike information criterion,AIC)和贝叶斯信息准则(Bayesian information criterion,BIC)选择出最优模型,同时建立风速和雷击对风机失效率影响的时变分析模型,以及恶劣天气对元件修复时间影响的时变模型。最后,把8种模型应用到含风电场、光伏电站、储能电站的发输电系统可靠性评估中,以验证所提相关性模型的可行性与有效性。
1 基于藤结构的混合时变Copula模型
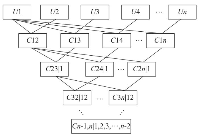
1.1 藤Copula模型
藤Copula函数是近年来Copula理论中取得的较新进展,它建立在简单二元Copula函数基础上,能联合考虑高维变量间的相依结构。藤Copula模型可将多维变量的相依结构分解为多个二维相关变量,常用的有C藤和D藤结构,两者因逻辑结构不同,其适用的数据类型也有所差别[19 -20 ] 。结合实际风电场功率、光伏电站功率、电网负荷间的相关性分析,本文采用C藤结构进行研究分析。C藤模型具有星型结构,如图1 所示。
图1
图1
C藤结构逻辑图
Fig. 1
Logic diagram of C-vine structure
按照C-Vine结构分解的n 维变量,联合概率分布表达式如下:
f ( x 1 , ⋯ , x n ) = ∏ k = 1 n f ( x k ) ∏ j = 1 n - 1 ∏ i = 1 n - j c j , j + i | 1 , ⋯ , j - 1 [ F ( x j | x 1 , ⋯ , x j - 1 ) , F ( x j + i | x 1 , ⋯ , x j - 1 ) ] (1)
式中:x k 为第k 维变量;f ( x k ) 为x k 的概率密度函数;F ( x j ) 为x j 的累积分布函数;c (· )为Copula密度函数。
F ( x | v ) = ∂ C [ F ( x | v - j ) , F ( v j | v - j ) ∂ F ( v j | v - j ) (2)
式中:v j 为n 维向量 v 中的第j 个变量;v - j 为向量 v 去掉v j 的n- 1维向量;C (·) 为二元Copula分布函数。
1.2 时变相关Copula模型
风电场功率、光伏电站功率、电网负荷总是时刻变化的,三者间的相关特性也不是一成不变的,两两之间或呈正相关特性,或呈负相关特性,在一定的时间周期内必然存在一个相关性的变化,因此需通过时变相关Copula模型来描述变量间非线性时变相依结构[14 -15 ] 。常用的相关Copula模型主要有时变t-Copula函数、时变Rotated Gumbel Copula(RG-Copula)函数、时变Symmetrized Joe-Clayton Copula(SJC-Copula)函数[14 -15 ] 。
C t ( u , ν ; ρ t , t , k t ) = ∫ - ∞ t k - 1 ( u ) ∫ - ∞ t k - 1 ( ν ) { 1 2 π 1 - ρ t , t 2 ⋅ e x p [ - s 2 - 2 ρ t , t s r + r 2 2 ( 1 - ρ t , t 2 ) ] } - ( k t + 2 ) / 2 d s d r (3)
式中:s 、r 为随机变量;u 、v 为边缘分布函数;ρ t , t 为时变相关系数;k t 为自由度;t k - 1 为自由度下的t分布逆函数。
根据D C C ( 1,1 ) ,t-Copula的相关系数矩阵可分解为:
R t = ( Q t * ) - 1 / 2 Q t ( Q t * ) - 1 / 2 Q t * = d i a g Q t Q t = R ( 1 - α - β ) + α ( ε t - 1 ε t - 1 ' ) + β Q t - 1 (4)
式中:α 、β 是未知参数,且满足0 < α < 1 ,0 < β < 1 ,0 < α + β < 1 ;Q t 必须正定;ε t - 1 为分布函数的伪逆函数序列。时变t-Copula函数在表达对称的尾部关系方面比较有优势。
C R G ( u , ν , ρ R G , t ) = e x p { - [ ( - l n ( 1 - u ) ) ρ R G , t + ( - l n ( 1 - ν ) ) ρ R G , t ] 1 / ρ R G , t } (5)
ρ R G , t = Λ ' ( ω R G + β R G ρ R G , t - 1 + α R G 1 σ ∑ j = 1 σ u t - j - v t - j ) (6)
式中:logistic变换函数Λ ' ( x ) = 1 + x 2 ,确保时变系数ρ R G , t > 1 ;ω R G 、α R G 、β R G 为时变方程参数;数据窗口σ 一般情况下取10[14 ] ,下同。
时变RG-Copula函数上尾相关系数为0,下尾相关系数为
τ R G = 2 - 2 1 ρ R G (7)
C S J C ( u , ν ; τ S J C , t U , τ S J C , t L ) = 1 2 [ C J C ( u , ν ; τ S J C , t U , τ S J C , t L ) + C J C ( 1 - u , 1 - ν ; τ S J C , t U , τ S J C , t L ) + u + ν - 1 ] (8)
C J C ( u , ν ; τ S J C , t U , τ S J C , t L ) = 1 - ( 1 - { [ 1 - ( 1 - u ) K t ] - γ t + [ 1 - ( 1 - ν ) K t ] - γ t - 1 } - 1 / γ t ) 1 / K t (9)
K t = 1 l o g 2 ( 2 - τ S J C , t U ) (10)
γ t = 1 l o g 2 ( τ S J C , t L ) (11)
式中τ S J C , t U 和τ S J C , t L 分别为上尾相关系数和下尾相关系数,表示如下:
τ S J C , t U = Λ ' ' ( ω S J C U + β S J C U τ S J C , t - 1 U + α S J C U 1 σ ∑ j = 1 σ u t - j - v t - j ) (12)
τ S J C , t L = Λ ' ' ( ω S J C L + β S J C L τ S J C , t - 1 L + α S J C L 1 σ ∑ j = 1 σ u t - j - v t - j ) (13)
式中:logistic变换函数Λ ' ' ( x ) = ( 1 + e - x ) - 1 ,确保上下尾相关系数都在(0, 1)范围内;ω S J C U , β S J C U , α S J C U 为上尾时变方程参数;ω S J C L , β S J C L , α S J C L 为下尾时变方程参数。时变SJC-Copula函数可以较好地刻画上、下尾相关特性[14 ] 。
1.3 混合时变Copula模型
由1.2节可知,不同的时变Copula函数在描述变量间相关性时各具特点,在实际应用中,如果用某一种时变Copula函数去精准刻画类型多样、时变、非线性的风光荷相关性特征,显然是不合适的。将这几类单一时变Copula函数通过一定的方式进行组合,构建一个混合时变Copula函数[17 ] ,不仅可以描述风光荷间的上尾相关、下尾相关和尾部对称相关3种相关模式,还可以通过选取不同的权重来描述三者之间上尾相关、下尾相关并存的非对称相关模式。因此,在刻画复杂多变的风光荷相关结构方面,混合时变Copula函数比单一时变Copula函数更加有优势。混合后的Copula函数[17 ] 表示为
C m i x ( u , ν ) = λ 1 C t ( u , ν ; ρ t , t , k t ) + λ 2 C R G ( u , ν , ρ R G , t ) + ( 1 - λ 1 - λ 2 ) C J C ( u , ν ; τ S J C , t U , τ S J C , t L ) (14)
式中λ 1 、λ 2 为权重系数,满足0≤λ 1 ≤1,0≤λ 2 ≤1。
式(14)中的时变参数和权重参数可通过期望最大化(expectation-maximum,EM)算法[21 ] 估算出。
1.4 基于藤结构的混合时变Copula 模型构建及参数估计
虽然利用混合时变Copula函数分析二维变量之间的相关性可以获得不错的分析结果,但是当变量维数上升至三维时,其分析结果的精度明显变差。为解决高维Copula函数建模时的维数灾和准确性问题,藤结构方法的思路是把多个变量之间的相关性逐步分解成多个二维变量之间两两相关性,即将高维Copula函数的求解转换成多个二维Copula函数的求解,有效避免了维数灾。
1)利用非参数核密度分布函数[7 ] 将风电场功率、光伏电站功率和电网负荷样本转换为服从[0, 1]均匀分布的时序数据,作为构建模型的初始点,即C藤结构中树T 1 的观测值;
2)计算风-光-荷变量两两间秩相关系数η [22 ] ,并确定第一棵树上的变量排列顺序;
3)对于树T j 的每一条边i ( i = 1 , ⋯ , n - j ) ,构建混合时变Copula模型,通过EM算法估算出式(14)中未知参数;
4)利用T j 估计出来的混合时变Copula模型以及式(2)计算出下一棵树T j + 1 的观测值;
5)重复步骤3)、4),直到最后一棵树j =n- 1。
1.5 Copula 模型选择评价准则
为了验证本文所提出Copula模型的有效性,通过2个广泛使用的评价准则AIC和BIC来选择最优的Copula模型,其值分别表示如下:
C A I = 2 m - 2 l n L (15)
C B I = m l n N - 2 l n S (16)
式中:m 为模型独立参数个数;S 为极大似然估计值;N 为样本容量。C A I 和C B I 值越小,表明模型对数据的拟合度越高,模型越准确[23 -24 ] 。
1.6 产生相关性样本
具有相关性的风电场功率、光伏电站功率、电网负荷三者样本的产生步骤[19 ] 如下:
1)采用拟蒙特卡罗方法(Quasi-Monte Carlo)[25 ] 随机生成N 个服从独立均匀分布的n 维样本z 1 , z 2 , ⋯ , z n 。
z 2 = F u 2 | u 1 = ∂ C ( u 1 , u 2 ) ∂ u 1 (17)
其中z 2 和u 1 已知,通过二分法求解式(17),可得到u 2 。
3)同理,根据式(2)依次迭代可以得出后续的采样点u 3 , u 4 , ⋯ , u k 。
4)通过x k = F - 1 ( u k ) 求逆,可得到x 1 , x 2 , ⋯ , x k 。
2 考虑风光荷相关性的含储能发输电系统可靠性评估
由于风能、光伏以及电网负荷具有时变特性,序贯蒙特卡罗仿真方法能更好地模拟含风光储电力系统实际运行情况。风光储协调运行的发输电系统可靠性指标,根据对应于所选系统停运状态的负荷消减以及发生的概率计算得出。基于序贯蒙特卡罗仿真的含风电场、光伏电站、储能电站的发输电系统可靠性指标计算流程如图2 所示。
图2
图2
含风光储的发输电系统可靠性指标计算流程图
Fig. 2
Flowchart of wind-solar-storage power station integrated generation and transmission systems
储能电站与风光发电机组之间的协调控制策略选择,需要兼顾风光储发输电系统可靠性水平、风光储总输出功率稳定、储能电站寿命3个因素,文献[26 ]提出一种平衡发电功率策略模型,在尽可能保持风光储总输出功率稳定的情况下,既能降低系统风险水平,又能尽量减少储能充放电频率,延长其寿命。
引入风光储联合系统输出功率波动ξ ,用来评价储能控制功率波动效果:
ξ = 1 8 760 ∑ i = 1 8 760 [ P M ( i ) - P H ( i ) ] 2 (18)
式中:P M ( i ) 为风光储联合发电功率;P H ( i ) 为风光储系统的发电平衡限制功率。
引入储能电站不可放电率φ ,用来评价储能容量的选择是否合适:
φ = 1 8 760 ∑ i = 1 8 760 t i (19)
t i = 0 , C ( i ) ≠ C m i n 1 , C ( i ) = C m i n (20)
3 算例分析
3.1 分析步骤
1)相关性模型的验证。Copula模型建立后,首先需要对其拟合的优良程度进行判别,然后才能进行理论和实际分析。检验Copula模型的拟合优度,是为了评估该模型是否适用于描述变量间的相依关系。本文模型采用AIC和BIC对拟合优度进行检验。
2)计及风电场功率、光伏电站功率、电网负荷三者间相关性的发输电系统可靠性评估计算以及结果分析。
3.2 算例系统以及数据
