高性能锂离子电容器正极材料石墨烯-介孔炭复合物的制备及性能分析 |
| 韩秀秀, 魏少鑫, 汪剑, 崔超婕, 骞伟中 |
|
Preparation and Performance Analysis of High Performance Cathode Material Graphene-Mesoporous Carbon Composites for Lithium-Ion Capacitor |
| Xiuxiun HAN, Shaoxin WEI, Jian WANG, Chaojie CUI, Weizhong QIAN |
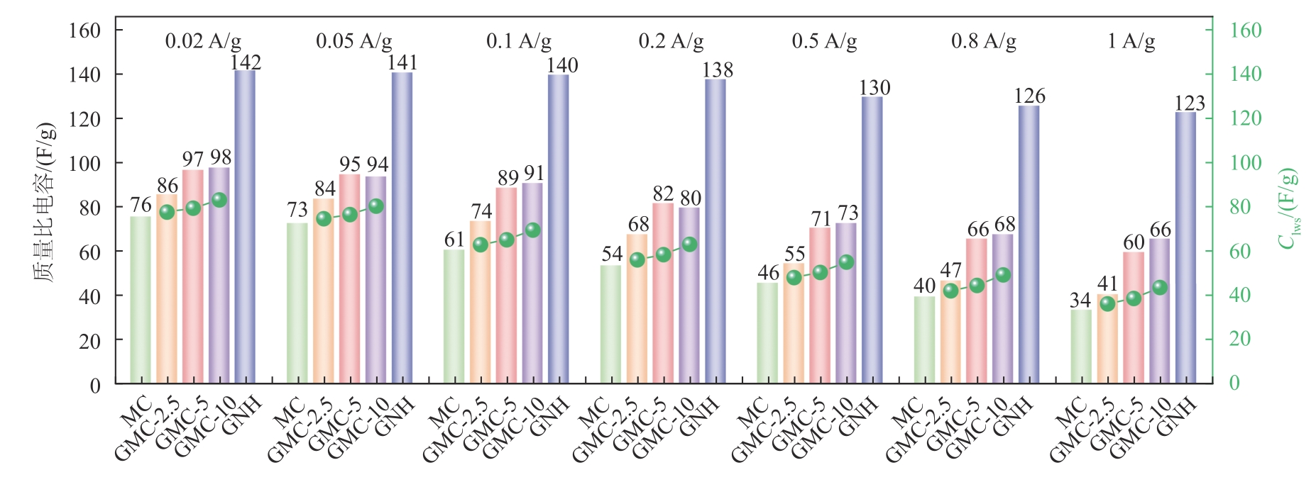
| 图8 5种电极材料在不同电流密度下的质量比电容和线性加和 |
| Fig. 8 Mass specific capacitance and linear weighted sum of five electrode materials at different current densities |
|