基于过冷相变材料热开关的锂离子电池热管理系统 |
| 王泽旭, 李冰辰, 许瑶, 刘倩, 李凯璇, 巨星 |
|
Lithium-ion Battery Thermal Management System Based on the Combination of Supercooled Phase Change Material and Thermal Switch |
| Zexu WANG, Bingchen LI, Yao XU, Qian LIU, Kaixuan LI, Xing JU |
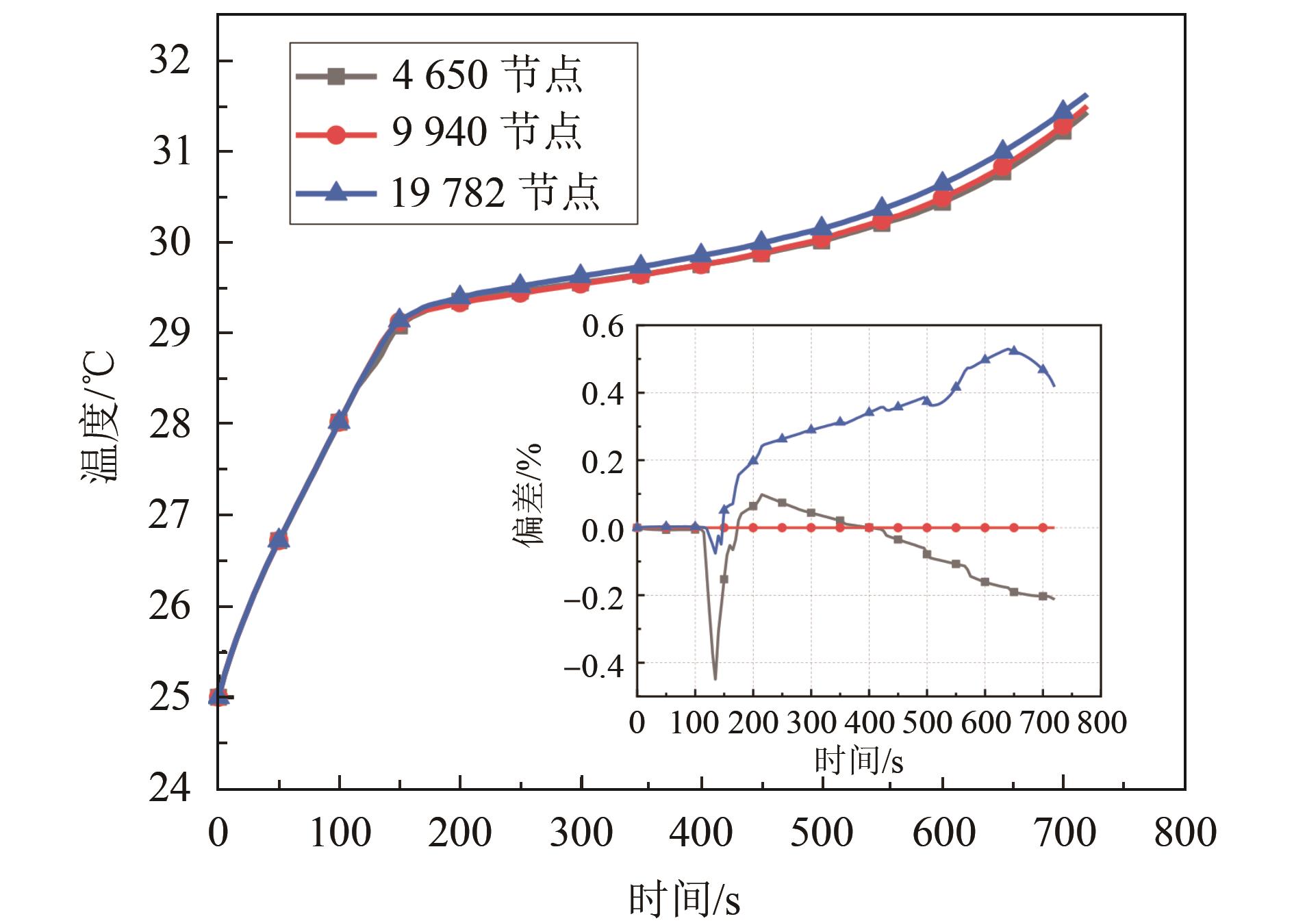
| 图5 网格无关性 |
| Fig. 5 Grid independence |
|