本文所用数据为位于山东烟台和威海的海上风电场和光伏电站功率的年小时数据。对原IEEE-RTS79系统[27 ] 进行适当修改,系统的2条不同电网负荷曲线不变,一条代表230 kV区域内的客户,另一条代表138 kV区域内的客户。200 MW风电场、20 MW光伏电站和60 MW×2 h储能电站的联合系统分别接入IEEE-RTS79系统节点1、3,将修改后的系统作为算例系统。
3.3 Copula函数的选取分析
本文用8种不同类型的Copula函数来描述风电场功率、光伏电站功率和电网负荷三者间的相关结构,并分别对8类Copula函数参数进行求解,比较其AIC与BIC值,结果如表1 所示。
根据AIC值和BIC值判断准则,AIC和BIC值越小,拟合效果越好。通过比较表1 中AIC和BIC值可以得出:在刻画风电场功率、光伏电站功率以及电网负荷三者间相关特性时,基于C藤结构的混合时变Copula函数表现最好,其次是基于C藤结构的混合静态Copula函数,单一静态Copula函数表现最差;藤结构的Copula函数拟合效果均好于同类型非藤结构Copula函数,说明藤结构的Copula函数能更有效地揭示数据间隐藏的相关结构;时变Copula函数的拟合效果均好于同类型静态Copula函数,说明采用时变Copula函数能更好地描述风电场功率、光伏电站功率以及电网负荷三者间相关性随时间变化特征。
3.4 发输电系统可靠性评估
3.4.1 系统参数说明
风光荷间相关性、风光配置比例、系统输出功率波动性和储能电站的容量是含风光储发输电系统可靠性规划不可忽视的因素。采用8类Copula函数模型来描述风电场功率、光伏电站功率以及电网负荷三者间相关性结构,模拟产生风电场功率、光伏电站功率以及电网负荷的相关性样本,依据图2 流程对该算例系统进行了可靠性评估。为了在加入4个新能源发电场后保持其传输网络约束的有效性,系统的总负荷增加到原来的1.06倍。传统发电机的容量、可靠性参数、基本的负荷数据参考文献[27 ],所有发电机组的随机失效用两状态模型来表示,模拟时间为100 a。风电场中风机模块以及柔性直流输电(voltage sourced converter based high voltage direct current,VSC-HVDC)组合系统的故障率及平均修复时间的计算方法参考文献[7 ]。光伏电站中光伏逆变器和光伏阵列的故障率分别为0.353、0.000 133次/a,平均修复时间分别为240、250 h/次[28 ] 。蓄能电站蓄电池组的故障率为5次/a,平均修复时间为70 h/次。切负荷概率(probability of load curtailment,PLC)和期望缺供电量(expected energy not supplied,EENS)是目前评估发输电系统可靠性的2个代表性指标[26 ] 。在不接入风电场、光伏电站和储能电池时,IEEE-RTS79系统的EENS为1 383.7 MW⋅h/a,PLC为0.001 35。
3.4.2 风-光-荷相关性(不计储能)
为研究风光荷相关性对发输电系统可靠性评估的影响,算例系统暂不考虑加入储能电站,则加入2个风电场和2个光伏电站的IEEE-RTS79系统可靠性指标计算结果如表2 所示。
由表2 可以看出,风电场和光伏电站接入系统后,其可靠性水平明显提高。与计及风电场功率、光伏电站功率以及电网负荷三者间相关性相比,不计及其相关性会造成对发输电系统可靠性过于乐观的估计。与所提出的藤Copula模型(模型8)相比,现有Copula模型(模型1—7)低估了三者间相关性对系统可靠性产生的消极影响。采用模型8来描述风光荷相关性,通过以下5种情景验证风光荷间不同相关特性对系统可靠性指标的影响,结果如表3 所示。
情景1:考虑风电场功率W 1 、W 2 ,光伏电站功率P 1 、P 2 ,以及电网负荷L 1 、L 2 两两变量之间的相关性。
情景2:不考虑风电场功率(W 1 、W 2 )与光伏电站功率(P 1 、P 2 )之间的相关性。
情景3:不考虑风电场功率(W 1 、W 2 )与电网负荷(L 1 、L 2 )之间、光伏电站功率(P 1 、P 2 )与电网负荷(L 1 、L 2 )之间的相关性。
由表3 可知,对比情景1,忽略分布式电源功率间相关性(情景2)和电网负荷间相关性(情景4),都会导致计算出的系统可靠性指标偏低。相反地,忽略分布式电源功率和电网负荷间相关性(情景3),会导致计算出的系统可靠性指标偏高。情景5中不考虑所有变量两两间的相关性,结合情景2、4对系统可靠性指标的低估部分和情景3对可靠性指标的高估部分相互抵消,最终导致系统可靠性指标偏低。由此可知,忽略风光荷间任何2个变量间的相关性都会影响系统可靠性的真实评估。
3.4.3 风光配置比例(不计储能)
风光装机容量比例也是影响系统可靠性的一个重要因素,风光装机容量比例不同,系统的可靠性评估指标往往也不同。当系统中风光装机容量比例达到最优时,该系统的可靠性指标EENS和PLC值最小。同样采用8类模型来描述风光荷间相关性,暂不考虑系统加入储能电站。假设一组200 MW风电场、20 MW光伏电站接入IEEE-RTS79系统节点3保持不变,另一组保持风电场、光伏电站总容量220 MW不变,接入系统节点1,以EENS和PLC值最小为目标值,定量计算出8类模型的最优风光装机容量比例,如表4 所示。
从表4 可以看出,采用不同的模型来表达风光荷间相关性,得出的最优风光装机容量比例也有所不同。与所提出的藤Copula模型(模型8)相比,采用模型1—7计算出的风光装机最优容量比例均有所偏差,说明如果采用模型1—7去描述风光荷相关性,得出的最优风光装机容量比例往往是不够准确的,甚至是错误的。
3.4.4 风光储协调运行
算例系统计及储能电站,以研究储能对系统可靠性的影响。由文献[26 ]可知,当平衡发电限制功率定值接近风光发电平均功率的期望值时,风光储有功功率波动较小。根据模型1—8,计算出此时系统可靠性指标PLC和EENS,风光储联合系统输出功率波动ξ ,以及储能电站不可放电率φ ,结果如表5 所示。
通过对比表2 、5 可以看出,储能容量的增加对系统可靠性有积极的影响。从表5 可以看出,采用8类模型计算出的系统可靠性指标、储能电站的容量、风光储联合系统输出功率波动性三者均有所差异;与本文提出的Copula模型相比,现有Copula模型在系统可靠性评估、储能电站容量的选取、输出功率波动性的评价等方面均不够准确。
4 结论
提出了一种基于藤结构的混合时变Copula模型,并运用2个常用最优模型评价准则对该模型进行了验证。结果显示,与其他现有Copula模型相比,所提模型可以准确地描述风光荷间相关特性。从不计储能情况下的风光荷间相关性、风光配置比例,以及计及储能的风光储协调运行3个维度对所提模型和现有模型进行了对比分析,得出如下结论:
1)风光荷相关性模型的准确性直接影响系统的可靠性评估、风光装机容量比例配置、储能电站容量的选取和输出功率波动性的评价。
2)引入“藤”的概念来灵活地刻画多变量间相关关系,把高维变量间复杂相关结构逐步转化为二维变量间的简单相关函数,大大缩短了计算时间,对多个新能源接入的电力系统可靠性评估具有显著的实际工程意义。
3)与所提Copula模型相比,现有其他Copula模型会低估风光荷间相关性对系统可靠性产生的消极影响,得出的最优风光装机容量比例、系统输出功率波动性评估和储能电站容量选取方面也有所偏差。
需要注意的是,采用藤结构的混合时变Copula模型的参数较多,随着维数的增加,模型参数以及计算时间均将大幅增加,下一步将考虑对藤结构进行简化,以减少模型参数、缩短运算时间。
参考文献
View Option
[2]
ZHANG B L , YU J S , HUANG W L ,et al .Challenges and reflections on the power grid of high proportion of new energy in Gansu province
[J].Power System and Clean Energy ,2020 ,36 (4 ):81 -89 . doi:10.3969/j.issn.1674-3814.2020.04.012
[4]
[本文引用: 1]
KUANG S , WANG B B .Optimization strategy of wind storage joint operation considering energy storage life and participating in frequency modulation service
[J].Power Generation Technology ,2020 ,41 (1 ):73 -78 . doi:10.12096/j.2096-4528.pgt.19161
[本文引用: 1]
[5]
李湘旗 ,禹海峰 ,李欣然 ,等 .考虑储能系统动态全寿命周期特性的多功能应用需求规划方法
[J].电力建设 ,2020 ,41 (1 ):45 -54 .
[本文引用: 1]
LI X Q , YU H F , LI X R ,et al .Planning method for multi-functional application demand considering dynamic life cycle characteristics of energy storage
[J].Electric Power Construction ,2020 ,41 (1 ):45 -54 .
[本文引用: 1]
[6]
吴红斌 ,白雪 ,王蕾 .基于序贯蒙特卡洛模拟的风光储发电系统可靠性评估
[J].太阳能学报 ,2017 ,38 (6 ):1501 -1509 .
[本文引用: 2]
WU H B , BAI X , WANG L .Reliability evaluation of wind-solar-battery generation system based on sequential Monte Carlo simulation
[J].Acta Energiae Solaris Sinica ,2017 ,38 (6 ):1501 -1509 .
[本文引用: 2]
[8]
袁明飞 ,赵凤展 ,王树田 ,等 .基于蒙特卡洛模拟的含风电-储能发电系统可靠性评估
[J].电器与能效管理技术 ,2020 (5 ):7 .
[本文引用: 1]
YUAN M F , ZHAO F Z , WANG S T ,et al .Reliability evaluation of wind-storage power generation systems based on Monte Carlo simulation
[J].Electrical & Energy Management Technology ,2020 (5 ):7 .
[本文引用: 1]
[9]
白雪岩 ,樊艳芳 ,刘雨佳 ,等 .考虑可靠性及灵活性的风光储虚拟电厂分层容量配置
[J].电力系统保护与控制 ,2022 ,50 (8 ):11 -24 .
[本文引用: 2]
BAI X Y , FAN Y F , LIU Y J ,et al .Wind power storage virtual power plant considering reliability and flexibility tiered capacity configuration
[J].Power System Protection and Control ,2022 ,50 (8 ):11 -24 .
[本文引用: 2]
[10]
QIN Z L , LI W Y , XIONG X F .Generation system reliability evaluation incorporating correlations of wind speeds with different distributions
[J].IEEE Transactions on Power Systems ,2013 ,28 (1 ):551 -558 . doi:10.1109/tpwrs.2012.2205410
[本文引用: 1]
[11]
CHAO H , HU B , XIE K ,et al .A sequential MCMC model for reliability evaluation of offshore wind farms considering severe weather conditions
[J].IEEE Access ,2019 ,99 :132552 -132562 . doi:10.1109/access.2019.2941009
[本文引用: 1]
[13]
谢敏 ,熊靖 ,刘明波 ,等 .基于 Copula 的多风电场功率相关性建模及其在电网经济调度中的应用
[J].电网技术 ,2016 ,40 (4 ):1100 -1106 .
