磷酸燃料电池的能效、㶲及生态特性分析 |
郭心如, 郭雨旻, 罗方, 王江峰, 赵攀 |
Analysis of Energy, Exergy and Ecology Characteristics of Phosphoric Acid Fuel Cell |
Xinru GUO, Yumin GUO, Fang LUO, Jiangfeng WANG, Pan ZHAO |
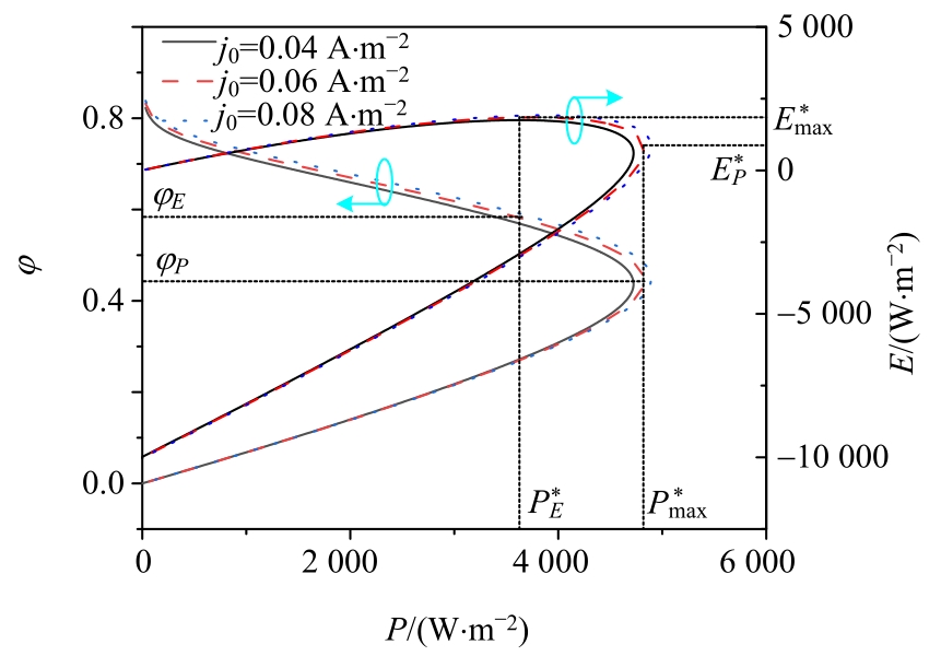
图11 交换电流密度j0对输出功率密度、?效率和生态函数密度的影响 |
Fig. 11 Effect of exchange current density j0 on output power density, exergy efficiency and ecology function density |
![]() |