磷酸燃料电池的能效、㶲及生态特性分析 |
郭心如, 郭雨旻, 罗方, 王江峰, 赵攀 |
Analysis of Energy, Exergy and Ecology Characteristics of Phosphoric Acid Fuel Cell |
Xinru GUO, Yumin GUO, Fang LUO, Jiangfeng WANG, Pan ZHAO |
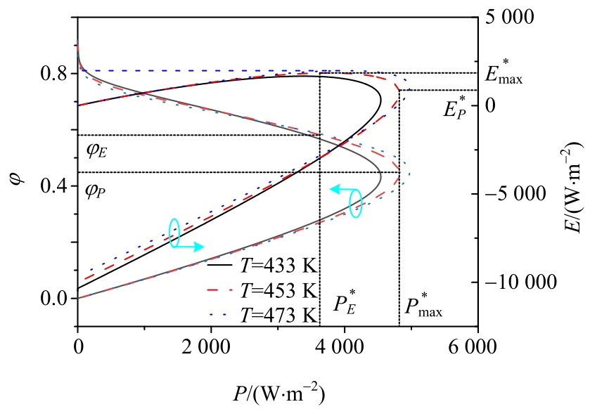
图6 工作温度T对输出功率密度、?效率和生态函数密度的影响Fig. 6 Effect of working temperature T on output power density, exergy efficiency and ecology function density |
![]() |