[本文引用: 1]
XIE M , XIONG J , LIU M B ,et al .Modeling of multi wind farm output correlation based on Copula and its application in power system economic dispatch
[J].Power System Technology ,2016 ,40 (4 ):1100 -1106 .
[本文引用: 1]
[14]
王小红 ,周步祥 ,张乐 ,等 .基于时变Copula函数的风电功率相关性分析
[J].电力系统及其自动化学报 ,2015 ,27 (1 ):43 -48 .
[本文引用: 5]
WANG X H , ZHOU B X , ZHANG L ,et al .Wind power correlation analysis based on time-variant copula function
[J].Proceedings of the CSU-EPSA ,2015 ,27 (1 ):43 -48 .
[本文引用: 5]
[15]
段偲默 ,苗世洪 ,霍雪松 ,等 .基于动态Copula的风光联合功率建模及动态相关性分析
[J].电力系统保护与控制 ,2019 ,47 (5 ):35 -42 .
[本文引用: 3]
DUAN S M , MIAO S H , HOU X S ,et al .Modeling and dynamic correlation analysis of wind/solar power joint output based on dynamic Copula
[J].Power System Protection and Control ,2019 ,47 (5 ):35 -42 .
[本文引用: 3]
[16]
[本文引用: 1]
WAN J H , SU H , FENG D H ,et al .Analysis and evaluation of the complementarity characteristics of wind and photovoltaic considering source-load matching
[J].Power System Technology ,2020 ,44 (9 ):3219 -3226 . doi:10.1109/icpsasia48933.2020.9208513
[本文引用: 1]
[18]
马燕峰 ,李鑫 ,刘金山 ,等 .考虑风电场时空相关性的多场景优化调度
[J].电力自动化备 ,2020 ,40 (2 ):55 -65 .
[本文引用: 1]
MA Y F , LI X , LIU J S ,et al .Multi-scenario optimal dispatch considering temporal-spatial correlation of wind farms
[J].Electric Power Automation Equipment ,2020 ,40 (2 ):55 -65 .
[本文引用: 1]
[19]
[本文引用: 3]
WU W , WANG K Y , LI G J ,et al .Correlation analysis and modeling of multiple wind power based on Pair Copula
[J].Automation of Electric Power Systems ,2015 ,39 (16 ):37 -42 . doi:10.7500/AEPS20141031011
[本文引用: 3]
[20]
邱宜彬 ,李诗涵 ,刘璐 ,等 .基于场景D藤Copula模型的多风电场功率相关性建模
[J].太阳能学报 ,2019 ,40 (10 ):2960 -2966 .
[本文引用: 2]
QIU Y B , LI S H , LIU L ,et al .Correlation modeling of power output among multiple wind farms based on scenario D vine copula method
[J].Acta Energiae Solaris Sinica ,2019 ,40 (10 ):2960 -2966 .
[本文引用: 2]
[22]
HAGHII H V , BINA M T , GOLKARR M A ,et al .Using Copulas for analysis of large datasets in renewable distributed generation:PV and wind power integration in Iran
[J].Renewable Energy ,2010 ,35 (9 ):1991 -2000 . doi:10.1016/j.renene.2010.01.031
[本文引用: 1]
[24]
MILLER F P , VANDOMEE A F , MCBREWSTER J .Bayesian information criterion [M].Montana,USA :Alphascript Publishing ,2010 .
[本文引用: 1]
[25]
SINGHEE A R R A .Why Quasi-Monte Carlo is better than Monte Carlo or Latin hypercube sampling for statistical circuit analysis
[J].IEEE Transactions on Computer-Aided Design of Integrated Circuits and Systems ,2010 ,29 (11 ):1763 -1776 . doi:10.1109/tcad.2010.2062750
[本文引用: 1]
[26]
吕勤 .含风光储联合系统的发输电风险评估
[D].北京 :华北电力大学 ,2013 .
[本文引用: 3]
LV Q .Risk assessment of generation and transmission including wind-PV-ES hybrid power system
[D].Beijing :North China Electric Power University ,2013 .
[本文引用: 3]
[28]
王蕾 .分布式电源建模及其对配电网可靠性的影响研究
[D].合肥 :合肥工业大学 ,2015 .
[本文引用: 1]
WANG L .Research on modeling of distributed gene-ration and effect on distribution system reliability
[D].Hefei :Hefei University of Technology ,2015 .
[本文引用: 1]
考虑运行风险的含储能综合能源系统优化调度
1
2020
... 因地制宜发展光伏发电、风电等可再生能源,建设风光储一体化基地是我国贯彻落实碳达峰、碳中和战略目标的重要途径.然而,风能和太阳能的间歇性和不确定性给电网安全可靠运行带来风险[1 -3 ] .目前,储能可作为一种成熟技术用来平抑间歇性能源发电功率的频繁波动,提高电网的可靠性水平[4 -5 ] .我国缺乏常规能源的东部沿海地区大多处于用电负荷中心,附近海域常年风能资源丰富,大力建设海上风电场是发展趋势.海上风电未来将成为缓解我国东部地区电力供需压力的重要途径.海上风电与光伏、储能等多种能源的综合开发利用和融合发展,也将是未来海上风电的重要发展方向.多个海上风电场、光伏电站及储能电站联合系统接入城市电网时,势必会对电网的供电可靠性产生积极的影响.在评估电网可靠性影响时,如何准确地模拟风电场功率、光伏电站功率和电网负荷是系统可靠性评估的基础. ...
考虑运行风险的含储能综合能源系统优化调度
1
2020
... 因地制宜发展光伏发电、风电等可再生能源,建设风光储一体化基地是我国贯彻落实碳达峰、碳中和战略目标的重要途径.然而,风能和太阳能的间歇性和不确定性给电网安全可靠运行带来风险[1 -3 ] .目前,储能可作为一种成熟技术用来平抑间歇性能源发电功率的频繁波动,提高电网的可靠性水平[4 -5 ] .我国缺乏常规能源的东部沿海地区大多处于用电负荷中心,附近海域常年风能资源丰富,大力建设海上风电场是发展趋势.海上风电未来将成为缓解我国东部地区电力供需压力的重要途径.海上风电与光伏、储能等多种能源的综合开发利用和融合发展,也将是未来海上风电的重要发展方向.多个海上风电场、光伏电站及储能电站联合系统接入城市电网时,势必会对电网的供电可靠性产生积极的影响.在评估电网可靠性影响时,如何准确地模拟风电场功率、光伏电站功率和电网负荷是系统可靠性评估的基础. ...
甘肃地区高比例新能源大外送电网面临的挑战及思考
0
2020
甘肃地区高比例新能源大外送电网面临的挑战及思考
0
2020
基于改进FPA-LHS算法的并网型微电网容量优化配置研究
1
2021
... 因地制宜发展光伏发电、风电等可再生能源,建设风光储一体化基地是我国贯彻落实碳达峰、碳中和战略目标的重要途径.然而,风能和太阳能的间歇性和不确定性给电网安全可靠运行带来风险[1 -3 ] .目前,储能可作为一种成熟技术用来平抑间歇性能源发电功率的频繁波动,提高电网的可靠性水平[4 -5 ] .我国缺乏常规能源的东部沿海地区大多处于用电负荷中心,附近海域常年风能资源丰富,大力建设海上风电场是发展趋势.海上风电未来将成为缓解我国东部地区电力供需压力的重要途径.海上风电与光伏、储能等多种能源的综合开发利用和融合发展,也将是未来海上风电的重要发展方向.多个海上风电场、光伏电站及储能电站联合系统接入城市电网时,势必会对电网的供电可靠性产生积极的影响.在评估电网可靠性影响时,如何准确地模拟风电场功率、光伏电站功率和电网负荷是系统可靠性评估的基础. ...
基于改进FPA-LHS算法的并网型微电网容量优化配置研究
1
2021
... 因地制宜发展光伏发电、风电等可再生能源,建设风光储一体化基地是我国贯彻落实碳达峰、碳中和战略目标的重要途径.然而,风能和太阳能的间歇性和不确定性给电网安全可靠运行带来风险[1 -3 ] .目前,储能可作为一种成熟技术用来平抑间歇性能源发电功率的频繁波动,提高电网的可靠性水平[4 -5 ] .我国缺乏常规能源的东部沿海地区大多处于用电负荷中心,附近海域常年风能资源丰富,大力建设海上风电场是发展趋势.海上风电未来将成为缓解我国东部地区电力供需压力的重要途径.海上风电与光伏、储能等多种能源的综合开发利用和融合发展,也将是未来海上风电的重要发展方向.多个海上风电场、光伏电站及储能电站联合系统接入城市电网时,势必会对电网的供电可靠性产生积极的影响.在评估电网可靠性影响时,如何准确地模拟风电场功率、光伏电站功率和电网负荷是系统可靠性评估的基础. ...
考虑储能寿命和参与调频服务的风储联合运行优化策略
1
2020
... 因地制宜发展光伏发电、风电等可再生能源,建设风光储一体化基地是我国贯彻落实碳达峰、碳中和战略目标的重要途径.然而,风能和太阳能的间歇性和不确定性给电网安全可靠运行带来风险[1 -3 ] .目前,储能可作为一种成熟技术用来平抑间歇性能源发电功率的频繁波动,提高电网的可靠性水平[4 -5 ] .我国缺乏常规能源的东部沿海地区大多处于用电负荷中心,附近海域常年风能资源丰富,大力建设海上风电场是发展趋势.海上风电未来将成为缓解我国东部地区电力供需压力的重要途径.海上风电与光伏、储能等多种能源的综合开发利用和融合发展,也将是未来海上风电的重要发展方向.多个海上风电场、光伏电站及储能电站联合系统接入城市电网时,势必会对电网的供电可靠性产生积极的影响.在评估电网可靠性影响时,如何准确地模拟风电场功率、光伏电站功率和电网负荷是系统可靠性评估的基础. ...
考虑储能寿命和参与调频服务的风储联合运行优化策略
1
2020
... 因地制宜发展光伏发电、风电等可再生能源,建设风光储一体化基地是我国贯彻落实碳达峰、碳中和战略目标的重要途径.然而,风能和太阳能的间歇性和不确定性给电网安全可靠运行带来风险[1 -3 ] .目前,储能可作为一种成熟技术用来平抑间歇性能源发电功率的频繁波动,提高电网的可靠性水平[4 -5 ] .我国缺乏常规能源的东部沿海地区大多处于用电负荷中心,附近海域常年风能资源丰富,大力建设海上风电场是发展趋势.海上风电未来将成为缓解我国东部地区电力供需压力的重要途径.海上风电与光伏、储能等多种能源的综合开发利用和融合发展,也将是未来海上风电的重要发展方向.多个海上风电场、光伏电站及储能电站联合系统接入城市电网时,势必会对电网的供电可靠性产生积极的影响.在评估电网可靠性影响时,如何准确地模拟风电场功率、光伏电站功率和电网负荷是系统可靠性评估的基础. ...
