磷酸燃料电池的能效、㶲及生态特性分析
郭心如, 郭雨旻, 罗方, 王江峰, 赵攀

Analysis of Energy, Exergy and Ecology Characteristics of Phosphoric Acid Fuel Cell
Xinru GUO, Yumin GUO, Fang LUO, Jiangfeng WANG, Pan ZHAO
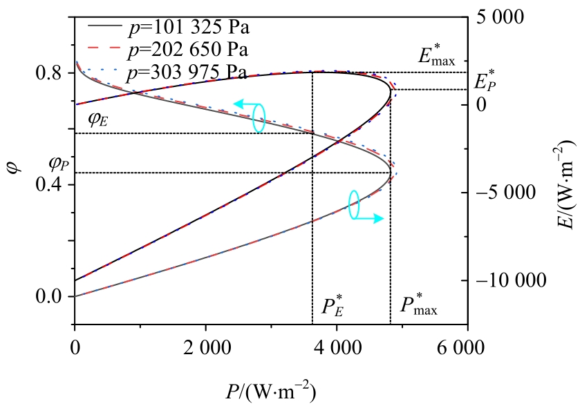
图8 工作压力p对输出功率密度、?效率和生态函数密度的影响
Fig. 8 Effect of operating pressure p on output power density, exergy efficiency andecology function density