磁约束聚变相干汤姆逊散射全电磁模型研究 |
| 方新宇, 夏冬辉, 黄梅, 张峰, 丁永华 |
|
Study on the Full Electromagnetic Model of Collective Thomson Scattering in Magnetic Confinement Fusion |
| Xinyu FANG, Donghui XIA, Mei HUANG, Feng ZHANG, Yonghua DING |
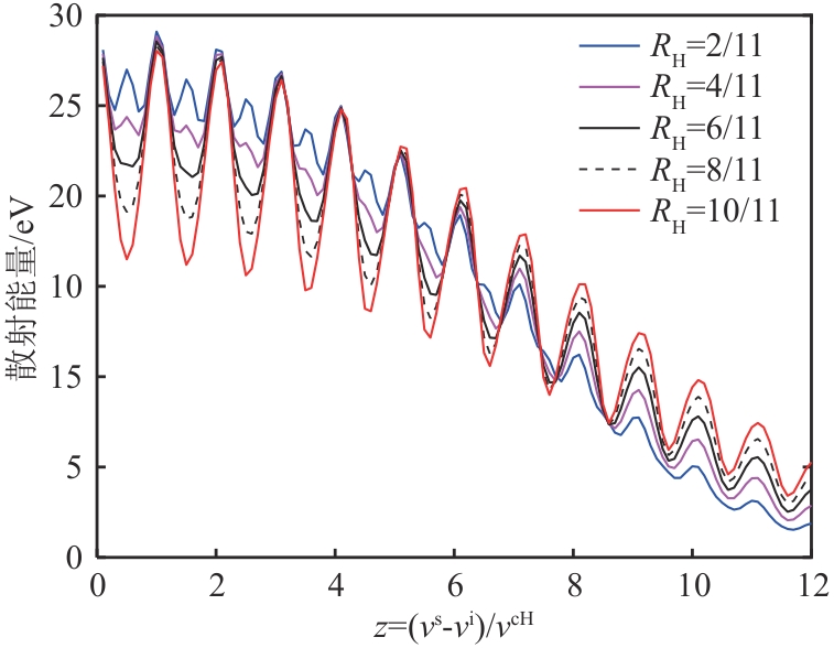
| 图5 不同H离子含量的CTS散射能量谱 |
| Fig. 5 CTS spectra power density with different H ion contents |
|