考虑储能系统动态全寿命周期特性的多功能应用需求规划方法
1
2020
... 因地制宜发展光伏发电、风电等可再生能源,建设风光储一体化基地是我国贯彻落实碳达峰、碳中和战略目标的重要途径.然而,风能和太阳能的间歇性和不确定性给电网安全可靠运行带来风险[1 -3 ] .目前,储能可作为一种成熟技术用来平抑间歇性能源发电功率的频繁波动,提高电网的可靠性水平[4 -5 ] .我国缺乏常规能源的东部沿海地区大多处于用电负荷中心,附近海域常年风能资源丰富,大力建设海上风电场是发展趋势.海上风电未来将成为缓解我国东部地区电力供需压力的重要途径.海上风电与光伏、储能等多种能源的综合开发利用和融合发展,也将是未来海上风电的重要发展方向.多个海上风电场、光伏电站及储能电站联合系统接入城市电网时,势必会对电网的供电可靠性产生积极的影响.在评估电网可靠性影响时,如何准确地模拟风电场功率、光伏电站功率和电网负荷是系统可靠性评估的基础. ...
考虑储能系统动态全寿命周期特性的多功能应用需求规划方法
1
2020
... 因地制宜发展光伏发电、风电等可再生能源,建设风光储一体化基地是我国贯彻落实碳达峰、碳中和战略目标的重要途径.然而,风能和太阳能的间歇性和不确定性给电网安全可靠运行带来风险[1 -3 ] .目前,储能可作为一种成熟技术用来平抑间歇性能源发电功率的频繁波动,提高电网的可靠性水平[4 -5 ] .我国缺乏常规能源的东部沿海地区大多处于用电负荷中心,附近海域常年风能资源丰富,大力建设海上风电场是发展趋势.海上风电未来将成为缓解我国东部地区电力供需压力的重要途径.海上风电与光伏、储能等多种能源的综合开发利用和融合发展,也将是未来海上风电的重要发展方向.多个海上风电场、光伏电站及储能电站联合系统接入城市电网时,势必会对电网的供电可靠性产生积极的影响.在评估电网可靠性影响时,如何准确地模拟风电场功率、光伏电站功率和电网负荷是系统可靠性评估的基础. ...
基于序贯蒙特卡洛模拟的风光储发电系统可靠性评估
2
2017
... 近年来,国内外专家对风光储联合系统的可靠性评估进行了大量研究[6 -9 ] .如:文献[6 ]针对风、光资源的分布特点,结合发电系统设备的运行状态,建立了含风力、光伏、储能的发电系统可靠性数学模型,在风光储不同的协调运行方式下,对含风光储的发电系统进行了可靠性评估.文献[7 ]根据电力系统实际负荷数据,分别对只含常规机组、风电并网以及储能参与高比例风电并网3个不同场景下的电力系统进行了可靠性指标计算,分析了储能系统对电力系统可靠运行的积极影响.文献[8 ]建立了风电机组功率时序模型和含风电场-储能发电系统可靠性评估模型,并结合常规机组的状态模型,建立了基于序贯蒙特卡罗仿真的含风电-储能发电系统可靠性模型,量化储能系统和风电场接入发电系统的可靠性影响.文献[9 ]提出一种兼顾可靠性、灵活性和经济性的风光储虚拟电厂分层容量配置策略,以提升系统的可靠性水平和经济效益.然而,以上研究均未考虑新能源功率之间、新能源功率与电网负荷之间的相关特性,以及恶劣天气对风电场的影响等因素,不能客观地反映真实系统可靠性水平. ...
... .如:文献[6 ]针对风、光资源的分布特点,结合发电系统设备的运行状态,建立了含风力、光伏、储能的发电系统可靠性数学模型,在风光储不同的协调运行方式下,对含风光储的发电系统进行了可靠性评估.文献[7 ]根据电力系统实际负荷数据,分别对只含常规机组、风电并网以及储能参与高比例风电并网3个不同场景下的电力系统进行了可靠性指标计算,分析了储能系统对电力系统可靠运行的积极影响.文献[8 ]建立了风电机组功率时序模型和含风电场-储能发电系统可靠性评估模型,并结合常规机组的状态模型,建立了基于序贯蒙特卡罗仿真的含风电-储能发电系统可靠性模型,量化储能系统和风电场接入发电系统的可靠性影响.文献[9 ]提出一种兼顾可靠性、灵活性和经济性的风光储虚拟电厂分层容量配置策略,以提升系统的可靠性水平和经济效益.然而,以上研究均未考虑新能源功率之间、新能源功率与电网负荷之间的相关特性,以及恶劣天气对风电场的影响等因素,不能客观地反映真实系统可靠性水平. ...
基于序贯蒙特卡洛模拟的风光储发电系统可靠性评估
2
2017
... 近年来,国内外专家对风光储联合系统的可靠性评估进行了大量研究[6 -9 ] .如:文献[6 ]针对风、光资源的分布特点,结合发电系统设备的运行状态,建立了含风力、光伏、储能的发电系统可靠性数学模型,在风光储不同的协调运行方式下,对含风光储的发电系统进行了可靠性评估.文献[7 ]根据电力系统实际负荷数据,分别对只含常规机组、风电并网以及储能参与高比例风电并网3个不同场景下的电力系统进行了可靠性指标计算,分析了储能系统对电力系统可靠运行的积极影响.文献[8 ]建立了风电机组功率时序模型和含风电场-储能发电系统可靠性评估模型,并结合常规机组的状态模型,建立了基于序贯蒙特卡罗仿真的含风电-储能发电系统可靠性模型,量化储能系统和风电场接入发电系统的可靠性影响.文献[9 ]提出一种兼顾可靠性、灵活性和经济性的风光储虚拟电厂分层容量配置策略,以提升系统的可靠性水平和经济效益.然而,以上研究均未考虑新能源功率之间、新能源功率与电网负荷之间的相关特性,以及恶劣天气对风电场的影响等因素,不能客观地反映真实系统可靠性水平. ...
... .如:文献[6 ]针对风、光资源的分布特点,结合发电系统设备的运行状态,建立了含风力、光伏、储能的发电系统可靠性数学模型,在风光储不同的协调运行方式下,对含风光储的发电系统进行了可靠性评估.文献[7 ]根据电力系统实际负荷数据,分别对只含常规机组、风电并网以及储能参与高比例风电并网3个不同场景下的电力系统进行了可靠性指标计算,分析了储能系统对电力系统可靠运行的积极影响.文献[8 ]建立了风电机组功率时序模型和含风电场-储能发电系统可靠性评估模型,并结合常规机组的状态模型,建立了基于序贯蒙特卡罗仿真的含风电-储能发电系统可靠性模型,量化储能系统和风电场接入发电系统的可靠性影响.文献[9 ]提出一种兼顾可靠性、灵活性和经济性的风光储虚拟电厂分层容量配置策略,以提升系统的可靠性水平和经济效益.然而,以上研究均未考虑新能源功率之间、新能源功率与电网负荷之间的相关特性,以及恶劣天气对风电场的影响等因素,不能客观地反映真实系统可靠性水平. ...
储能提升含高比例风电电力系统可靠性分析
3
2020
... 近年来,国内外专家对风光储联合系统的可靠性评估进行了大量研究[6 -9 ] .如:文献[6 ]针对风、光资源的分布特点,结合发电系统设备的运行状态,建立了含风力、光伏、储能的发电系统可靠性数学模型,在风光储不同的协调运行方式下,对含风光储的发电系统进行了可靠性评估.文献[7 ]根据电力系统实际负荷数据,分别对只含常规机组、风电并网以及储能参与高比例风电并网3个不同场景下的电力系统进行了可靠性指标计算,分析了储能系统对电力系统可靠运行的积极影响.文献[8 ]建立了风电机组功率时序模型和含风电场-储能发电系统可靠性评估模型,并结合常规机组的状态模型,建立了基于序贯蒙特卡罗仿真的含风电-储能发电系统可靠性模型,量化储能系统和风电场接入发电系统的可靠性影响.文献[9 ]提出一种兼顾可靠性、灵活性和经济性的风光储虚拟电厂分层容量配置策略,以提升系统的可靠性水平和经济效益.然而,以上研究均未考虑新能源功率之间、新能源功率与电网负荷之间的相关特性,以及恶劣天气对风电场的影响等因素,不能客观地反映真实系统可靠性水平. ...
... 1)利用非参数核密度分布函数[7 ] 将风电场功率、光伏电站功率和电网负荷样本转换为服从[0, 1]均匀分布的时序数据,作为构建模型的初始点,即C藤结构中树T 1 的观测值; ...
... 风光荷间相关性、风光配置比例、系统输出功率波动性和储能电站的容量是含风光储发输电系统可靠性规划不可忽视的因素.采用8类Copula函数模型来描述风电场功率、光伏电站功率以及电网负荷三者间相关性结构,模拟产生风电场功率、光伏电站功率以及电网负荷的相关性样本,依据图2 流程对该算例系统进行了可靠性评估.为了在加入4个新能源发电场后保持其传输网络约束的有效性,系统的总负荷增加到原来的1.06倍.传统发电机的容量、可靠性参数、基本的负荷数据参考文献[27 ],所有发电机组的随机失效用两状态模型来表示,模拟时间为100 a.风电场中风机模块以及柔性直流输电(voltage sourced converter based high voltage direct current,VSC-HVDC)组合系统的故障率及平均修复时间的计算方法参考文献[7 ].光伏电站中光伏逆变器和光伏阵列的故障率分别为0.353、0.000 133次/a,平均修复时间分别为240、250 h/次[28 ] .蓄能电站蓄电池组的故障率为5次/a,平均修复时间为70 h/次.切负荷概率(probability of load curtailment,PLC)和期望缺供电量(expected energy not supplied,EENS)是目前评估发输电系统可靠性的2个代表性指标[26 ] .在不接入风电场、光伏电站和储能电池时,IEEE-RTS79系统的EENS为1 383.7 MW⋅h/a,PLC为0.001 35. ...
储能提升含高比例风电电力系统可靠性分析
3
2020
... 近年来,国内外专家对风光储联合系统的可靠性评估进行了大量研究[6 -9 ] .如:文献[6 ]针对风、光资源的分布特点,结合发电系统设备的运行状态,建立了含风力、光伏、储能的发电系统可靠性数学模型,在风光储不同的协调运行方式下,对含风光储的发电系统进行了可靠性评估.文献[7 ]根据电力系统实际负荷数据,分别对只含常规机组、风电并网以及储能参与高比例风电并网3个不同场景下的电力系统进行了可靠性指标计算,分析了储能系统对电力系统可靠运行的积极影响.文献[8 ]建立了风电机组功率时序模型和含风电场-储能发电系统可靠性评估模型,并结合常规机组的状态模型,建立了基于序贯蒙特卡罗仿真的含风电-储能发电系统可靠性模型,量化储能系统和风电场接入发电系统的可靠性影响.文献[9 ]提出一种兼顾可靠性、灵活性和经济性的风光储虚拟电厂分层容量配置策略,以提升系统的可靠性水平和经济效益.然而,以上研究均未考虑新能源功率之间、新能源功率与电网负荷之间的相关特性,以及恶劣天气对风电场的影响等因素,不能客观地反映真实系统可靠性水平. ...
... 1)利用非参数核密度分布函数[7 ] 将风电场功率、光伏电站功率和电网负荷样本转换为服从[0, 1]均匀分布的时序数据,作为构建模型的初始点,即C藤结构中树T 1 的观测值; ...
