发电技术, 2025, 46(3): 556-569 DOI: 10.12096/j.2096-4528.pgt.25021

新能源

风光氢氨醇一体化技术和产业综述

王永康, 易俊, 谢晓頔

中国电力科学研究院有限公司,北京市 海淀区 100192

Review of Wind-Solar-Hydrogen-Ammonia-Methanol Integrated Technologies and Industry

WANG Yongkang, YI Jun, XIE Xiaodi

China Electric Power Research Institute, Haidian District, Beijing 100192, China

收稿日期: 2025-01-07   修回日期: 2025-03-10  

基金资助: 智能电网国家科技重大专项(2030).  2024ZD0802000

Received: 2025-01-07   Revised: 2025-03-10  

作者简介 About authors

王永康(2000),男,硕士研究生,研究方向为电力系统运行与控制,2267478542@qq.com

易俊(1980),男,博士,教授级高级工程师,研究方向为电力系统稳定分析与运行控制,电碳协同,xih_yjun@163.com

谢晓頔(1991),男,硕士,研究方向为新型电力系统规划、电碳协同运行、碳移除与碳汇,344388247@qq.com

摘要

目的 绿氢、绿氨和绿色甲醇作为清洁能源和化工原料,对“双碳”目标的实现有重要作用,随着对清洁能源需求的日益增长,风光氢氨醇一体化产业应运而生,成为备受关注的新兴领域。然而我国风光氢氨醇一体化产业尚处于发展初期,产业链各环节仍存在大量问题,为此,有必要探索风光氢氨醇一体化相关技术并分析未来产业发展方向。 方法 首先,介绍了电解水制绿氢、合成绿氨、合成绿色甲醇的技术路线,并概述了应对风光电不稳定性相关技术;其次,分析了风光氢氨醇产业的经济性,介绍了多个重点项目的实施情况和近年来相关政策;再次,分析估测了制绿氨、绿色甲醇的电耗、水耗情况,并对制备绿氢、绿氨、绿色甲醇的成本进行预测,进一步针对风光氢氨醇产业化进程提出了技术创新、产业链协同和政策支持等产业发展建议;最后,分析了风光氢氨醇一体化产业未来的发展方向。 结论 未来风光氢氨醇一体化将呈现技术集成化、应用多元化、区域协同化、成本经济化趋势,成为实现“双碳”目标、重构能源体系的核心路径之一。

关键词: 双碳 ; 风电 ; 光伏发电 ; 绿电制氢 ; 绿氨 ; 绿色甲醇 ; 零碳排放 ; 产业链协同

Abstract

Objectives As clean energy sources and chemical raw materials, green hydrogen, green ammonia, and green methanol play an important role in achieving the “dual carbon” goal. With the increasing demand for clean energy, wind-solar-hydrogen-ammonia-methanol integrated industry has emerged as an important new field of interest. However, the industry in China is still in its early stages of development, with numerous challenges in various links of the industry chain. Therefore, it is necessary to explore the technologies related to wind-solar-hydrogen-ammonia-methanol integration and to analyze the future direction of its development. Methods Firstly, the technological routes of producing green hydrogen, synthesizing green ammonia, and synthesizing green methanol through water electrolysis are introduced, along with an overview of technologies addressing the instability of wind and solar power. Next, the economy of the wind-solar-hydrogen-ammonia-methanol integrated industry are analyzed, highlighting the implementation of key projects and related policies in recent years. Additionally, the electricity and water consumption for producing green ammonia and green methanol are analyzed and estimated, and the production costs of green hydrogen, green ammonia, and green methanol are predicted. Based on this, suggestions for industry development are proposed, including technological innovation, industry chain coordination, and policy support. Finally, the future development directions of the wind-solar-hydrogen-ammonia-methanol integrated industry are analyzed. Conclusions In the future, the integrated development of wind-solar-hydrogen-ammonia-methanol will show a trend of technological integration, diversified applications, regional coordination, and cost-effectiveness, making it one of the core pathways to achieve the “dual carbon” goals and transform the energy system.

Keywords: dual carbon ; wind power ; photovoltaic power generation ; green hydrogen production ; green ammonia ; green methanol ; zero carbon emissions ; industry chain coordination

PDF (2483KB) 元数据 多维度评价 相关文章 导出 EndNote| Ris| Bibtex  收藏本文

本文引用格式

王永康, 易俊, 谢晓頔. 风光氢氨醇一体化技术和产业综述. 发电技术[J], 2025, 46(3): 556-569 DOI:10.12096/j.2096-4528.pgt.25021

WANG Yongkang, YI Jun, XIE Xiaodi. Review of Wind-Solar-Hydrogen-Ammonia-Methanol Integrated Technologies and Industry. Power Generation Technology[J], 2025, 46(3): 556-569 DOI:10.12096/j.2096-4528.pgt.25021

0 引言

全球工业化进程加速,能源需求持续攀升,而传统化石能源的使用带来了资源枯竭、环境污染和气候变化等多重挑战[1-4]。在这一背景下,寻找清洁、高效、可再生的能源和化工原料成为国际社会共同的目标。近年来,风光氢氨醇一体化作为一种新兴的绿色产业模式,因其巨大的降碳潜力而受到广泛关注[5-7]

风光氢氨醇一体化是指将风光发电、电解水制氢、绿氨合成以及绿色甲醇生产等多个环节紧密结合,形成一个完整的产业链[8]。产业链以风光发电为基础,通过风能和光伏发电技术,将风能和太阳能转化为电能,为整个产业生产过程提供清洁、稳定的能源,较化石能源发电更具有环境友好的优势。在风光发电的基础上,电解水制氢成为风光氢氨醇一体化技术的关键环节,由风光等可再生能源生产的氢气被认为是真正零碳排放的“绿氢”[9],既可用于储能解决太阳能和风能的间歇性问题,又可替代传统化石燃料制取的灰氢,减少工业生产过程中的碳排放,在能源转型和化工产业发展中具有巨大的潜力[10-15]。绿氨和绿色甲醇作为绿氢的理想储运载体,二者同时兼具燃料和原料双重属性,不仅可以作为绿色燃料实现大规模长时储能,而且可以作为绿色化工原料实现碳减排[16-17]。在风光氢氨醇产业链下游应用领域,清洁的氢能被高效地转化为绿氨或绿色甲醇等具有高经济价值产品,有效地解决了氢能的储运问题,拓展了氢能的应用[18]

在“双碳”背景下,绿色氢基能源的市场需求量逐年递增,风光氢氨醇一体化项目具有广阔的市场前景[19-20]。我国风光资源丰富,风电、光伏发电技术发展比较成熟,为风光氢氨醇一体化项目提供了坚实的基础。氢能市场方面,2023年中国氢气需求量为3 300万t,预计至2050年中国氢气的年需求量将增至约1.3亿t,在终端能源消费中占比达到近20%[21]。氨、甲醇作为氢的载体在能源领域的应用前景广阔,近年来市场规模增长迅速,从2019年到2023年,其市场规模分别增长了55%、62%[22-23]。此外,近年来中央和地方政府发布多项产业政策,以推动风光氢氨醇产业快速发展。

