超临界机组燃水比系统的自耦PID控制方法 |
| 张国林, 曾喆昭, 唐钰淇 |
|
Research on Auto-Coupling PID Control Method of Firing Rate to Feed Water Ratio System of Supercritical Unit |
| Guolin ZHANG, Zhezhao ZENG, Yuqi TANG |
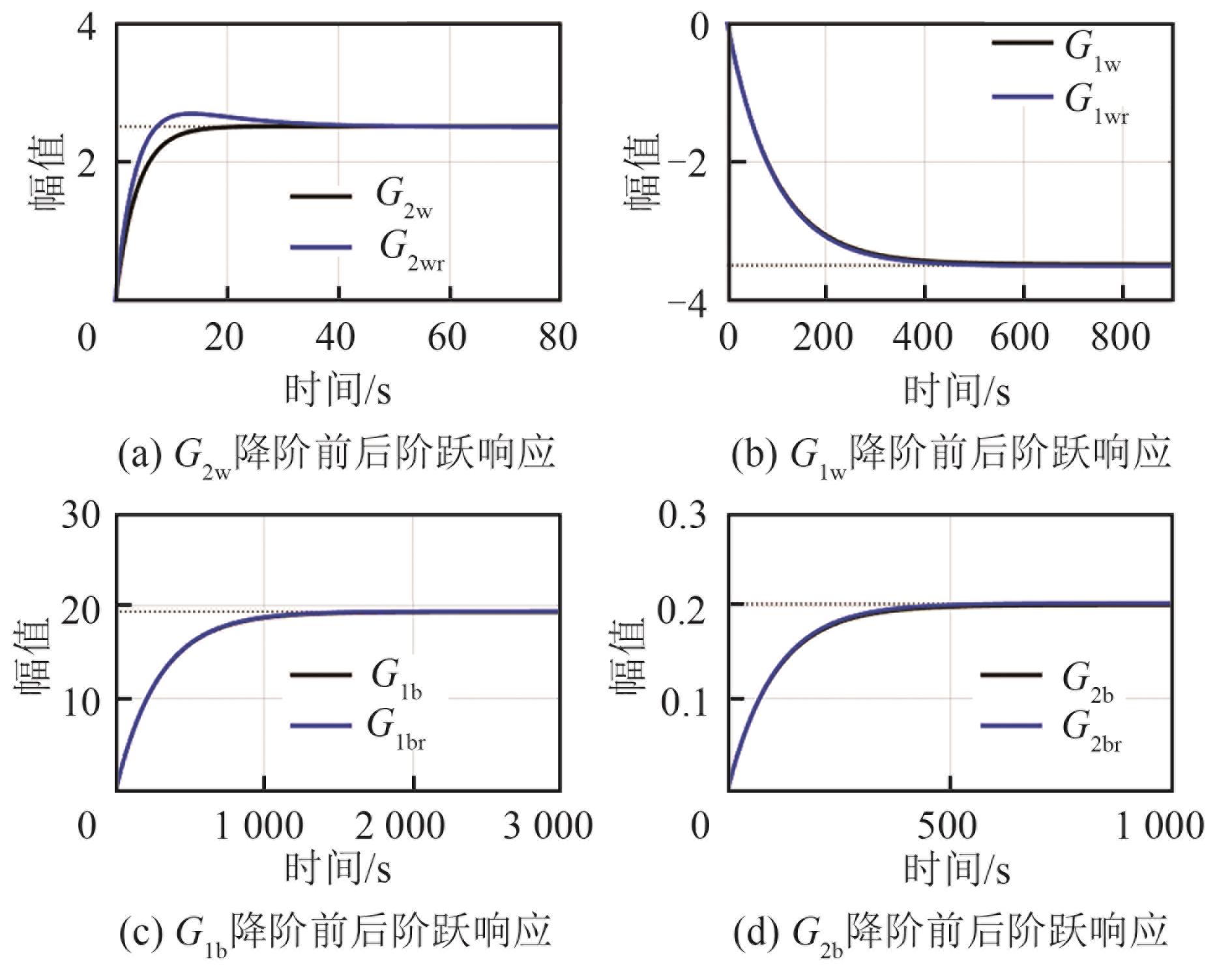
| 图2 100%工况下降阶前后阶跃响应对比 |
| Fig. 2 Comparison of step response before and after reduced-order under 100% working condition |
|