... 风光荷间相关性、风光配置比例、系统输出功率波动性和储能电站的容量是含风光储发输电系统可靠性规划不可忽视的因素.采用8类Copula函数模型来描述风电场功率、光伏电站功率以及电网负荷三者间相关性结构,模拟产生风电场功率、光伏电站功率以及电网负荷的相关性样本,依据图2 流程对该算例系统进行了可靠性评估.为了在加入4个新能源发电场后保持其传输网络约束的有效性,系统的总负荷增加到原来的1.06倍.传统发电机的容量、可靠性参数、基本的负荷数据参考文献[27 ],所有发电机组的随机失效用两状态模型来表示,模拟时间为100 a.风电场中风机模块以及柔性直流输电(voltage sourced converter based high voltage direct current,VSC-HVDC)组合系统的故障率及平均修复时间的计算方法参考文献[7 ].光伏电站中光伏逆变器和光伏阵列的故障率分别为0.353、0.000 133次/a,平均修复时间分别为240、250 h/次[28 ] .蓄能电站蓄电池组的故障率为5次/a,平均修复时间为70 h/次.切负荷概率(probability of load curtailment,PLC)和期望缺供电量(expected energy not supplied,EENS)是目前评估发输电系统可靠性的2个代表性指标[26 ] .在不接入风电场、光伏电站和储能电池时,IEEE-RTS79系统的EENS为1 383.7 MW⋅h/a,PLC为0.001 35. ...
基于蒙特卡洛模拟的含风电-储能发电系统可靠性评估
1
... 近年来,国内外专家对风光储联合系统的可靠性评估进行了大量研究[6 -9 ] .如:文献[6 ]针对风、光资源的分布特点,结合发电系统设备的运行状态,建立了含风力、光伏、储能的发电系统可靠性数学模型,在风光储不同的协调运行方式下,对含风光储的发电系统进行了可靠性评估.文献[7 ]根据电力系统实际负荷数据,分别对只含常规机组、风电并网以及储能参与高比例风电并网3个不同场景下的电力系统进行了可靠性指标计算,分析了储能系统对电力系统可靠运行的积极影响.文献[8 ]建立了风电机组功率时序模型和含风电场-储能发电系统可靠性评估模型,并结合常规机组的状态模型,建立了基于序贯蒙特卡罗仿真的含风电-储能发电系统可靠性模型,量化储能系统和风电场接入发电系统的可靠性影响.文献[9 ]提出一种兼顾可靠性、灵活性和经济性的风光储虚拟电厂分层容量配置策略,以提升系统的可靠性水平和经济效益.然而,以上研究均未考虑新能源功率之间、新能源功率与电网负荷之间的相关特性,以及恶劣天气对风电场的影响等因素,不能客观地反映真实系统可靠性水平. ...
基于蒙特卡洛模拟的含风电-储能发电系统可靠性评估
1
... 近年来,国内外专家对风光储联合系统的可靠性评估进行了大量研究[6 -9 ] .如:文献[6 ]针对风、光资源的分布特点,结合发电系统设备的运行状态,建立了含风力、光伏、储能的发电系统可靠性数学模型,在风光储不同的协调运行方式下,对含风光储的发电系统进行了可靠性评估.文献[7 ]根据电力系统实际负荷数据,分别对只含常规机组、风电并网以及储能参与高比例风电并网3个不同场景下的电力系统进行了可靠性指标计算,分析了储能系统对电力系统可靠运行的积极影响.文献[8 ]建立了风电机组功率时序模型和含风电场-储能发电系统可靠性评估模型,并结合常规机组的状态模型,建立了基于序贯蒙特卡罗仿真的含风电-储能发电系统可靠性模型,量化储能系统和风电场接入发电系统的可靠性影响.文献[9 ]提出一种兼顾可靠性、灵活性和经济性的风光储虚拟电厂分层容量配置策略,以提升系统的可靠性水平和经济效益.然而,以上研究均未考虑新能源功率之间、新能源功率与电网负荷之间的相关特性,以及恶劣天气对风电场的影响等因素,不能客观地反映真实系统可靠性水平. ...
考虑可靠性及灵活性的风光储虚拟电厂分层容量配置
2
2022
... 近年来,国内外专家对风光储联合系统的可靠性评估进行了大量研究[6 -9 ] .如:文献[6 ]针对风、光资源的分布特点,结合发电系统设备的运行状态,建立了含风力、光伏、储能的发电系统可靠性数学模型,在风光储不同的协调运行方式下,对含风光储的发电系统进行了可靠性评估.文献[7 ]根据电力系统实际负荷数据,分别对只含常规机组、风电并网以及储能参与高比例风电并网3个不同场景下的电力系统进行了可靠性指标计算,分析了储能系统对电力系统可靠运行的积极影响.文献[8 ]建立了风电机组功率时序模型和含风电场-储能发电系统可靠性评估模型,并结合常规机组的状态模型,建立了基于序贯蒙特卡罗仿真的含风电-储能发电系统可靠性模型,量化储能系统和风电场接入发电系统的可靠性影响.文献[9 ]提出一种兼顾可靠性、灵活性和经济性的风光储虚拟电厂分层容量配置策略,以提升系统的可靠性水平和经济效益.然而,以上研究均未考虑新能源功率之间、新能源功率与电网负荷之间的相关特性,以及恶劣天气对风电场的影响等因素,不能客观地反映真实系统可靠性水平. ...
... ]建立了风电机组功率时序模型和含风电场-储能发电系统可靠性评估模型,并结合常规机组的状态模型,建立了基于序贯蒙特卡罗仿真的含风电-储能发电系统可靠性模型,量化储能系统和风电场接入发电系统的可靠性影响.文献[9 ]提出一种兼顾可靠性、灵活性和经济性的风光储虚拟电厂分层容量配置策略,以提升系统的可靠性水平和经济效益.然而,以上研究均未考虑新能源功率之间、新能源功率与电网负荷之间的相关特性,以及恶劣天气对风电场的影响等因素,不能客观地反映真实系统可靠性水平. ...
考虑可靠性及灵活性的风光储虚拟电厂分层容量配置
2
2022
... 近年来,国内外专家对风光储联合系统的可靠性评估进行了大量研究[6 -9 ] .如:文献[6 ]针对风、光资源的分布特点,结合发电系统设备的运行状态,建立了含风力、光伏、储能的发电系统可靠性数学模型,在风光储不同的协调运行方式下,对含风光储的发电系统进行了可靠性评估.文献[7 ]根据电力系统实际负荷数据,分别对只含常规机组、风电并网以及储能参与高比例风电并网3个不同场景下的电力系统进行了可靠性指标计算,分析了储能系统对电力系统可靠运行的积极影响.文献[8 ]建立了风电机组功率时序模型和含风电场-储能发电系统可靠性评估模型,并结合常规机组的状态模型,建立了基于序贯蒙特卡罗仿真的含风电-储能发电系统可靠性模型,量化储能系统和风电场接入发电系统的可靠性影响.文献[9 ]提出一种兼顾可靠性、灵活性和经济性的风光储虚拟电厂分层容量配置策略,以提升系统的可靠性水平和经济效益.然而,以上研究均未考虑新能源功率之间、新能源功率与电网负荷之间的相关特性,以及恶劣天气对风电场的影响等因素,不能客观地反映真实系统可靠性水平. ...
... ]建立了风电机组功率时序模型和含风电场-储能发电系统可靠性评估模型,并结合常规机组的状态模型,建立了基于序贯蒙特卡罗仿真的含风电-储能发电系统可靠性模型,量化储能系统和风电场接入发电系统的可靠性影响.文献[9 ]提出一种兼顾可靠性、灵活性和经济性的风光储虚拟电厂分层容量配置策略,以提升系统的可靠性水平和经济效益.然而,以上研究均未考虑新能源功率之间、新能源功率与电网负荷之间的相关特性,以及恶劣天气对风电场的影响等因素,不能客观地反映真实系统可靠性水平. ...
Generation system reliability evaluation incorporating correlations of wind speeds with different distributions
1
2013
... 同一区域的风电场功率、光伏电站功率和电网负荷三者之间也存在或正或负的相关结构,如果忽略这种相关性,就会产生较大的系统可靠性评估误差[10 ] .相比于陆上风电场,海上风电场及其附属并网系统易受海上恶劣天气的影响,其故障率高以及维修时间长的特点凸显,传统可靠性评估模型误差较大,需考虑恶劣天气对海上风电场及柔性直流并网系统可靠性评估的影响[11 ] .综上所述,为了准确地建立风电场功率、光伏电站功率和电网负荷三者联合系统的可靠性模型,需要综合计入风电场功率、光伏电站功率和电网负荷三者的相关性,以及恶劣天气对海上风电场风机及其柔性直流并网系统随机故障率的影响等因素. ...
A sequential MCMC model for reliability evaluation of offshore wind farms considering severe weather conditions
1
2019
... 同一区域的风电场功率、光伏电站功率和电网负荷三者之间也存在或正或负的相关结构,如果忽略这种相关性,就会产生较大的系统可靠性评估误差[10 ] .相比于陆上风电场,海上风电场及其附属并网系统易受海上恶劣天气的影响,其故障率高以及维修时间长的特点凸显,传统可靠性评估模型误差较大,需考虑恶劣天气对海上风电场及柔性直流并网系统可靠性评估的影响[11 ] .综上所述,为了准确地建立风电场功率、光伏电站功率和电网负荷三者联合系统的可靠性模型,需要综合计入风电场功率、光伏电站功率和电网负荷三者的相关性,以及恶劣天气对海上风电场风机及其柔性直流并网系统随机故障率的影响等因素. ...
计及无功裕度的配电网两阶段无功优化调度策略
1
2021
... 在描述风电场功率、光伏电站功率和电网负荷间相关结构方面,由于Copula函数可以完整地描述多变量间的相关结构,尤其在刻画非线性相关性方面存在明显优势[12 ] ,被越来越广泛地应用到相依结构分析等领域.常用的Copula函数虽然可以扩展到高维形式,但表达式往往非常复杂,不利于在高维情景中的应用;并且假设两两变量间具有一致相依结构,如果用同一函数表达此相依结构,则存在明显的不足.已有研究用单一静态Copula函数[13 ] 、单一时变Copula函数[14 -15 ] 、混合静态Copula函数[16 -17 ] 、混合时变Copula函数[18 ] 、基于藤结构的单一静态Copula函数[19 ] 、基于藤结构的混合静态Copula函数[20 ] 探索多个风电场功率间的相关性,以及风电场与光伏电站功率间的相关性,但均未能有效地刻画这些新能源功率间隐藏的相关性,而且也没有描述这些新能源与电网负荷间的相关结构. ...
计及无功裕度的配电网两阶段无功优化调度策略
1
2021
... 在描述风电场功率、光伏电站功率和电网负荷间相关结构方面,由于Copula函数可以完整地描述多变量间的相关结构,尤其在刻画非线性相关性方面存在明显优势[12 ] ,被越来越广泛地应用到相依结构分析等领域.常用的Copula函数虽然可以扩展到高维形式,但表达式往往非常复杂,不利于在高维情景中的应用;并且假设两两变量间具有一致相依结构,如果用同一函数表达此相依结构,则存在明显的不足.已有研究用单一静态Copula函数[13 ] 、单一时变Copula函数[14 -15 ] 、混合静态Copula函数[16 -17 ] 、混合时变Copula函数[18 ] 、基于藤结构的单一静态Copula函数[19 ] 、基于藤结构的混合静态Copula函数[20 ] 探索多个风电场功率间的相关性,以及风电场与光伏电站功率间的相关性,但均未能有效地刻画这些新能源功率间隐藏的相关性,而且也没有描述这些新能源与电网负荷间的相关结构. ...