然而,风光氢氨醇一体化发展仍面临着合成技术适应性差、产业经济性不佳,以及因风光电不稳定而导致设备利用率低等问题。在此背景下,本文在综述风光氢氨醇一体化主要技术的基本原理、产业发展现状的基础上,对未来产业发展进行分析并提出针对性建议,以期为构建绿色、低碳、可持续的发展模式提供参考。

1 风光氢氨醇一体化主要技术

1.1 电解水制氢技术

电解水制氢技术采用可再生能源电力将水分解为氢气与氧气,全过程无污染,是目前最成熟的绿氢制取技术,主要包括碱性电解槽(alkaline electrolysis cell,AEC)、质子交换膜(proton exchange membrane,PEM)电解槽和固体氧化物电解槽(solid oxide electrolysis cell,SOEC)制氢技术[24]。主流电解水制氢技术路线对比[25-27]表1所示。

表1   主流电解水制氢技术路线对比

Tab. 1  Comparison of mainstream technological routes for hydrogen production through water electrolysis

参数AECPEM电解槽SOEC
电解质KOH溶液PEMY2O3/ZrO2
运行温度/℃70~9050~80600~1 000
电解效率/%60~7570~9085~100
电极/催化剂镍、钴、锰铂、铱、金镍、钴、铁
使用寿命/a20~3010~202~3
直流能耗/(kW⋅h/m3)4.5~5.53.8~5.02.6~3.6
电流密度/(A⋅cm-2)0.2~0.41~21~10
技术阶段产业化应用商业化初期研发和示范阶段
环保特性碱液污染无污染无污染

新窗口打开| 下载CSV


AEC制氢技术成熟,已实现大规模商业化应用,但其使用KOH溶液作为电解质,会对环境造成污染。AEC运行温度较低,一般在70~90 ℃,电解效率稳定在60%~75%,可以满足大量应用需求,并且采用非贵金属催化剂,降低了材料成本,且使用寿命长,可达20~30 a。然而,AEC直流能耗相对较高,一般在4.5~5.5 kW⋅h/m3,同时电流密度较低,通常在0.2~0.4 A/cm2,因此限制了其在某些高电流需求场景下的应用。

PEM电解槽制氢技术则处于商业化初期,产业化发展迅速,其使用PEM作为电解质,环保、无污染,能够传导质子并抑制阴阳极气体的互串,运行温度也较低,在50~80 ℃。PEM电解槽的电解效率略高于AEC,一般在70%~90%,且随着技术的发展有望进一步提高。虽然PEM电解槽采用贵金属催化剂(如铱和金)[28],导致成本较高,但其电流密度较高,一般在1~2 A/cm²,使得它在需要高电流密度的应用中具有显著优势,同时其直流能耗相对较低,一般在3.8~5.0 kW⋅h/m3

SOEC制氢技术仍处于研发示范阶段,技术难度较高,其使用固态氧化物(如氧化钇)作为电解质,绿色环保,运行温度通常在600~1 000 ℃。实验室测试的SOEC电解效率可达85%~100%,显示出极高的潜力,是近年来的研发重点,但其高温反应条件的缺陷制约着该技术的应用场景选择与大规模推广。此外,SOEC采用廉价的镍基电极,降低了材料成本,但电极材料的耐久性是目前亟待解决的问题。

1.2 绿色合成氨技术

采用可再生能源电解水制得氢气与氮气反应合成的氨被称为绿氨,与以煤炭等化石能源为原料的合成氨相比,绿氨有显著的碳减排优势,并且绿氨作为零碳燃料,燃烧过程不排放CO2[29-30]。目前,将通过空气分离法得到的氮气与电解水制得的绿氢采用哈伯法工艺合成绿氨是最成熟的技术路径[31-33]。其工艺流程如图1所示,利用光伏、风电设备自产绿电进行电解水制氢,所制绿氢与空分装置制得的氮气经加压后送氨合成单元,采用哈伯法合成绿氨,再通过冷凝分离得到高纯度绿氨。

图1

图1   空气分离N2合成绿氨工艺流程

Fig. 1   Process flow of green ammonia synthesis from air separated N2


1.3 绿色甲醇合成技术

目前,绿色甲醇合成主要有生物甲烷制甲醇、生物质气化制甲醇、电制甲醇3种技术路线。由于电解水制氢技术和碳捕集技术日趋成熟,电制甲醇技术路线被广泛应用于风光氢氨醇一体化项目[34]。电制甲醇工艺流程如图2所示,该工艺使用化学吸收法、膜分离等技术从工业排放源或大气中捕集二氧化碳,并将其与绿氢混合压缩后,在铜等催化剂的催化下合成甲醇,再通过精馏得到高纯度的绿色甲醇[35]。与传统的煤制甲醇工艺相比,二氧化碳加氢制绿色甲醇工艺具有原料来源广泛且可持续、产品纯度高、碳排放少等优势,有助于实现碳中和目标。通过碳捕集法生产的绿色甲醇能够与上游绿电供给、绿氢生产以及下游应用形成产业链关系,具有显著的经济效益。

图2

图2   碳捕集法合成绿色甲醇工艺流程

Fig. 2   Process flow of green methanol synthesis via carbon capture method


1.4 风光电不稳定性应对策略

风光电的间歇性与波动性是氢氨醇一体化项目面临的核心技术瓶颈,若直接依赖不稳定的风光电,将导致设备利用率过低以及生产成本增加。因此,需要多维度技术组合实现稳定生产,如储能技术、AI预测与智能调度技术。

储能技术是解决风光电间歇性的核心手段,主要包括短时储能与长时储能2类[36]。短时储能技术以锂离子电池、超级电容为主,用于平抑分钟至小时级波动。其中锂离子电池系统可通过充放电实现电能存储与释放,适用于小时级储能需求;超级电容因其快速响应特性,可以有效应对风光电瞬时波动,降低电解槽因频繁启停导致的损耗。长时储能技术以液流电池和氢储能为代表。液流电池可以实现数小时至数天的能量存储,适用于风光资源连续短缺的场景;采用高压气态储氢技术的储氢罐具有跨季节储能能力,可以有效平衡风光电季节性差异。

AI预测与智能调度技术利用先进的信息技术、人工智能算法和大数据分析,可实现对风光氢氨醇一体化项目的智能管理和优化调度。AI预测技术基于机器学习、深度学习等人工智能算法,可对历史风光发电数据、气象数据进行分析建模,提高预测的准确性。智能调度技术则根据AI预测结果与系统实时状态优化算法和控制策略,提前调整各装置的运行参数,实现能量的最优分配与利用,降低生产成本,提高系统的稳定性与经济性。

