磷酸燃料电池的能效、㶲及生态特性分析 |
郭心如, 郭雨旻, 罗方, 王江峰, 赵攀 |
Analysis of Energy, Exergy and Ecology Characteristics of Phosphoric Acid Fuel Cell |
Xinru GUO, Yumin GUO, Fang LUO, Jiangfeng WANG, Pan ZHAO |
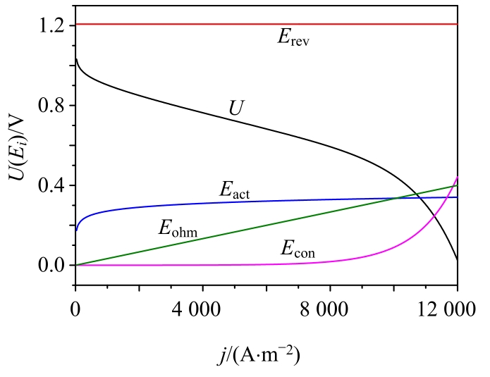
图2 Erev, Econ, Eact, Eohm, U随j变化曲线 |
Fig. 2 Change curves of Erev, Econ, Eact, Eohm and U with j |
![]() |