基于 Copula 的多风电场功率相关性建模及其在电网经济调度中的应用
1
2016
... 在描述风电场功率、光伏电站功率和电网负荷间相关结构方面,由于Copula函数可以完整地描述多变量间的相关结构,尤其在刻画非线性相关性方面存在明显优势[12 ] ,被越来越广泛地应用到相依结构分析等领域.常用的Copula函数虽然可以扩展到高维形式,但表达式往往非常复杂,不利于在高维情景中的应用;并且假设两两变量间具有一致相依结构,如果用同一函数表达此相依结构,则存在明显的不足.已有研究用单一静态Copula函数[13 ] 、单一时变Copula函数[14 -15 ] 、混合静态Copula函数[16 -17 ] 、混合时变Copula函数[18 ] 、基于藤结构的单一静态Copula函数[19 ] 、基于藤结构的混合静态Copula函数[20 ] 探索多个风电场功率间的相关性,以及风电场与光伏电站功率间的相关性,但均未能有效地刻画这些新能源功率间隐藏的相关性,而且也没有描述这些新能源与电网负荷间的相关结构. ...
基于 Copula 的多风电场功率相关性建模及其在电网经济调度中的应用
1
2016
... 在描述风电场功率、光伏电站功率和电网负荷间相关结构方面,由于Copula函数可以完整地描述多变量间的相关结构,尤其在刻画非线性相关性方面存在明显优势[12 ] ,被越来越广泛地应用到相依结构分析等领域.常用的Copula函数虽然可以扩展到高维形式,但表达式往往非常复杂,不利于在高维情景中的应用;并且假设两两变量间具有一致相依结构,如果用同一函数表达此相依结构,则存在明显的不足.已有研究用单一静态Copula函数[13 ] 、单一时变Copula函数[14 -15 ] 、混合静态Copula函数[16 -17 ] 、混合时变Copula函数[18 ] 、基于藤结构的单一静态Copula函数[19 ] 、基于藤结构的混合静态Copula函数[20 ] 探索多个风电场功率间的相关性,以及风电场与光伏电站功率间的相关性,但均未能有效地刻画这些新能源功率间隐藏的相关性,而且也没有描述这些新能源与电网负荷间的相关结构. ...
基于时变Copula函数的风电功率相关性分析
5
2015
... 在描述风电场功率、光伏电站功率和电网负荷间相关结构方面,由于Copula函数可以完整地描述多变量间的相关结构,尤其在刻画非线性相关性方面存在明显优势[12 ] ,被越来越广泛地应用到相依结构分析等领域.常用的Copula函数虽然可以扩展到高维形式,但表达式往往非常复杂,不利于在高维情景中的应用;并且假设两两变量间具有一致相依结构,如果用同一函数表达此相依结构,则存在明显的不足.已有研究用单一静态Copula函数[13 ] 、单一时变Copula函数[14 -15 ] 、混合静态Copula函数[16 -17 ] 、混合时变Copula函数[18 ] 、基于藤结构的单一静态Copula函数[19 ] 、基于藤结构的混合静态Copula函数[20 ] 探索多个风电场功率间的相关性,以及风电场与光伏电站功率间的相关性,但均未能有效地刻画这些新能源功率间隐藏的相关性,而且也没有描述这些新能源与电网负荷间的相关结构. ...
... 风电场功率、光伏电站功率、电网负荷总是时刻变化的,三者间的相关特性也不是一成不变的,两两之间或呈正相关特性,或呈负相关特性,在一定的时间周期内必然存在一个相关性的变化,因此需通过时变相关Copula模型来描述变量间非线性时变相依结构[14 -15 ] .常用的相关Copula模型主要有时变t-Copula函数、时变Rotated Gumbel Copula(RG-Copula)函数、时变Symmetrized Joe-Clayton Copula(SJC-Copula)函数[14 -15 ] . ...
... [14 -15 ]. ...
... 式中:logistic变换函数Λ ' ( x ) = 1 + x 2 ,确保时变系数ρ R G , t > 1 ;ω R G 、α R G 、β R G 为时变方程参数;数据窗口σ 一般情况下取10[14 ] ,下同. ...
... 式中:logistic变换函数Λ ' ' ( x ) = ( 1 + e - x ) - 1 ,确保上下尾相关系数都在(0, 1)范围内;ω S J C U , β S J C U , α S J C U 为上尾时变方程参数;ω S J C L , β S J C L , α S J C L 为下尾时变方程参数.时变SJC-Copula函数可以较好地刻画上、下尾相关特性[14 ] . ...
基于时变Copula函数的风电功率相关性分析
5
2015
... 在描述风电场功率、光伏电站功率和电网负荷间相关结构方面,由于Copula函数可以完整地描述多变量间的相关结构,尤其在刻画非线性相关性方面存在明显优势[12 ] ,被越来越广泛地应用到相依结构分析等领域.常用的Copula函数虽然可以扩展到高维形式,但表达式往往非常复杂,不利于在高维情景中的应用;并且假设两两变量间具有一致相依结构,如果用同一函数表达此相依结构,则存在明显的不足.已有研究用单一静态Copula函数[13 ] 、单一时变Copula函数[14 -15 ] 、混合静态Copula函数[16 -17 ] 、混合时变Copula函数[18 ] 、基于藤结构的单一静态Copula函数[19 ] 、基于藤结构的混合静态Copula函数[20 ] 探索多个风电场功率间的相关性,以及风电场与光伏电站功率间的相关性,但均未能有效地刻画这些新能源功率间隐藏的相关性,而且也没有描述这些新能源与电网负荷间的相关结构. ...
... 风电场功率、光伏电站功率、电网负荷总是时刻变化的,三者间的相关特性也不是一成不变的,两两之间或呈正相关特性,或呈负相关特性,在一定的时间周期内必然存在一个相关性的变化,因此需通过时变相关Copula模型来描述变量间非线性时变相依结构[14 -15 ] .常用的相关Copula模型主要有时变t-Copula函数、时变Rotated Gumbel Copula(RG-Copula)函数、时变Symmetrized Joe-Clayton Copula(SJC-Copula)函数[14 -15 ] . ...
... [14 -15 ]. ...
... 式中:logistic变换函数Λ ' ( x ) = 1 + x 2 ,确保时变系数ρ R G , t > 1 ;ω R G 、α R G 、β R G 为时变方程参数;数据窗口σ 一般情况下取10[14 ] ,下同. ...
... 式中:logistic变换函数Λ ' ' ( x ) = ( 1 + e - x ) - 1 ,确保上下尾相关系数都在(0, 1)范围内;ω S J C U , β S J C U , α S J C U 为上尾时变方程参数;ω S J C L , β S J C L , α S J C L 为下尾时变方程参数.时变SJC-Copula函数可以较好地刻画上、下尾相关特性[14 ] . ...
基于动态Copula的风光联合功率建模及动态相关性分析
3
2019
... 在描述风电场功率、光伏电站功率和电网负荷间相关结构方面,由于Copula函数可以完整地描述多变量间的相关结构,尤其在刻画非线性相关性方面存在明显优势[12 ] ,被越来越广泛地应用到相依结构分析等领域.常用的Copula函数虽然可以扩展到高维形式,但表达式往往非常复杂,不利于在高维情景中的应用;并且假设两两变量间具有一致相依结构,如果用同一函数表达此相依结构,则存在明显的不足.已有研究用单一静态Copula函数[13 ] 、单一时变Copula函数[14 -15 ] 、混合静态Copula函数[16 -17 ] 、混合时变Copula函数[18 ] 、基于藤结构的单一静态Copula函数[19 ] 、基于藤结构的混合静态Copula函数[20 ] 探索多个风电场功率间的相关性,以及风电场与光伏电站功率间的相关性,但均未能有效地刻画这些新能源功率间隐藏的相关性,而且也没有描述这些新能源与电网负荷间的相关结构. ...
... 风电场功率、光伏电站功率、电网负荷总是时刻变化的,三者间的相关特性也不是一成不变的,两两之间或呈正相关特性,或呈负相关特性,在一定的时间周期内必然存在一个相关性的变化,因此需通过时变相关Copula模型来描述变量间非线性时变相依结构[14 -15 ] .常用的相关Copula模型主要有时变t-Copula函数、时变Rotated Gumbel Copula(RG-Copula)函数、时变Symmetrized Joe-Clayton Copula(SJC-Copula)函数[14 -15 ] . ...
... -15 ]. ...
基于动态Copula的风光联合功率建模及动态相关性分析
3
2019
... 在描述风电场功率、光伏电站功率和电网负荷间相关结构方面,由于Copula函数可以完整地描述多变量间的相关结构,尤其在刻画非线性相关性方面存在明显优势[12 ] ,被越来越广泛地应用到相依结构分析等领域.常用的Copula函数虽然可以扩展到高维形式,但表达式往往非常复杂,不利于在高维情景中的应用;并且假设两两变量间具有一致相依结构,如果用同一函数表达此相依结构,则存在明显的不足.已有研究用单一静态Copula函数[13 ] 、单一时变Copula函数[14 -15 ] 、混合静态Copula函数[16 -17 ] 、混合时变Copula函数[18 ] 、基于藤结构的单一静态Copula函数[19 ] 、基于藤结构的混合静态Copula函数[20 ] 探索多个风电场功率间的相关性,以及风电场与光伏电站功率间的相关性,但均未能有效地刻画这些新能源功率间隐藏的相关性,而且也没有描述这些新能源与电网负荷间的相关结构. ...
... 风电场功率、光伏电站功率、电网负荷总是时刻变化的,三者间的相关特性也不是一成不变的,两两之间或呈正相关特性,或呈负相关特性,在一定的时间周期内必然存在一个相关性的变化,因此需通过时变相关Copula模型来描述变量间非线性时变相依结构[14 -15 ] .常用的相关Copula模型主要有时变t-Copula函数、时变Rotated Gumbel Copula(RG-Copula)函数、时变Symmetrized Joe-Clayton Copula(SJC-Copula)函数[14 -15 ] . ...
... -15 ]. ...
计及源荷匹配的风光互补特性分析与评价
1
2020
... 在描述风电场功率、光伏电站功率和电网负荷间相关结构方面,由于Copula函数可以完整地描述多变量间的相关结构,尤其在刻画非线性相关性方面存在明显优势[12 ] ,被越来越广泛地应用到相依结构分析等领域.常用的Copula函数虽然可以扩展到高维形式,但表达式往往非常复杂,不利于在高维情景中的应用;并且假设两两变量间具有一致相依结构,如果用同一函数表达此相依结构,则存在明显的不足.已有研究用单一静态Copula函数[13 ] 、单一时变Copula函数[14 -15 ] 、混合静态Copula函数[16 -17 ] 、混合时变Copula函数[18 ] 、基于藤结构的单一静态Copula函数[19 ] 、基于藤结构的混合静态Copula函数[20 ] 探索多个风电场功率间的相关性,以及风电场与光伏电站功率间的相关性,但均未能有效地刻画这些新能源功率间隐藏的相关性,而且也没有描述这些新能源与电网负荷间的相关结构. ...
计及源荷匹配的风光互补特性分析与评价
1
2020
... 在描述风电场功率、光伏电站功率和电网负荷间相关结构方面,由于Copula函数可以完整地描述多变量间的相关结构,尤其在刻画非线性相关性方面存在明显优势[12 ] ,被越来越广泛地应用到相依结构分析等领域.常用的Copula函数虽然可以扩展到高维形式,但表达式往往非常复杂,不利于在高维情景中的应用;并且假设两两变量间具有一致相依结构,如果用同一函数表达此相依结构,则存在明显的不足.已有研究用单一静态Copula函数[13 ] 、单一时变Copula函数[14 -15 ] 、混合静态Copula函数[16 -17 ] 、混合时变Copula函数[18 ] 、基于藤结构的单一静态Copula函数[19 ] 、基于藤结构的混合静态Copula函数[20 ] 探索多个风电场功率间的相关性,以及风电场与光伏电站功率间的相关性,但均未能有效地刻画这些新能源功率间隐藏的相关性,而且也没有描述这些新能源与电网负荷间的相关结构. ...