2 风光氢氨醇一体化产业发展现状

风光氢氨醇一体化产业结合了风光、绿电、储能、绿氢、绿氨、绿色甲醇等多种形式,可同步解决风光发电的消纳以及涉氢项目的储运两大难题,在一定程度上满足地方政府追求产业链集成、壮大当地经济体量的目标,受到了越来越多的关注,目前正处于快速发展阶段。本文从产业经济性、重点项目、相关政策3个角度分析风光氢氨醇一体化产业发展现状。

2.1 产业经济性

2.1.1 绿氢制取成本

不同制氢技术成本对比如表2所示,可以看出,当电价为0.4元/(kW⋅h)时,电解水制氢成本为28 000~32 000元/t,相较于煤制氢、天然气制氢这2种工业中广泛应用的制氢方式,电解水制氢技术经济性不足[37-38]

表2   不同制氢技术成本对比

Tab. 2  Cost comparison of different hydrogen production technologies

制氢技术原料价格成本
煤制氢煤价600~1 000元/t15 000~20 000元/t
天然气重整制氢天然气价2.5~4.5元/m316 000~22 000元/t
电解水制氢电价0.4元/(kW⋅h)28 000~32 000元/t

新窗口打开| 下载CSV


目前,约80%可再生能源制氢项目采用AEC制氢技术,采用PEM电解槽制氢技术的项目约占20%。图3为AEC与PEM电解槽制氢成本结构,可见制氢电费成本与设备成本是影响绿氢制取成本的关键因素[39]。尽管当前已投入使用的2种电解水制氢技术分别处于不同的商业化发展阶段和规模化阶段,但其耗电量均巨大。在AEC和PEM电解槽制氢路线下,电费成本占比分别高达86%、51%,设备成本占比分别为7%、27%。

图3

图3   AEC与PEM电解槽制氢成本结构

Fig. 3   Cost structure of hydrogen production via AEC and PEM electrolysis cell


2.1.2 绿氨合成成本

绿氨合成成本主要受制氢成本以及可再生能源电价影响。不同合成氨工艺成本对比如表3所示,可以看出,与市场化的煤制合成氨工艺相比,绿氨当前生产成本仍较高,经过测算,当电价为0.4元/(kW⋅h),绿氢价格为28 000~32 000元/t时,绿氨合成成本为4 000~4 500元/t[40]

表3   不同合成氨工艺成本对比

Tab. 3  Cost comparison of different ammonia synthesis processes

制氨工艺原料价格成本/(元/t)
煤制合成氨煤价600~1 000元/t2 100~2 600
绿氨工艺

电价0.4元/(kW⋅h),

绿氢价28 000~32 000元/t

4 000~4 500

新窗口打开| 下载CSV


2.1.3 电制甲醇成本

目前,中国甲醇生产几乎完全依赖煤炭,原料费用占绿色甲醇完全成本的比例约82%,而绿氢成本占原料费用的比例约90%,占绿色甲醇完全成本的比例近75%,绿氢价格过高导致二者经济性相差巨大。甲醇生产成本对比如表4所示,可见,与电制甲醇相比,煤制甲醇在成本方面有显著优势,当电价为0.4元/(kW⋅h)时,绿氢成本为28 000~32 000元/t,电制甲醇成本为4 600~5 500元/t,而煤制甲醇成本仅2 100~2 800元/t。

表4   甲醇生产成本对比

Tab. 4  Cost comparison of methanol production

技术路线煤制甲醇生物质制甲醇电制甲醇
成本/(元/t)2 100~2 8003 400~5 3004 600~5 500

新窗口打开| 下载CSV


2.2 风光氢氨醇一体化重点项目

风光氢氨醇一体化并不拘泥于固定形式,绿电可同时来自风电和光伏,也可分别来自风电或光伏;下游产品可通过规划同时生产绿氨和绿色甲醇,也可只生产绿氨或绿色甲醇。在国家能源安全和“双碳”目标指引下,绿电、绿氢、绿氨、绿色甲醇耦合成为构建新型电力系统的重要路径,经初步统计,国内已有超过30个风光氢氨醇一体化项目正在推进。从产业布局方面来看,风光氢氨醇一体化项目在国内的分布呈现出一定的地域性和集中性特点,主要分布在东北、内蒙古、新疆等风光资源丰富且具备产业转型需求的地区。

近年来,东北地区启动了多个风光氢氨醇一体化项目,投资巨大。松原氢能产业园项目总投资296亿元,绿色合成氨、绿色甲醇年产量可以分别达到60万t和6万t,同时配套建设300万kW新能源项目[41]。安达市天楹风光储氢氨醇一体化项目总投资169.5亿元,包括1.8 GW新能源装机容量、140 MW/280 MW⋅h重力储能等综合储能设施、10万t/a的绿氢装置、3.8万t/a的氨装置以及62万t/a的甲醇装置[42]

内蒙古也是风光氢氨醇一体化项目的重要布局地。远景通辽风光制氢氨醇一体化项目总投资98.4亿元,该项目计划分三期建设,旨在打造集风电、光伏、制氢、储氢、氨醇生产于一体的综合产业链。一期将建设电解水制氢装置和绿氢制合成氨装置,二期将扩大制氢和合成氨的产能,三期则将增加绿色甲醇的生产线[43]。科左中旗风光储氢氨一体化产业园示范项目总投资700亿元,项目打造了风光储氢氨一体化产业链生产线,建成后可每年制绿氢5万t、合成绿氨48万t[44]

新疆地区也积极推动风光氢氨醇一体化项目的发展。新疆喀什氢氨醇一体化合作项目总投资约445亿元,项目计划实施建设100万t氢基一体化项目,项目计划分三期建设,其中一期主要包括电源和化工两部分,建成后可每年合成绿色甲醇10万t、合成绿氨10万t、生产绿氢3万t[45]

这些风光氢氨醇一体化项目不仅涵盖了新能源和氢能产业的多个环节,还涉及绿色化工产业的发展,对于促进各个地区产业结构优化升级及实现绿色低碳发展目标具有重大作用。

2.3 政策支持

近年来,国家层面高度重视风光氢氨醇一体化的发展,并出台了一系列指导意见以及行动方案,积极推动氢能等清洁能源在交通、电力等领域的应用,这些政策的出台为风光氢氨醇一体化产业的发展提供了良好的外部环境。近3年国家层面部分相关政策如表5所示。此外,各地政府在涉及氢、氨、醇等规划指导文件中也强调灵活运用合成氨、合成甲醇,进一步扩大风光氢能的需求空间,提高上游产能的利用率,提升当地绿氢、绿氨、绿色甲醇产业的渗透率。近3年地方层面部分相关政策如表6所示。

