考虑发电工况和站内损耗的风电场可用发电功率估算方法 |
| 杨健, 柳玉, 黄坤鹏, 罗亚洲, 牛四清, 王伟, 环加飞, 张雷, 张沛, 李华伟 |
|
A Method for Estimating Available Power of Wind Farms by Considering the Power Generation Conditions and Station Losses |
| Jian YANG, Yu LIU, Kunpeng HUANG, Yazhou LUO, Siqing NIU, Wei WANG, Jiafei HUAN, Lei ZHANG, Pei ZHANG, Huawei LI |
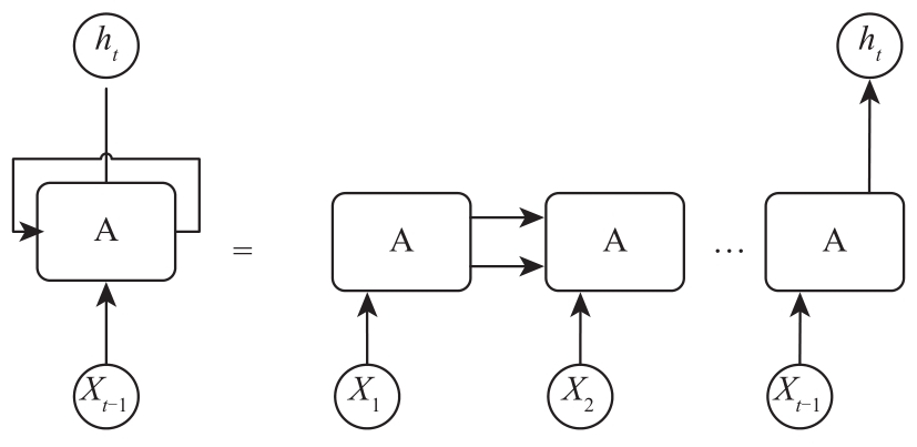
| 图 1 LSTM单元在时间上展开图 |
| Fig. 1 Expanded view of LSTM unit in time |
|