气候变化条件下基于智能预测模型的虚拟电厂不确定性运行优化研究 |
| 贾晓强, 杨永标, 杜姣, 甘海庆, 杨楠 |
|
Study on Uncertainty Operation Optimization of Virtual Power Plant Based on Intelligent Prediction Model Under Climate Change |
| Xiaoqiang JIA, Yongbiao YANG, Jiao DU, Haiqing GAN, Nan YANG |
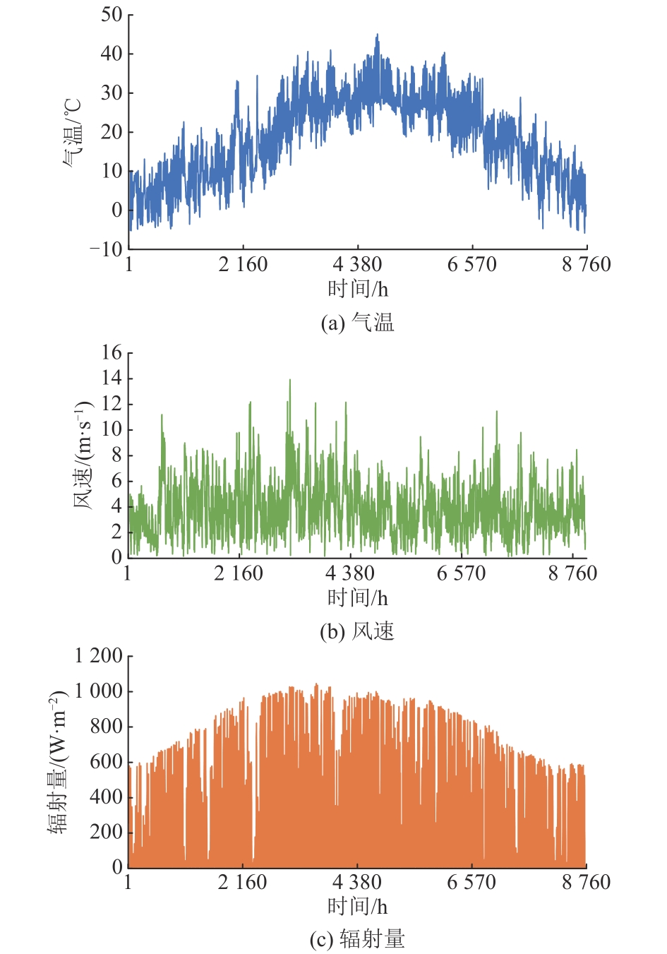
| 图3 SSP2-8.5情景下2025年各气象要素逐时模拟结果 |
| Fig. 3 Hourly simulation results of various meteorological elements in 2025 under SSP2-8.5 scenario |
|