表5   近3年国家层面部分相关政策

Tab. 5  Selected national-level policies from the past three years

发布主体政策名称相关政策内容概述
工业和信息化部等部门《工业领域碳达峰实施方案》支持氢能全产业链发展,鼓励因地制宜开展可再生能源制氢,绿氢合成绿氨、绿色甲醇
国家发改委等部门《关于大力实施可再生能源替代行动的指导意见》在合成氨、合成甲醇等领域鼓励低碳氢规模化替代高碳氢,探索建设风光氢氨醇一体化基地
国家发改委等部门《关于推动现代煤化工产业健康发展的通知》在资源禀赋和产业基础较好的地区,推动现代煤化工与可再生能源、绿氢、绿氨、二氧化碳捕集、利用与封存等耦合创新发展
工业和信息化部《新型储能制造业高质量发展行动方案》(征求意见稿)拓展风光储氢等新能源应用场景,打通绿电-绿氢-绿氨/绿色甲醇产业链,推动多能互补

新窗口打开| 下载CSV


表6   近3年地方层面部分相关政策

Tab. 6  Selected local-level policies from the past three years

发布主体政策名称相关政策内容概述
吉林省《“氢动吉林”中长期发展规划(2021—2035年)》积极推进风电及光伏制氢,实现绿氢在工业领域多元化应用
新疆维吾尔自治区《自治区氢能产业发展三年行动方案(2023—2025年)》以源网荷储一体化方式开展可再生能源制氢、氢能规模发电、合成氨、甲醇等试点项目,切实拓宽新能源应用场景,形成新能源就地消纳优势
山东省《关于健全完善新能源消纳体系机制促进能源高质量发展的若干措施》依托鲁北大型风光基地、海上风电基地等新能源规模化开发,探索建设可作为调峰资源的绿氢(氨、醇)项目,支持“风光氢氨醇”项目整体化推进
安徽省《安徽省氢能产业高质量发展三年行动计划》积极推进氢能在钢铁、电力等重点领域示范应用,引导合成氨、甲醇、炼化等行业由高碳工艺向低碳工业转变
内蒙古自治区包头市《包头市氢能产业发展规划(2023—2030年)》依托包头市绿氢合成氨、绿氢甲醇等项目进展,研究探索将液氨、甲醇等富氢产品作为储氢介质的输送技术路径和商业模式

新窗口打开| 下载CSV


3 风光氢氨醇一体化产业发展方向

3.1 绿氨醇电耗与水耗估测

目前,已有较多绿氢生产电耗、水耗的分析估测,但在绿氨、绿色甲醇的生产过程中,电耗、水耗也不可忽视。故本文对未来大规模发展绿氨和绿色甲醇的电耗、水耗情况进行分析估测,以便能够更全面地把握该产业发展可能遇到的问题。

绿氨生产的电耗主要集中在电解水制氢环节。根据现有示范项目数据,绿氨的全流程电耗为10 500~12 000 kW⋅h/t,其中电解水制氢环节电耗占80%以上,约为9 700 kW⋅h/t,合成氨环节电耗约600 kW⋅h/t,其余为辅助设备电耗。未来,随着电解槽效率的提升以及合成氨工艺的优化,预计到2050年绿氨的全流程电耗可以降至7 500~9 000 kW⋅h/t。绿色甲醇生产工艺含CO2捕集环节,其电耗高于绿氨。绿色甲醇的全流程电耗为11 000~13 000 kW⋅h/t,其中电解水制氢环节电耗占85%~90%,CO2捕集环节电耗约占8%,其余为甲醇合成环节电耗。未来,随着电解水制氢效率及CO2捕集效率的提升,预计到2050年绿色甲醇电耗可以降至6 000~7 000 kW⋅h/t。

每吨绿氨生产需消耗5~7 t水,主要用于电解水制氢和冷却系统,其中电解水制氢水耗约占30%,冷却系统水耗约占65%。每吨绿色甲醇生产需消耗8~10 t水,主要来自电解水制氢、冷却系统、CO2捕集,其中电解水制氢水耗约占20%,冷却系统水耗约占40%,CO2捕集水耗约占35%,未来,随着干式冷却电解槽技术以及废水回收技术的进步,每吨绿氨、绿色甲醇生产水耗有望分别降至3~5 t和5~7 t。

3.2 成本预测

3.2.1 绿氢成本预测

未来绿氢能否大规模推广取决于绿氢制取的经济性,而绿氢制取成本主要受可再生能源电价、设备成本影响[46]。电解槽购置成本与其制氢能力有关,制氢能力越大,购置成本越高,同一购置成本下电解槽制氢成本与可再生能源电价基本呈线性正相关关系。图4为不同电解槽购置成本下AEC制氢成本与可再生能源电价关系,当可再生能源电价低于0.13元/(kW⋅h)时,不同购置成本的碱性电解槽制氢成本低于1.5万元/t,可对煤炭价格处于正常范围的灰氢形成一定的经济优势[47]

图4

图4   不同电解槽购置成本下AEC制氢成本与可再生能源电价关系

Fig. 4   Relationship between AEC hydrogen production cost and renewable energy electricity price under different electrolyzer purchase costs


不同电解槽购置成本的PEM制氢成本与绿电价格关系如图5所示,当电价达到0.1元/(kW⋅h)时,采用PEM电解槽制得的绿氢可以与煤炭价格处于正常范围的灰氢在经济性上竞争。

图5

图5   不同电解槽购置成本下PEM制氢成本与可再生能源电价关系

Fig. 5   Relationship between PEM hydrogen production cost and renewable energy electricity price under different electrolyzer purchase costs


基于电力成本和电解槽设备成本的下降,以及电解槽运行效率提升、优化设计,未来绿氢成本有望大幅度下降。根据国际能源署估测,到2030年电解槽装机的成本较2024年将降低50%,到2050年将降低超过60%,到2030年可再生能源电价将降低至0.3元/(kW⋅h),到2050年将降低至0.1元/(kW⋅h)。按目前趋势进行预测,预计到2030年绿氢生产成本为10 000~12 000元/t,到2050年为6 500~8 000元/t;若技术进展超过预期,预计到2030年绿氢生产成本为8 000~9 000元/t,到2050年为5 500~6 500元/t。

3.2.2 绿氨成本预测

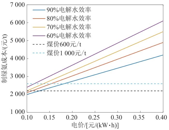
绿氨制取成本主要取决于绿氢制取成本以及可再生能源电价,随着绿氢制取效率的提升以及可再生能源电价的进一步下降,绿氨的制取优势将逐渐体现。假设理想情况下系统达到8 000 h的额定负荷,不同制氢效率下系统制绿氨成本随可再生能源电价的变化情况如图6所示。在制氢效率不变的情况下,绿氨制取成本随可再生能源电价的下降而降低,当可再生生能源电价降为0.1元/(kW⋅h)时,绿氨可以与煤炭价格处于正常范围的灰氨成本相竞争;当电价为0.15~0.4元/(kW⋅h)时,电解水制氢系统制氢效率的提高可显著降低系统制绿氨成本[48-50]

图6

图6   不同制氢效率下制绿氨成本与可再生能源电价关系

Fig. 6   Relationship between green ammonia production cost and renewable energy electricity price under different hydrogen production efficiencies


