磷酸燃料电池的能效、㶲及生态特性分析 |
郭心如, 郭雨旻, 罗方, 王江峰, 赵攀 |
Analysis of Energy, Exergy and Ecology Characteristics of Phosphoric Acid Fuel Cell |
Xinru GUO, Yumin GUO, Fang LUO, Jiangfeng WANG, Pan ZHAO |
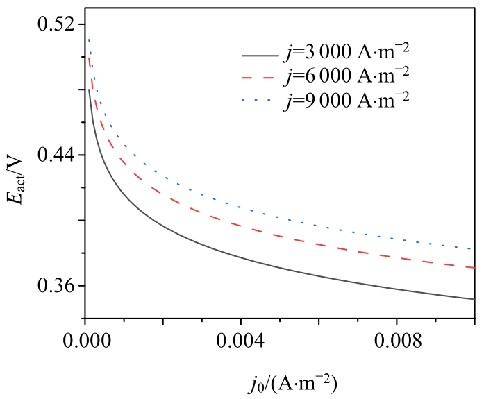
图10 交换电流密度j0对活化过电势Eact的影响 |
Fig. 10 Effect of exchange current density j0 on activation overpotential Eact |
![]() |