基于混合Copula函数的风电功率相关性分析
3
2014
... 在描述风电场功率、光伏电站功率和电网负荷间相关结构方面,由于Copula函数可以完整地描述多变量间的相关结构,尤其在刻画非线性相关性方面存在明显优势[12 ] ,被越来越广泛地应用到相依结构分析等领域.常用的Copula函数虽然可以扩展到高维形式,但表达式往往非常复杂,不利于在高维情景中的应用;并且假设两两变量间具有一致相依结构,如果用同一函数表达此相依结构,则存在明显的不足.已有研究用单一静态Copula函数[13 ] 、单一时变Copula函数[14 -15 ] 、混合静态Copula函数[16 -17 ] 、混合时变Copula函数[18 ] 、基于藤结构的单一静态Copula函数[19 ] 、基于藤结构的混合静态Copula函数[20 ] 探索多个风电场功率间的相关性,以及风电场与光伏电站功率间的相关性,但均未能有效地刻画这些新能源功率间隐藏的相关性,而且也没有描述这些新能源与电网负荷间的相关结构. ...
... 由1.2节可知,不同的时变Copula函数在描述变量间相关性时各具特点,在实际应用中,如果用某一种时变Copula函数去精准刻画类型多样、时变、非线性的风光荷相关性特征,显然是不合适的.将这几类单一时变Copula函数通过一定的方式进行组合,构建一个混合时变Copula函数[17 ] ,不仅可以描述风光荷间的上尾相关、下尾相关和尾部对称相关3种相关模式,还可以通过选取不同的权重来描述三者之间上尾相关、下尾相关并存的非对称相关模式.因此,在刻画复杂多变的风光荷相关结构方面,混合时变Copula函数比单一时变Copula函数更加有优势.混合后的Copula函数[17 ] 表示为 ...
... [17 ]表示为 ...
基于混合Copula函数的风电功率相关性分析
3
2014
... 在描述风电场功率、光伏电站功率和电网负荷间相关结构方面,由于Copula函数可以完整地描述多变量间的相关结构,尤其在刻画非线性相关性方面存在明显优势[12 ] ,被越来越广泛地应用到相依结构分析等领域.常用的Copula函数虽然可以扩展到高维形式,但表达式往往非常复杂,不利于在高维情景中的应用;并且假设两两变量间具有一致相依结构,如果用同一函数表达此相依结构,则存在明显的不足.已有研究用单一静态Copula函数[13 ] 、单一时变Copula函数[14 -15 ] 、混合静态Copula函数[16 -17 ] 、混合时变Copula函数[18 ] 、基于藤结构的单一静态Copula函数[19 ] 、基于藤结构的混合静态Copula函数[20 ] 探索多个风电场功率间的相关性,以及风电场与光伏电站功率间的相关性,但均未能有效地刻画这些新能源功率间隐藏的相关性,而且也没有描述这些新能源与电网负荷间的相关结构. ...
... 由1.2节可知,不同的时变Copula函数在描述变量间相关性时各具特点,在实际应用中,如果用某一种时变Copula函数去精准刻画类型多样、时变、非线性的风光荷相关性特征,显然是不合适的.将这几类单一时变Copula函数通过一定的方式进行组合,构建一个混合时变Copula函数[17 ] ,不仅可以描述风光荷间的上尾相关、下尾相关和尾部对称相关3种相关模式,还可以通过选取不同的权重来描述三者之间上尾相关、下尾相关并存的非对称相关模式.因此,在刻画复杂多变的风光荷相关结构方面,混合时变Copula函数比单一时变Copula函数更加有优势.混合后的Copula函数[17 ] 表示为 ...
... [17 ]表示为 ...
考虑风电场时空相关性的多场景优化调度
1
2020
... 在描述风电场功率、光伏电站功率和电网负荷间相关结构方面,由于Copula函数可以完整地描述多变量间的相关结构,尤其在刻画非线性相关性方面存在明显优势[12 ] ,被越来越广泛地应用到相依结构分析等领域.常用的Copula函数虽然可以扩展到高维形式,但表达式往往非常复杂,不利于在高维情景中的应用;并且假设两两变量间具有一致相依结构,如果用同一函数表达此相依结构,则存在明显的不足.已有研究用单一静态Copula函数[13 ] 、单一时变Copula函数[14 -15 ] 、混合静态Copula函数[16 -17 ] 、混合时变Copula函数[18 ] 、基于藤结构的单一静态Copula函数[19 ] 、基于藤结构的混合静态Copula函数[20 ] 探索多个风电场功率间的相关性,以及风电场与光伏电站功率间的相关性,但均未能有效地刻画这些新能源功率间隐藏的相关性,而且也没有描述这些新能源与电网负荷间的相关结构. ...
考虑风电场时空相关性的多场景优化调度
1
2020
... 在描述风电场功率、光伏电站功率和电网负荷间相关结构方面,由于Copula函数可以完整地描述多变量间的相关结构,尤其在刻画非线性相关性方面存在明显优势[12 ] ,被越来越广泛地应用到相依结构分析等领域.常用的Copula函数虽然可以扩展到高维形式,但表达式往往非常复杂,不利于在高维情景中的应用;并且假设两两变量间具有一致相依结构,如果用同一函数表达此相依结构,则存在明显的不足.已有研究用单一静态Copula函数[13 ] 、单一时变Copula函数[14 -15 ] 、混合静态Copula函数[16 -17 ] 、混合时变Copula函数[18 ] 、基于藤结构的单一静态Copula函数[19 ] 、基于藤结构的混合静态Copula函数[20 ] 探索多个风电场功率间的相关性,以及风电场与光伏电站功率间的相关性,但均未能有效地刻画这些新能源功率间隐藏的相关性,而且也没有描述这些新能源与电网负荷间的相关结构. ...
基于Pair Copula的多维风电功率相关性分析及建模
3
2015
... 在描述风电场功率、光伏电站功率和电网负荷间相关结构方面,由于Copula函数可以完整地描述多变量间的相关结构,尤其在刻画非线性相关性方面存在明显优势[12 ] ,被越来越广泛地应用到相依结构分析等领域.常用的Copula函数虽然可以扩展到高维形式,但表达式往往非常复杂,不利于在高维情景中的应用;并且假设两两变量间具有一致相依结构,如果用同一函数表达此相依结构,则存在明显的不足.已有研究用单一静态Copula函数[13 ] 、单一时变Copula函数[14 -15 ] 、混合静态Copula函数[16 -17 ] 、混合时变Copula函数[18 ] 、基于藤结构的单一静态Copula函数[19 ] 、基于藤结构的混合静态Copula函数[20 ] 探索多个风电场功率间的相关性,以及风电场与光伏电站功率间的相关性,但均未能有效地刻画这些新能源功率间隐藏的相关性,而且也没有描述这些新能源与电网负荷间的相关结构. ...
... 藤Copula函数是近年来Copula理论中取得的较新进展,它建立在简单二元Copula函数基础上,能联合考虑高维变量间的相依结构.藤Copula模型可将多维变量的相依结构分解为多个二维相关变量,常用的有C藤和D藤结构,两者因逻辑结构不同,其适用的数据类型也有所差别[19 -20 ] .结合实际风电场功率、光伏电站功率、电网负荷间的相关性分析,本文采用C藤结构进行研究分析.C藤模型具有星型结构,如图1 所示. ...
... 具有相关性的风电场功率、光伏电站功率、电网负荷三者样本的产生步骤[19 ] 如下: ...
基于Pair Copula的多维风电功率相关性分析及建模
3
2015
... 在描述风电场功率、光伏电站功率和电网负荷间相关结构方面,由于Copula函数可以完整地描述多变量间的相关结构,尤其在刻画非线性相关性方面存在明显优势[12 ] ,被越来越广泛地应用到相依结构分析等领域.常用的Copula函数虽然可以扩展到高维形式,但表达式往往非常复杂,不利于在高维情景中的应用;并且假设两两变量间具有一致相依结构,如果用同一函数表达此相依结构,则存在明显的不足.已有研究用单一静态Copula函数[13 ] 、单一时变Copula函数[14 -15 ] 、混合静态Copula函数[16 -17 ] 、混合时变Copula函数[18 ] 、基于藤结构的单一静态Copula函数[19 ] 、基于藤结构的混合静态Copula函数[20 ] 探索多个风电场功率间的相关性,以及风电场与光伏电站功率间的相关性,但均未能有效地刻画这些新能源功率间隐藏的相关性,而且也没有描述这些新能源与电网负荷间的相关结构. ...
... 藤Copula函数是近年来Copula理论中取得的较新进展,它建立在简单二元Copula函数基础上,能联合考虑高维变量间的相依结构.藤Copula模型可将多维变量的相依结构分解为多个二维相关变量,常用的有C藤和D藤结构,两者因逻辑结构不同,其适用的数据类型也有所差别[19 -20 ] .结合实际风电场功率、光伏电站功率、电网负荷间的相关性分析,本文采用C藤结构进行研究分析.C藤模型具有星型结构,如图1 所示. ...
... 具有相关性的风电场功率、光伏电站功率、电网负荷三者样本的产生步骤[19 ] 如下: ...
基于场景D藤Copula模型的多风电场功率相关性建模
2
2019
... 在描述风电场功率、光伏电站功率和电网负荷间相关结构方面,由于Copula函数可以完整地描述多变量间的相关结构,尤其在刻画非线性相关性方面存在明显优势[12 ] ,被越来越广泛地应用到相依结构分析等领域.常用的Copula函数虽然可以扩展到高维形式,但表达式往往非常复杂,不利于在高维情景中的应用;并且假设两两变量间具有一致相依结构,如果用同一函数表达此相依结构,则存在明显的不足.已有研究用单一静态Copula函数[13 ] 、单一时变Copula函数[14 -15 ] 、混合静态Copula函数[16 -17 ] 、混合时变Copula函数[18 ] 、基于藤结构的单一静态Copula函数[19 ] 、基于藤结构的混合静态Copula函数[20 ] 探索多个风电场功率间的相关性,以及风电场与光伏电站功率间的相关性,但均未能有效地刻画这些新能源功率间隐藏的相关性,而且也没有描述这些新能源与电网负荷间的相关结构. ...
... 藤Copula函数是近年来Copula理论中取得的较新进展,它建立在简单二元Copula函数基础上,能联合考虑高维变量间的相依结构.藤Copula模型可将多维变量的相依结构分解为多个二维相关变量,常用的有C藤和D藤结构,两者因逻辑结构不同,其适用的数据类型也有所差别[19 -20 ] .结合实际风电场功率、光伏电站功率、电网负荷间的相关性分析,本文采用C藤结构进行研究分析.C藤模型具有星型结构,如图1 所示. ...
基于场景D藤Copula模型的多风电场功率相关性建模
2
2019
... 在描述风电场功率、光伏电站功率和电网负荷间相关结构方面,由于Copula函数可以完整地描述多变量间的相关结构,尤其在刻画非线性相关性方面存在明显优势[12 ] ,被越来越广泛地应用到相依结构分析等领域.常用的Copula函数虽然可以扩展到高维形式,但表达式往往非常复杂,不利于在高维情景中的应用;并且假设两两变量间具有一致相依结构,如果用同一函数表达此相依结构,则存在明显的不足.已有研究用单一静态Copula函数[13 ] 、单一时变Copula函数[14 -15 ] 、混合静态Copula函数[16 -17 ] 、混合时变Copula函数[18 ] 、基于藤结构的单一静态Copula函数[19 ] 、基于藤结构的混合静态Copula函数[20 ] 探索多个风电场功率间的相关性,以及风电场与光伏电站功率间的相关性,但均未能有效地刻画这些新能源功率间隐藏的相关性,而且也没有描述这些新能源与电网负荷间的相关结构. ...