按照目前趋势进行预测,预计到2030年绿氨生产成本为3 500~4 000元/t,到2050年为2 800~3 200元/t;如果技术进展超过预期,预计到2030年绿氨生产成本为2 900~3 500元/t,到2050年为2 000~2 300元/t。此外,随着全球碳交易市场的日益完善,高昂的碳税将助力绿氨在成本上取得更大的优势。

3.2.3 绿色甲醇成本预测

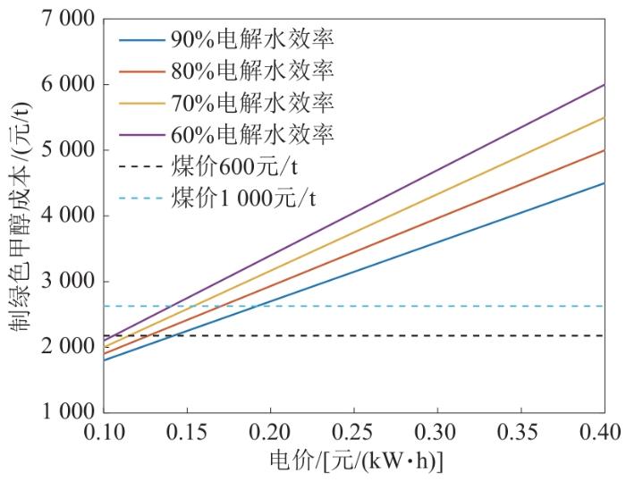
绿色甲醇的降本空间在于电力成本、设备成本及CO2成本等方面。据测算,不同制氢效率下系统制绿色甲醇成本随可再生能源电价的变化情况如图7所示。在制氢效率不变的情况下,绿色甲醇制取成本与可再生能源电价呈线性关系,若要使绿色甲醇对煤制甲醇形成经济性优势,则对应可再生能源电价需控制在0.1元/(kW⋅h)左右;如果制氢技术水平有所进步,则可再生能源电价只要达到0.15元/(kW⋅h)左右,绿色甲醇即可在经济性上与煤制甲醇相竞争[51]

图7

图7   不同制氢效率下制绿色甲醇成本与可再生能源电价关系

Fig. 7   Relationship between green methanol production cost and renewable energy electricity price under different hydrogen production efficiency


快速发展的电解水制氢技术以及新能源发电技术为电制甲醇成本的优化提供了有力的支撑,按照目前趋势进行预测,预计到2030年绿色甲醇生产成本为3 300~3 900元/t,到2050年为1 900~2 300元/t;如果技术进展超过预期,预计到2030年绿色甲醇生产成本为3 100~3 600元/t,到2050年为1 800~2 200元/t。

3.3 产业规模估测

当前,全球氢氨醇产业发展迅速,本文对未来25年产业规模估算如下:预计到2030年,在政策持续推动与技术逐步成熟下,绿氢、绿氨、绿色甲醇全球产能有望分别达到2 000万、1 500万、1 000万t,国内产能有望分别达到800万、500万、300万t;预计到2040年,随着可再生能源成本降低与电解水制氢技术的革新,绿氢、绿氨、绿色甲醇全球产能分别达到5 000万、4 000万、2 000万t,国内产能有望分别达到2 000万、800万、700万t;预计到2050年,在全球碳中和目标的驱动下,绿氢、绿氨、绿色甲醇全球产能有望分别达到15 000万、10 000万、5 000万t,国内产能有望分别达到5 000万、1 800万、1 500万t。

3.4 产业链优化方向

风光氢氨醇产业链是一个涵盖可再生能源发电、电解水制氢、合成氨与甲醇生产等多个环节的复杂系统。其中:风能、太阳能等可再生能源发电为产业链提供了绿色电力基础;电解水制氢环节将绿色电力转化为氢气,作为后续化工合成的原料;氢气再与氮气或二氧化碳合成氨或甲醇,形成从能源生产到化工产品制造的完整产业链。风光氢氨醇产业链结构如图8所示。未来风光氢氨醇产业链优化方向如下:

图8

图8   风光氢氨醇产业链结构

Fig. 8   Structure of wind-solar-hydrogen-ammonia- methanol industry chain


1)可再生能源发电技术革新。可再生能源发电成本降低与效率提升对于整个产业链的协同发展至关重要。未来,应加大对高效光伏材料(如钙钛矿等新型材料)的研发力度,以提高太阳能电池的转换效率;推广使用双面电池、跟踪支架等先进技术,以最大化利用太阳能资源;优化风电机组设计,以提高其在低风速环境下的发电性能。通过技术创新和政策支持,降低风电、光伏等可再生能源的发电成本,提高发电效率,为后续制绿氢、合成绿氨与绿色甲醇等环节提供更经济、可靠的电力保障。

2)电解水制氢技术突破与成本优化。电解水制氢是连接可再生能源发电与化工合成的关键环节。未来,应加大PEM等高效电解槽材料的研发力度,提高电解效率与材料耐久性;优化电解槽结构设计,减少电解过程中的能量损失,提高电能转化为氢能的效率;研发高效、稳定的催化剂,重点探索非贵金属催化剂,降低催化剂成本,提高电解水制氢的经济性;开发智能化控制系统,实现电解水制氢过程自动化和智能化,提高运行效率和稳定性;探索利用可再生能源发电的波动性进行电解槽的灵活调度,实现制氢系统的整体高效运行。

3)合成氨与甲醇生产工艺创新。合成氨与甲醇是风光氢氨醇产业链的重要化工产品,可通过技术创新优化合成氨与甲醇的生产工艺,提高原料利用率,降低生产成本,如:采用先进催化剂和反应技术,提高合成氨与甲醇的生产效率;利用可再生能源发电的余热进行化工合成,实现能量的高效利用;通过实时监测和数据分析,自动调节工艺参数,确保生产过程的稳定性和高效性。

4)产业链上下游紧密合作与协同创新。风光氢氨醇产业链的协同发展需要上下游企业的紧密合作与协同创新,可通过构建产业联盟或创新平台,加强企业间的技术交流与合作,共同攻克产业链中的关键技术难题;同时,推动产业链上下游企业的资源整合与优势互补,形成协同发展的良好生态;鼓励产业链上下游企业开展循环经济,通过资源回收、再利用等方式,减少资源浪费和环境污染;建立产业链信息共享平台,实现上下游企业之间的实时信息交换,包括产能、需求、价格等关键信息,以便及时调整资源配置策略。

5)政策引导与市场机制建设。政府出台相关政策,引导和支持风光氢氨醇产业链的发展,如:给予财政补贴、税收优惠等政策支持,降低企业成本;鼓励企业淘汰落后产能,推动产业升级和转型;建立完善的市场机制,推动产业链上下游企业的公平竞争与协同发展;加强监管与评估,确保产业链发展的可持续性。

3.5 产业发展路线

未来30年我国风光氢氨醇一体化产业总体可分成3个阶段进行分析,发展框架如图9所示。

图9

图9   产业发展框架

Fig. 9   Industry development framework


第一阶段(2025—2035年)主要为基础构建和技术突破。此阶段致力于奠定产业发展的基础,包括政策框架的搭建、技术标准的制定、关键技术的研发与突破。政府将出台一系列关于探索可再生能源-氢-氨耦合系统的相关政策,明确产业发展方向,同时制定长远规划,为产业的发展提供政策支持与保障。科研机构与企业将携手合力突破技术难题,特别是在风光能源的高效转换、氢能与氨能的制备与存储等方面取得重大进展,并在全国范围内选择适宜地区开展示范项目,验证技术可行性,积累运营经验,为后续大规模推广奠定基础。

第二阶段(2035—2045年)主要为规模化扩展与多元化应用。此阶段在前期技术突破的基础上,实现产业规模的快速扩展,同时推动应用场景的多元化。产业将在全国范围内形成全面发展的格局,特别是在风光资源丰富、市场需求旺盛的地区,将形成一批具有竞争力的产业集群。随着技术的不断成熟和成本的降低,风光氢氨醇一体化技术将广泛应用于电力、化工、交通等多个领域,产业上下游将实现更加紧密的协同与整合,形成完善的产业链体系,加强综合竞争力。

第三阶段(2045—2055年)主要为推动产业深度融合与可持续发展。此阶段致力于实现风光氢氨醇一体化技术与各行业的深度融合,推动能源结构的根本性变革,助力实现“双碳”目标。产业将深度融入国家能源体系,与电力、化工、交通等系统实现高效协同,形成绿色低碳的能源供应体系;持续推动技术创新,提高能源利用效率,降低碳排放强度,实现可持续发展,并加强与国际社会的合作与交流,共同应对气候变化带来的挑战。

4 结论

围绕风光氢氨醇一体化产业的关键技术、产业经济性与未来发展方向展开系统性研究,得出以下结论:

1)随着风光氢氨醇产业项目的不断推进,未来产业链上下游企业之间的合作将日益紧密,产业链的深度融合和协同发展将推动风光氢氨醇一体化产业向高端化、智能化、绿色化方向发展。

2)电解水制氢、绿氨及绿色甲醇合成等技术的不断创新和突破,有望使风光氢氨醇一体化项目的能效进一步提高,生产成本逐渐降低。

3)随着风光氢氨醇一体化产业的快速发展,市场竞争将日益激烈,如何加强产业链上下游企业之间的合作与协同,避免恶性竞争,实现共同发展是该产业需要解决的问题。

4)风光氢氨醇一体化项目需要完善基础设施和配套服务支持,如电网、储氢设施、运输网络等,如何加快基础设施建设、提高配套服务水平,是该产业发展的重要保障。

5)国内外政策环境和法规标准的变化对风光氢氨醇一体化产业的发展具有重要影响,如何适应政策环境和法规标准的变化,及时调整发展战略和经营模式,仍是该产业需要关注的重要问题。

参考文献

周孝信陈树勇鲁宗相

能源转型中我国新一代电力系统的技术特征

[J].中国电机工程学报,201838(7):1893-1904

[本文引用: 1]

ZHOU X XCHEN S YLU Z Xet al

Technology features of the new generation power system in China

[J].Proceedings of the CSEE,201838(7):1893-1904

[本文引用: 1]

朱继忠谢楚楚张迪

电碳耦合市场研究综述:现状、挑战与可持续发展

[J].电力建设,202546(1):158-173

ZHU J ZXIE C CZHANG Det al

Review of electric-carbon coupling market studies:status,challenges,and sustainability perspectives

[J].Electric Power Construction,202546(1):158-173

任大伟肖晋宇侯金鸣

双碳目标下我国新型电力系统的构建与演变研究

[J].电网技术,202246(10):3831-3839

REN D WXIAO J YHOU J Met al

Construction and evolution of China’s new power system under dual carbon goal

[J].Power System Technology,202246(10):3831-3839

朱法华徐静馨

双碳背景下中国与主要发达国家电力低碳转型比较

[J].电力科技与环保,202440(6):561-571

[本文引用: 1]

ZHU F HXU J X

Comparison of low-carbon transformation in electricity between China and major developed countries under the background of carbon peaking and carbon neutrality

[J].Electric Power Technology and Environmental Protection,202440(6):561-571

[本文引用: 1]

周君安娟杨宽辉

现代能源体系耦合绿氢化工应用的研究进展

[J].低碳化学与化工,202348(4):46-54

[本文引用: 1]

ZHOU JAN JYANG K Het al

Research progresses in application of modern energy system coupled with green hydrogen chemical industry

[J].Natural Gas Chemical Industry,202348(4):46-54

[本文引用: 1]

刘洋樊珈池白嘉琦

我国绿氢氨醇产业发展现状及展望

[J].云南化工,202451(11):1-5

LIU YFAN J CBAI J Qet al

The current status and prospects of green hydrogen-ammonia-ethanol industry in China

[J].Yunnan Chemical Technology,202451(11):1-5

郭婷婷曹蕃

低碳能源系统发展趋势与应用实践

[J].分布式能源,202510(1):1-13

[本文引用: 1]

GUO T TCAO F

Development trend and application of low-carbon energy system

[J].Distributed Energy,202510(1):1-13

[本文引用: 1]

白建明张弛

氢氨醇产业现状及发展前景

[J].石油石化绿色低碳,20249(5):1-6

[本文引用: 1]

BAI J MZHANG C

Current situation and development prospects of hydrogen,ammonia and methanol industry energy

[J].Green Petroleum & Petrochemicals,20249(5):1-6

[本文引用: 1]

张春雁窦真兰王俊

电解水制氢-储氢-供氢在电力系统中的发展路线

[J].发电技术,202344(3):305-317

[本文引用: 1]

ZHANG C YDOU Z LWANG Jet al

Development route of hydrogen production by water electrolysis,hydrogen storage and hydrogen supply in power system

[J].Power Generation Technology,202344(3):305-317

[本文引用: 1]

李彬潘雨情文华杰

基于碳减排的氢电资源耦合发展现状及展望

[J].供用电,202340(10):106-113

[本文引用: 1]

LI BPAN Y QWEN H Jet al

Current status and prospects of hydrogen electricity resource coupling development based on carbon emission reduction

[J].Distribution & Utilization,202340(10):106-113

[本文引用: 1]

李红伟吴佳航王佳怡

计及P2G及碳捕集的风光氢储综合能源系统低碳经济调度

[J].电力系统保护与控制,202452(16):26-36

LI H WWU J HWANG J Yet al

Low-carbon economic dispatch of a wind,solar,and hydrogen storage integrated energy system considering P2G and carbon capture

[J].Power System Protection and Control,202452(16):26-36

ABE J OPOPOOLA A P IAJENIFUJA Eet al

Hydrogen energy,economy and storage:review and recommendation

[J].International Journal of Hydrogen Energy,201944(29):15072-15086doi:10.1016/j.ijhydene.2019.04.068

石志鹏石祥建蔡丹

绿电与绿氢耦合煤化工的系统建设方案

[J].南方能源建设,202310(3):143-149doi:10.16516/j.gedi.issn2095-8676.2023.03.016

SHI Z PSHI X JCAI Det al

Construction scheme for the system coupling coal chemical industry with green electricity and green hydrogen