... 藤Copula函数是近年来Copula理论中取得的较新进展,它建立在简单二元Copula函数基础上,能联合考虑高维变量间的相依结构.藤Copula模型可将多维变量的相依结构分解为多个二维相关变量,常用的有C藤和D藤结构,两者因逻辑结构不同,其适用的数据类型也有所差别[19 -20 ] .结合实际风电场功率、光伏电站功率、电网负荷间的相关性分析,本文采用C藤结构进行研究分析.C藤模型具有星型结构,如图1 所示. ...
基于凸组合Copula和EM算法的信度理论
1
2012
... 式(14) 中的时变参数和权重参数可通过期望最大化(expectation-maximum,EM)算法[21 ] 估算出. ...
基于凸组合Copula和EM算法的信度理论
1
2012
... 式(14) 中的时变参数和权重参数可通过期望最大化(expectation-maximum,EM)算法[21 ] 估算出. ...
Using Copulas for analysis of large datasets in renewable distributed generation:PV and wind power integration in Iran
1
2010
... 2)计算风-光-荷变量两两间秩相关系数η [22 ] ,并确定第一棵树上的变量排列顺序; ...
Factor analysis and AIC
1
1987
... 式中:m 为模型独立参数个数;S 为极大似然估计值;N 为样本容量.C A I 和C B I 值越小,表明模型对数据的拟合度越高,模型越准确[23 -24 ] . ...
1
2010
... 式中:m 为模型独立参数个数;S 为极大似然估计值;N 为样本容量.C A I 和C B I 值越小,表明模型对数据的拟合度越高,模型越准确[23 -24 ] . ...
Why Quasi-Monte Carlo is better than Monte Carlo or Latin hypercube sampling for statistical circuit analysis
1
2010
... 1)采用拟蒙特卡罗方法(Quasi-Monte Carlo)[25 ] 随机生成N 个服从独立均匀分布的n 维样本z 1 , z 2 , ⋯ , z n . ...
含风光储联合系统的发输电风险评估
3
2013
... 储能电站与风光发电机组之间的协调控制策略选择,需要兼顾风光储发输电系统可靠性水平、风光储总输出功率稳定、储能电站寿命3个因素,文献[26 ]提出一种平衡发电功率策略模型,在尽可能保持风光储总输出功率稳定的情况下,既能降低系统风险水平,又能尽量减少储能充放电频率,延长其寿命. ...
... 风光荷间相关性、风光配置比例、系统输出功率波动性和储能电站的容量是含风光储发输电系统可靠性规划不可忽视的因素.采用8类Copula函数模型来描述风电场功率、光伏电站功率以及电网负荷三者间相关性结构,模拟产生风电场功率、光伏电站功率以及电网负荷的相关性样本,依据图2 流程对该算例系统进行了可靠性评估.为了在加入4个新能源发电场后保持其传输网络约束的有效性,系统的总负荷增加到原来的1.06倍.传统发电机的容量、可靠性参数、基本的负荷数据参考文献[27 ],所有发电机组的随机失效用两状态模型来表示,模拟时间为100 a.风电场中风机模块以及柔性直流输电(voltage sourced converter based high voltage direct current,VSC-HVDC)组合系统的故障率及平均修复时间的计算方法参考文献[7 ].光伏电站中光伏逆变器和光伏阵列的故障率分别为0.353、0.000 133次/a,平均修复时间分别为240、250 h/次[28 ] .蓄能电站蓄电池组的故障率为5次/a,平均修复时间为70 h/次.切负荷概率(probability of load curtailment,PLC)和期望缺供电量(expected energy not supplied,EENS)是目前评估发输电系统可靠性的2个代表性指标[26 ] .在不接入风电场、光伏电站和储能电池时,IEEE-RTS79系统的EENS为1 383.7 MW⋅h/a,PLC为0.001 35. ...
... 算例系统计及储能电站,以研究储能对系统可靠性的影响.由文献[26 ]可知,当平衡发电限制功率定值接近风光发电平均功率的期望值时,风光储有功功率波动较小.根据模型1—8,计算出此时系统可靠性指标PLC和EENS,风光储联合系统输出功率波动ξ ,以及储能电站不可放电率φ ,结果如表5 所示. ...
含风光储联合系统的发输电风险评估
3
2013
... 储能电站与风光发电机组之间的协调控制策略选择,需要兼顾风光储发输电系统可靠性水平、风光储总输出功率稳定、储能电站寿命3个因素,文献[26 ]提出一种平衡发电功率策略模型,在尽可能保持风光储总输出功率稳定的情况下,既能降低系统风险水平,又能尽量减少储能充放电频率,延长其寿命. ...
... 风光荷间相关性、风光配置比例、系统输出功率波动性和储能电站的容量是含风光储发输电系统可靠性规划不可忽视的因素.采用8类Copula函数模型来描述风电场功率、光伏电站功率以及电网负荷三者间相关性结构,模拟产生风电场功率、光伏电站功率以及电网负荷的相关性样本,依据图2 流程对该算例系统进行了可靠性评估.为了在加入4个新能源发电场后保持其传输网络约束的有效性,系统的总负荷增加到原来的1.06倍.传统发电机的容量、可靠性参数、基本的负荷数据参考文献[27 ],所有发电机组的随机失效用两状态模型来表示,模拟时间为100 a.风电场中风机模块以及柔性直流输电(voltage sourced converter based high voltage direct current,VSC-HVDC)组合系统的故障率及平均修复时间的计算方法参考文献[7 ].光伏电站中光伏逆变器和光伏阵列的故障率分别为0.353、0.000 133次/a,平均修复时间分别为240、250 h/次[28 ] .蓄能电站蓄电池组的故障率为5次/a,平均修复时间为70 h/次.切负荷概率(probability of load curtailment,PLC)和期望缺供电量(expected energy not supplied,EENS)是目前评估发输电系统可靠性的2个代表性指标[26 ] .在不接入风电场、光伏电站和储能电池时,IEEE-RTS79系统的EENS为1 383.7 MW⋅h/a,PLC为0.001 35. ...
... 算例系统计及储能电站,以研究储能对系统可靠性的影响.由文献[26 ]可知,当平衡发电限制功率定值接近风光发电平均功率的期望值时,风光储有功功率波动较小.根据模型1—8,计算出此时系统可靠性指标PLC和EENS,风光储联合系统输出功率波动ξ ,以及储能电站不可放电率φ ,结果如表5 所示. ...
2
1994
... 本文所用数据为位于山东烟台和威海的海上风电场和光伏电站功率的年小时数据.对原IEEE-RTS79系统[27 ] 进行适当修改,系统的2条不同电网负荷曲线不变,一条代表230 kV区域内的客户,另一条代表138 kV区域内的客户.200 MW风电场、20 MW光伏电站和60 MW×2 h储能电站的联合系统分别接入IEEE-RTS79系统节点1、3,将修改后的系统作为算例系统. ...
... 风光荷间相关性、风光配置比例、系统输出功率波动性和储能电站的容量是含风光储发输电系统可靠性规划不可忽视的因素.采用8类Copula函数模型来描述风电场功率、光伏电站功率以及电网负荷三者间相关性结构,模拟产生风电场功率、光伏电站功率以及电网负荷的相关性样本,依据图2 流程对该算例系统进行了可靠性评估.为了在加入4个新能源发电场后保持其传输网络约束的有效性,系统的总负荷增加到原来的1.06倍.传统发电机的容量、可靠性参数、基本的负荷数据参考文献[27 ],所有发电机组的随机失效用两状态模型来表示,模拟时间为100 a.风电场中风机模块以及柔性直流输电(voltage sourced converter based high voltage direct current,VSC-HVDC)组合系统的故障率及平均修复时间的计算方法参考文献[7 ].光伏电站中光伏逆变器和光伏阵列的故障率分别为0.353、0.000 133次/a,平均修复时间分别为240、250 h/次[28 ] .蓄能电站蓄电池组的故障率为5次/a,平均修复时间为70 h/次.切负荷概率(probability of load curtailment,PLC)和期望缺供电量(expected energy not supplied,EENS)是目前评估发输电系统可靠性的2个代表性指标[26 ] .在不接入风电场、光伏电站和储能电池时,IEEE-RTS79系统的EENS为1 383.7 MW⋅h/a,PLC为0.001 35. ...
分布式电源建模及其对配电网可靠性的影响研究
1
2015
... 风光荷间相关性、风光配置比例、系统输出功率波动性和储能电站的容量是含风光储发输电系统可靠性规划不可忽视的因素.采用8类Copula函数模型来描述风电场功率、光伏电站功率以及电网负荷三者间相关性结构,模拟产生风电场功率、光伏电站功率以及电网负荷的相关性样本,依据图2 流程对该算例系统进行了可靠性评估.为了在加入4个新能源发电场后保持其传输网络约束的有效性,系统的总负荷增加到原来的1.06倍.传统发电机的容量、可靠性参数、基本的负荷数据参考文献[27 ],所有发电机组的随机失效用两状态模型来表示,模拟时间为100 a.风电场中风机模块以及柔性直流输电(voltage sourced converter based high voltage direct current,VSC-HVDC)组合系统的故障率及平均修复时间的计算方法参考文献[7 ].光伏电站中光伏逆变器和光伏阵列的故障率分别为0.353、0.000 133次/a,平均修复时间分别为240、250 h/次[28 ] .蓄能电站蓄电池组的故障率为5次/a,平均修复时间为70 h/次.切负荷概率(probability of load curtailment,PLC)和期望缺供电量(expected energy not supplied,EENS)是目前评估发输电系统可靠性的2个代表性指标[26 ] .在不接入风电场、光伏电站和储能电池时,IEEE-RTS79系统的EENS为1 383.7 MW⋅h/a,PLC为0.001 35. ...
分布式电源建模及其对配电网可靠性的影响研究
1
2015
... 风光荷间相关性、风光配置比例、系统输出功率波动性和储能电站的容量是含风光储发输电系统可靠性规划不可忽视的因素.采用8类Copula函数模型来描述风电场功率、光伏电站功率以及电网负荷三者间相关性结构,模拟产生风电场功率、光伏电站功率以及电网负荷的相关性样本,依据图2 流程对该算例系统进行了可靠性评估.为了在加入4个新能源发电场后保持其传输网络约束的有效性,系统的总负荷增加到原来的1.06倍.传统发电机的容量、可靠性参数、基本的负荷数据参考文献[27 ],所有发电机组的随机失效用两状态模型来表示,模拟时间为100 a.风电场中风机模块以及柔性直流输电(voltage sourced converter based high voltage direct current,VSC-HVDC)组合系统的故障率及平均修复时间的计算方法参考文献[7 ].光伏电站中光伏逆变器和光伏阵列的故障率分别为0.353、0.000 133次/a,平均修复时间分别为240、250 h/次[28 ] .蓄能电站蓄电池组的故障率为5次/a,平均修复时间为70 h/次.切负荷概率(probability of load curtailment,PLC)和期望缺供电量(expected energy not supplied,EENS)是目前评估发输电系统可靠性的2个代表性指标[26 ] .在不接入风电场、光伏电站和储能电池时,IEEE-RTS79系统的EENS为1 383.7 MW⋅h/a,PLC为0.001 35. ...