[J].Southern Energy Construction,202310(3):143-149doi:10.16516/j.gedi.issn2095-8676.2023.03.016

徐波伍声宇侯东羊

考虑季节性储氢的区域能源系统优化模型

[J].智慧电力,202452(2):40-47

XU BWU S YHOU D Yet al

Regional energy system optimization model considering seasonal hydrogen storage

[J].Smart Power,202452(2):40-47

张学强董龙王栋

考虑氢能需求的甘肃省电力行业低碳转型路径研究

[J].中国电力,202356(12):262-272

[本文引用: 1]

ZHANG X QDONG LWANG D

Study on low-carbon transition path of power industry in Gansu Province considering hydrogen energy demand

[J].Electric Power,202356(12):262-272

[本文引用: 1]

李京光王希蔡雨辰

大规模可再生能源制氨技术方案研究

[J].电力勘测设计,2024(10):25-2979

[本文引用: 1]

LI J GWANG XCAI Y Cet al

Research on large-scale ammonia production using renewable energy

[J].Electric Power Survey & Design,2024(10):25-2979

[本文引用: 1]

舒斌陈建宏熊健

碳中和目标下推动绿色甲醇发展的必要性分析

[J].化工进展,202342(9):4471-4478

[本文引用: 1]

SHU BCHEN J HXIONG Jet al

Necessity analysis of promoting the development of green methanol under the goal of carbon neutrality

[J].Chemical Industry and Engineering Progress,202342(9):4471-4478

[本文引用: 1]

张杰罗雪鹏

液氢制-储-运-加关键技术发展现状及展望

[J].发电技术,202445(5):888-898

[本文引用: 1]

ZHANG JLUO X P

Development status and prospect of key technologies for liquid hydrogen production-storage-transportation-refueling

[J].Power Generation Technology,202445(5):888-898

[本文引用: 1]

田江南袁雄俊贾江涛

可再生能源制氢氨醇油关键技术研究

[J].电力勘测设计,2024(10):18-24

[本文引用: 1]

TIAN J NYUAN X JJIA J Tet al

Research on key technologies of producing green hydrogen,green ammonia,green methanol and sustainable aviation fuel from renewable energy sources

[J].Electric Power Survey & Design,2024(10):18-24

[本文引用: 1]

沙海伟胡晓雨韩倩倩

电力设计企业开发氢氨醇油一体化项目的对策探讨

[J].电力勘测设计,2024(10):30-34

[本文引用: 1]

SHA H WHU X YHAN Q Q

Discussion on the development countermeasures of hydro-ammonia alcohol oil integration project for power design enterprises

[J].Electric Power Survey & Design,2024(10):30-34

[本文引用: 1]

李建林邵晨曦张则栋

氢能产业政策及商业化模式分析

[J].发电技术,202344(3):287-295

[本文引用: 1]

LI J LSHAO C XZHANG Z Det al

Analysis of hydrogen industry policy and commercialization model

[J].Power Generation Technology,202344(3):287-295

[本文引用: 1]

王梦川洪子鑫李峰

绿色甲醇产业发展现状及前景分析

[J].国际石油经济,202432(5):78-84

[本文引用: 1]

WANG M CHONG Z XLI Fet al

Green methanol industry development status and prospect analysis

[J].International Petroleum Economics,202432(5):78-84

[本文引用: 1]

滕越赵骞袁铁江

绿电-氢能-多域应用耦合网络关键技术现状及展望

[J].发电技术,202344(3):318-330

[本文引用: 1]

TENG YZHAO QYUAN T Jet al

Key technology status and outlook for green electricity-hydrogen energy-multi-domain applications coupled network

[J].Power Generation Technology,202344(3):318-330

[本文引用: 1]

刘泽洪孟婧张瑾轩

电-氢-碳耦合促进新能源基地开发模式研究

[J].全球能源互联网,20247(5):473-491

[本文引用: 1]

LIU Z HMENG JZHANG J Xet al

Research on the development model of new energy bases based on the electricity-hydrogen-carbon synergy

[J].Journal of Global Energy Interconnection,20247(5):473-491

[本文引用: 1]

俞红梅邵志刚侯明

电解水制氢技术研究进展与发展建议

[J].中国工程科学,202123(2):146-152doi:10.15302/j-sscae-2021.02.020

[本文引用: 1]

YU H MSHAO Z GHOU Met al

Hydrogen production by water electrolysis:progress and suggestions

[J].Strategic Study of CAE,202123(2):146-152doi:10.15302/j-sscae-2021.02.020

[本文引用: 1]

李建林李光辉郭丽军

“十四五”规划下氢能应用技术现状综述及前景展望

[J].电气应用,202140(6):10-16

LI J LLI G HGUO L Jet al

Overview and prospect of hydrogen energy application technology under the 14th Five Year Plan

[J].Electrotechnical Application,202140(6):10-16

ZHAO YGONG MZHOU Yet al

Thermo dynamics analysis of hydrogen storage based on compressed gaseous hydrogen,liquid hydrogen and cryo-compressed hydrogen

[J].International Journal of Hydrogen Energy,201944(31):16833-16840doi:10.1016/j.ijhydene.2019.04.207

[本文引用: 1]

宋洁郜捷梁丹曦

质子交换膜电解制氢系统建模研究综述

[J].电力建设,202445(2):58-78

[本文引用: 1]

SONG JGAO JLIANG D Xet al

A review on modeling of hydrogen production system with proton exchange membrane electrolysis

[J].Electric Power Construction,202445(2):58-78

[本文引用: 1]

吉旭周步祥贺革

大规模可再生能源电解水制氢合成氨关键技术与应用研究进展

[J].工程科学与技术,202254(5):1-11

[本文引用: 1]

JI XZHOU B XHE Get al

Research review of the key technology and application of large-scale water electrolysis powered by renewable energy to hydrogen and ammonia production

[J].Advanced Engineering Sciences,202254(5):1-11

[本文引用: 1]

周步祥蔡宇豪邱一苇

考虑电、氢、氨市场的可再生能源电制氢合成氨系统多主体合作运行策略

[J].电力建设,202445(11):50-64

[本文引用: 1]

ZHOU B XCAI Y HQIU Y Wet al

Multi-stakeholder cooperative operation strategy of renewable power to ammonia systems considering the electricity,hydrogen and ammonia markets

[J].Electric Power Construction,202445(11):50-64

[本文引用: 1]

李育磊刘玮董斌琦

双碳目标下中国绿氢合成氨发展基础与路线

[J].储能科学与技术,202211(9):2891-2899doi:10.19799/j.cnki.2095-4239.2022.0324

[本文引用: 1]

LI Y LLIU WDONG B Qet al

Green hydrogen ammonia synthesis in China under double carbon target:Research on development basis and route

[J].Energy Storage Science and Technology,202211(9):2891-2899doi:10.19799/j.cnki.2095-4239.2022.0324

[本文引用: 1]

曾悦王月张学瑞

可再生能源合成绿氨研究进展及氢-氨储运经济性分析

[J].化工进展,202443(1):376-389

ZENG YWANG YZHANG X Ret al

Research progress of green ammonia synthesis from renewable energy and economic analysis of hydrogen-ammonia storage and transportation

[J].Chemical Industry and Engineering Progress,202443(1):376-389

林承顺

合成氨工艺技术现状及发展趋势

[J].能源化工,202445(1):12-15

[本文引用: 1]

LIN C S

Current status and development trends of synthetic ammonia process technology

[J].Energy Chemical Industry,202445(1):12-15

[本文引用: 1]

胡道成王睿赵瑞

二氧化碳捕集技术及适用场景分析

[J].发电技术,202344(4):502-513doi:10.12096/j.2096-4528.pgt.22056

[本文引用: 1]

HU D CWANG RZHAO Ret al

Research on carbon dioxide capture technology and suitable scenarios

[J].Power Generation Technology,202344(4):502-513doi:10.12096/j.2096-4528.pgt.22056

[本文引用: 1]

杨攀峰黄宁程一步

绿色甲醇生产技术比较研究

[J].当代石油石化,202432(10):36-41

[本文引用: 1]

YANG P FHUANG NCHENG Y B

Comparative study on green methanol production technology

[J].Petroleum & Petrochemical Today,202432(10):36-41

[本文引用: 1]

闫娜严欢贾宏刚

面向新能源高占比地区的混合储能优化配置及运行策略

[J].电网与清洁能源,202440(7):18-27

[本文引用: 1]

YAN NYAN HJIA H Get al

Optimization configuration and operation strategy of hybrid energy storage for areas with a high proportion of new energy

[J].Power System and Clean Energy,202440(7):18-27

[本文引用: 1]

郭可玟续永杰史瑞静

3种制氢技术路线的经济性分析

[J].电工技术,2024(7):40-43

[本文引用: 1]

GUO K WXU Y JSHI R J

Economic analysis of three technology routes of hydrogen production

[J].Electric Engineering,2024(7):40-43

[本文引用: 1]

王明华

新能源电解水制氢技术经济性分析

[J].现代化工,202343(5):1-5

[本文引用: 1]

WANG M H

Technical economic analysis on hydrogen production from water electrolysis by new energy

[J].Modern Chemical Industry,202343(5):1-5

[本文引用: 1]

东方证券

从氢的供需拆解探寻氢能发展方向

[EB/OL].(2024-04-25)[2024-12-01]..

[本文引用: 1]

Securities Oriental

Explore the development direction of hydrogen energy from the disassembly of hydrogen supply and demand

[EB/OL].(2024-04-25)[2024-12-01]..

[本文引用: 1]

杜东王小林张国生

氨能产业发展现状及展望

[J].石油科技论坛,202342(2):96-104

[本文引用: 1]

DU DWANG X LZHANG G Set al

Present conditions and prospects of ammonia energy industrial development

[J].Petroleum Science and Technology Forum,202342(2):96-104

[本文引用: 1]

陈发清

中标国内最大绿色氢氨醇一体化项目

[N].深圳商报,2024-08-08(2).

[本文引用: 1]

CHEN F Q

Wins bid for the largest domestic green hydrogen-ammonia-alcohol integration project

[N].Shenzhen Economic Daily,2024-08-08(2).

[本文引用: 1]

傅向升

煤化工未来高质量发展的思考

[J].中国石油和化工,2023(9):6-9

[本文引用: 1]

FU X S

Thoughts on the future high-quality development of coal chemical industry

[J].China Petroleum and Chemical Industry,2023(9):6-9

[本文引用: 1]

鲍仁

工业和信息化部:加大对锂等矿产资源找矿支持力度

[N].期货日报,2024-11-07(5).

[本文引用: 1]

BAO R

Ministry of industry and information technology:increase support for mineral exploration of lithium and other resources

[N].Futures Daily,2024-11-07(5).

[本文引用: 1]

刘洋洋

内蒙古通辽市总投资37.0亿元风光储氢氨一体化产业园示范项目开工建设

[N].通辽统计微讯,2024-12-16(7).

[本文引用: 1]

LIU Y Y

Demonstration project of an integrated industrial park for wind

,solar,storage,hydrogen,and ammonia with a total investment of 3.7 billion yuan launched in Tongliao,Inner Mongolia[N].Tongliao Statistics News,2024-12-16(7).

[本文引用: 1]

王雅岚

投资新疆布局氢能产业正逢其时

[N].新疆日报,2024-09-04(6).

[本文引用: 1]

WaNG Y L

Investing in Xinjiang and laying out the hydrogen energy industry is timely

[N].Xinjiang Daily,2024-09-04(6).

[本文引用: 1]

邓振宇张润之张文韬

风光电解水制氢平准化成本优化空间分析

[J].广东电力,202437(7):22-31

[本文引用: 1]

DENG Z YZHANG R ZZHANG W Tet al

Levelized cost optimization space analysis for wind-solar electrolytic water electrolyzing hydrogen generation

[J].Guangdong Electric Power,202437(7):22-31

[本文引用: 1]

张轩王凯樊昕晔

电解水制氢成本分析

[J].现代化工,202141(12):7-11

[本文引用: 1]

ZHANG XWANG KFAN X Yet al

Cost analysis on hydrogen production via water electrolysis

[J].Modern Chemical Industry,202141(12):7-11

[本文引用: 1]

陈磊磊年珩赵建勇

含多电解槽的新能源制氢能量管理优化

[J].电力工程技术,202443(2):2-10

[本文引用: 1]

CHEN L LNIAN HZHAO J Yet al

Energy management optimization of new energy hydrogen production system including multi-electrolyzers

[J].Electric Power Engineering Technology,202443(2):2-10

[本文引用: 1]

沈明军孙祥鑫曲顺利

可再生能源制绿氨工艺技术分析

[J].氮肥技术,202344(4):1-5

SHEN M JSUN X XQU S L

Technology analysis of renewable energy to green ammonia process

[J].Nitrogenous Fertilizer Technology,202344(4):1-5

韩鹏飞徐潇源王晗

基于功率-温度自适应控制的多堆质子交换膜电解制氢系统效率优化

[J].电工技术学报,202439(7):2236-2248

[本文引用: 1]

HAN P FXU X YWANG Het al

Operational efficiency enhancement of multi-stack proton exchange membrane electrolyzer systems with power-temperature adaptive control

[J].Transactions of China Electrotechnical Society,202439(7):2236-2248

[本文引用: 1]

马达夫温霄瑨闻哲

生物质制取绿色甲醇技术及经济性分析

[J].现代化工,202545(1):250-255

[本文引用: 1]

MA D FWEN X JWEN Zet al

Technology and economic analysis on green methanol production from biomass

[J].Modern Chemical Industry,202545(1):250-255

[本文引用: 1]

/